Харківський національний університет імені В. Н
| Вид материала | Документы |
- Міністерство освіти І науки україни, 28.03kb.
- Міністерство освіти україни Харківський національний педагогічний університет імені, 1964.02kb.
- Харківський національний університет імені В. Н. Каразіна На правах рукопису сальтевська, 827.79kb.
- Міністерство освіти І науки, молоді та спорту україни харківський національний університет, 200.57kb.
- Харківський національний університет імені В. Н. Каразіна назва роботи, 8.52kb.
- Харківський національний університет імені, 722.84kb.
- Харківський національний університет імені, 864.07kb.
- Національний технічний університет «Харківський політехнічний інститут»,, 70.45kb.
- Харківський національний університет імені, 334.11kb.
- Харківський національний університет імені, 689.98kb.
3.2.3 Методи експедиційних польових досліджень
Комплекс методів польових досліджень включає науково-практичну діяльність, спрямовану на стеження за станом фітокліматичної системи (ФКС), з метою одержання кількісних показників про ФКС стан, розрахунків прогнозів розвитку систем і складання рекомендацій щодо їх керування[121].
Виходячи з запропонованих дефініцій фітокліматології і її стану, а також визначень системи і методів географо- моніторингового моніторингу, ми дійшли висновку, що вона має три групи методів. Вони можуть забезпечити дослідженнями різні етапи розвитку фітокліматичної системи, починаючи з планування та проектування, далі в процесі її експлуатації, і закінчуючи прогнозуванням її стану.
Перша група методів, що названа нами умовно "предпроектна", забезпечує географо-моніторинговий моніторинг на стадії планування та проектування меліоративних заходів. Даний етап досліджень стає обов'язковою частиною робіт, спрямованих на визначення потреб і виявлення можливості їх проведення у відповідних природних умовах. Така проблема пов'язана з необхідністю вибору одного рішення з кількох проектів. Чим ширше розгорнуті моніторингові дослідження, тим ясніше стає проблема, пов'язана з вибором запропонованих варіантів.
Друга група методів одержала назву "експлуатаційний гідрометеорологічний моніторинг", який має на меті вивчення зміни середовища життєдіяльності рослин в умовах зрошення і зокрема стану росту і розвитку рослин, а також врожаю сільськогосподарських культур. Ці методи були застосовані на стадії експлуатації ФКС. Нами розглядались лише методи пов'язані з проблемою метеорологічного забезпечення зрошуваного землеробства, тому точніше їх можна назвати методи гідрометеорологічного моніторингу меліорованих теріторій.
Раціональний комплекс методів гідрометеорологічного моніторингу був розроблений в науковій лабораторрії гідрометеорологічного моніторингу меліорованих територій ХНУ в процесі виконання планів держбюджетних науково-дослідних робіт. Ця група методів пов'язана з оптимізацією розшувальних меліорацій і спрямована на вирішення природоохоронних питань та питань збереження ресурсів, оскільки зараз завдання зрошуваного землеробства зводиться не до розширення площ зрошення, а до більш повного та ефективного їх використання.
Методи гідрометеорологічного моніторингу були випробувані в різних регіонах Лівобережної України. Вони об'єднують таки види: радіаційно-теплобалансові, мікрокліматичні, воднобалансові, фітометричні.
Багаторічні дослідження показали, що такий комплексний підхід дозволяє всебічно охарактеризувати систему "грунт-рослина-повітря" і розробити низку практичних рекомендацій для зрошуваного землеробства. Спираючись на систему методів географо- моніторингового моніторингу, ми маємо можливість в макси-мальній мірі наблизитись до оптимальних варіантів використання природних ресурсів в умовах зрошення.
Третя група методів використовується для прогнозування стану ФКС, що має за основу моделювання емпіричних зв'язків розвитку рослин, приросту біомаси і врожаю з визначаючими факторами. Розглянуті розробки вітчизняних і зарубіжних дослідників дозволили скласти уяву про широкий спектр підходів до визначення багатофакторних емпіричних зв'язків у системі тепло-вологозабезпеченості рослин. Для вивчення зв'язків розвитку рослин та їх врожаю з провідними факторами життєзабезпечення рослин нами запропонована фізико-статистична модель залежності врожаю від гідрометеорологічних факторів і динамічна модель фізиологічних процесів утворення біомаси. Розкриття кількісних зв'язків в системі "грунт-рослина-повітря "складає основу прогнозування врожаю.
3.3 Методи камеральних досліджень ФПК
Камеральний період включає аналіз, обработку і узагальнення отриманого матеріалу. Камеральні работи починаються з перевірки зібраної інформації і складання плану камеральних робіт. Камеральні роботи включають аналітичні роботи, статистичну обработку інформації, картографування. Завершальною частиною роботи є звіт про результати польових досліджень.
3.3.1 Попередня обробка даних спостережень
У результаті метеорологічних спостережень отримують фактичний матеріал або вихідні метеорологічні дані. Наступним етапом роботи є систематизація первинних даних, що грунтується на складанні і групуванні метеорологічних рядів, і попередній обробці даних. Для розрахунку статистичних параметрів використовують елементарні (прості) метеорологічні ряди. У практичному відношені досить знати лише деякі значення розподілу метеовеличин. Числові характеристики розподілу можна обмежити їх середніми значенями і величиною розсіювання вихідних даних.
В статистиці використовуються різні види середніх: арифметична, гармонічна, геометрична, хронологічна та ін. В метеорології частіше використовують середнє арифметичне, яке має найбільш важливу iнформацію про режим метеоелементів і їх порівняння у часі і просторі. Воно дорівнює сумі значень ряду x1, x2,...xn ,поділеній на їх загальне число: X = ∑xn

Якщо виборочний ряд складається з декількох частин (n1, n2,…, nk), то загальна середня дорівнює середній із окремих середніх, зваженої по численості відповідних частин сукупності.
Крім зазначених, у статистиці як середні показники використовуються також медіана і мода. Медіаною називається значення ряду, що стоїть в центрі ранжованого ряду. Вона не залежить від крайніх значень ряда, тому медіану використовують як доповнення до середньої арифметичної при асиметричних розподілах. Мода - це значення, що найчастіше зустрічається в сукупності. Вона визначається при різко асиметричних розподілах.
Типовість середніх доповнюють показниками змінності (розсіювання). Серед них найбільш простими є амплітуда коливань і середнє абсолютне відхилення. Пошириним паказником розсіювання використовується середнє квадратичне відхилення σ — «сігма».
Часто виникає необхідність порівнювати мінливість різних рядів або окремих його частин. В таких випадках зіставлення виконується за допомогою коефіцієнтів варіації . Для обчислення середнього квадратичного відхиленння попередньо розраховується середній квадрат відхилень значень ряду від їх середньої, що називається вибірковою дисперсією σ2 і визначється за формулою: X = ∑√(x1-x2)2/n.
За приклад таких розрахунків взята температура повітря. Усі процеси, що відбуваються у природі, обумовлені термічним режимом. Температура повітря визначає умови формування і характеру погоди, впливає на різні сторони діяльності людини, у тому числі і на сільське господарство.
Для характеристики термічного режиму був узятий температурний метеорологічний ряд за перід з1972 по 2009 роки. Аналіз і обробка матеріалів спостереження проведено відповідно до методики розробленої у ГГО [117] і виконано на основі методичних розробок базової статистики [124]. Це дозволило визначити центральну тенденцію і зокрема середньої арифметичної, моди і медіани, крайні значення за наведений період, елементи варіації ряду (амплітуда коливань, середнє абсолютне відхилення, середнє квадратичне відхиленння, дисперсія, коефіцієнти варіації), а також кореляційні залежності.
Таблиця 3.1 Статистичні параметри розподілу середньомісячні максимальні температури повітря за відповідний період.
| Середнє | 20.888 | 24.061 |
| Стандартна похибка | 0.512 | 0.443 |
| Meдіана | 20.65 | 23.5 |
| Moда | 19.9 | 23.4 |
| Стандартне відхилення | 3.077 | 2.663 |
| Виборна дісперсія | 9.471 | 7.096 |
| Ексцес | 0.607 | 0.151 |
| Асиметрія | 0.268 | 0.606 |
| Размах | 12.1 | 10.8 |
| Miнімум | 15.2 | 19.9 |
| Maксімум | 27.3 | 30.7 |
| Сума | 752 | 866.2 |
| Кількість | 36 | 36 |
| Максимальнйий(3) | 25.9 | 28.6 |
| Мінімальний(3) | 16.6 | 20.3 |
| Рівень значимості (95.0%) | 1.041 | 0.901 |
У метеорології за середнє частіше принято вживати середнє арифметичне. Ця величина є найбільш важливою інформацією про режим метеоелементів, крім того є основним параметром, що апроксимує теоретичні і емпиричні закони розподілу. Для прикладу були розраховані середні травня і червня - 20.90C і 24.10С для району досліджень (табл.3.1) і порівняні із стандарними розрахункми для метеостанції Харків – 23.10С і 24.80С (табл.3.1). Значення температури для району досліджень нижчі ніж стандарні дані для метеостанції Харків. Це говорить проте, що на сільськогосподарських полях існує наведений фітопогодний клімат.
3.3.2 Математико-статистичні методи дослідження ФПК
Статистичний підхід до вивчення атмосферних явищ як випадкових процесів забезпечує встановлення перебігу їх закономірних особливостей, характеру їх формування і розвитку. Визначення закономірностей досліджуваних явищ забезпечується фактичним даними, що отримані за умов багатократності вимірів. У метеорологічній практиці дослідження погоди як випадкових явищ, забезпечені багаторазовими вимірюваннями метеорологічних величин на протязі доби. На основі їх складають багаторічні меторяди, що дають можливість визначити як елементарні випадкові явища, так і, вибудувавши на їх основі відповідну методико-теоретичну базу, глибокі теоретичні узагальнення, у тому числі і такі, які не підлягають безпосередньому спостереженню.
Вихідними даними для побудови закономірностей перебігу атмосферних процесів є експерементальні дані – метеорологічні спостереження, на основі яких формуються абстрактні поняття. Метеорологічні спостереження – це кількісна характеристика атмосферних явищ і процесів, що подають значення метеовеличин. Вони у процесі спостероеженнь набувають різних значень, тому вони і називаються випадковими. До них віносяться температура і вологість повітяря, хмарність і опади, атмосферний тиск і вітер та ін.
Фактичним матеріалом у метеорологічній статистиці слугують метеодані, які складені у ряди Таким чином укладають меторологічні ряди, що використовується для подальшої статистичної обробки. Вони бувають різних типів у залежності від фактичного матеріалу, що до них включається. У статистичній практиці використані елементарні метеоряди і згруповані. Перші дозволять визначати особливості пербігу метеовеличин на основі базової статистики, другі визначають частоту повторюваності цих величин.
Опрацювання елементарних метеорологічних рядів виконується на основі методичних розробок базової статистики. Вона дозволяє визначити центральну тенденцію, елементи варіації ряду, кореляційні залежності. До упорядкованих рядів відносять ранжований ряд і згрупований ряд. Ранжований ряд – це упорядкування значень метеорологічних величин у відповідності до їх зростання або спадання .
Згрупований ряд – це ряд де встановлена повторюваність значень метеорологічних величин у відповідних інтервавлах. Метод побудови згрупованого ряду полягає у тому, що значеня метеорологічних величин розміщаються у інтервалах, на які робивається увесь діапазон значень даного факточного матеріалу. За приклад нами взятий метеорологічний ряд значень температури повітря за вегетаційний період на протязі 1972-2009 років. За цей перід температура повітря ковилась у межах від 10 до 39oC.
У практиці гідрометеорологічних досліджень постійно мають справу з необхідністю систематизації атмосферних явищ і процесів, а при розв’язані прогностичних задач необхідно групувати досліджувані атмосферні об’єкти, однорідність елементів яких проявляється у межах виділених груп. Аналізуючи погодно-кліматичні умови у розрізі конкретного року, стає питання віднесення його до однієї з апріорно відомих однорідних груп з метою розробки рекомендацій, що до конкретних практичних дій. Порівння комплексів метеорологічних показників зручно виконувати за допомогою кластерного аналізу.
Кластерний аналіз – це сукупність методів класифікації досліджуваних об’єктів і розбивка їх і даних спостережень на однорідні групи. Аналізуючи кліматичні об’єкти (явища, процеси, роки), класифікація виконується за допомогою набору числових або якісних ознак з використанням формальних математичних методів для розбивки на кластери. Поняття однородності кластерів визначається функцією відстані і міри схожості. Вибір відстані або коефіцієнту схожості є вузловим моментом дослідження, від якого у значній мірі залежить кінцевий варіант розбивки об’єктів на класи по заданому алгоритму розбиви.
У схемах кластерного аналізу найбільш розповсюдженою формою графічного зображення результатів аналізу є дендрограма і дендрограф. Дендрограма – це граф, що нагадує дерево, яке дає можливість наглядного зображення взаємних зв’язків між елементами досліджуваних об’єктів. Вони різміщені по ієрархічним рівням таким чином, щоб підкреслити їх взаєму схожість на основі досліджених властивостей. Дендрограф – це граф, на якому у відповідному масштабі подані відстані між елементами, що дозволяє передати графічне зображення зв’язків між елементами.
Методика кластерного аналізу застосована нами для опрацювання метеорологічної інформації одержаної з джерел гідрометеорлогічної служби починаючи з 1972 року. Масив метеорологічних даних одержаний за цей період визначає початок нового періоду кліматологічних змін і зокрема потепління клімата, а тривалість метеоряду дає можливість зробити обгрунтовані кліматологічні висновки. Для цього використані дані максимальної температури за квітень, травень, червень,липень, серпень і серпень з 1972 по 2009 рр.
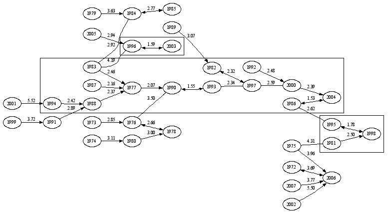
За звітний період використана методика кластерного аналізу для опрацювання метеорологічної інформації одержаної за попередні роки з урахуванням даних поточного 2009 року. У відповідноті до методики були розраховані матриці геометричних відстаней між кожним елементом температурного поля і побудований граф звязку між елементами (рис.3.1).

Рис.3.1 Дендрограма зв’язку кластеризованих елементів
На графіку чітко проявляються три групи кластерів. Загальна тенденція розміщення елементів дендріта складається таким чином, що нарощувавння температури, як елемету кластерізації, відбувається у напрямку з права у верх наліво від найбільш критичних високих температур до помірних і низьких у наступних частинах графу.
У першому кластері (з права унизу) видно, що згруповані роки, яким відповідають найбільш посушливі температури. Тут чітко виділений у прямокутнику кластер з елементом (98) у центрі. До цього кластеру примикає група елементів з центральним (06), які відносяться до найбіш посушливих років.
У другому кластері (средній) згруповані роки, яким притаманні отимальні погодні умови продовж вегетаційного періоду. Цей кластер великий за обємом і може бути розділений на підгрупи, якщо використати менше значення сігми, як розмежувальної ознаки.
У третьому кластері (верхній) згруповані роки з пониженими температурами. Можна сказати, що відповідний кластер теж не складає монолітну групу. Тут чітко виділений у прямокутнику кластер з елементами 96 і 03.
Таким чином, кластерна процедура пов’язана із вичленуванням функції відстані і міри схожості між усіма парами об’єктів і виделені на кожному класифікаційному кроці тієї пари елементів (роки) для якої досягається мінімальне значення. Кластерізація досягається шляхом розмежування початково єдиної групи, що складається з k об’єктів. Однорідною називають таку сукупність, елементи якої формуються під впливом спільних основних причин, а їх закони розподілу мають відповідну структуру.
3.3.3 Моделювання розвитку фітопогодних комплексів
Для графічного зображення типів і класів погоди у вигляді моделі нами використоно структурне поле, де на перетені вертикальних і горизонтальних ліній утворені клітки і на площині подається співвідношення метеоелементів. Для характеристики ФПК відібрано шість метеоелементів. Вони об’єднані попарно і нанесені на площини, що обмежують просторову фігуру кубічної форми.
Таким чином, модель ФПК має вигляд куба, грані і площини якого несуть інформаційну нагрузку. На гранях куба розміщені осі графіків, на які нанесені значення метеоелементів. На площинах відображено співвідношення метеоелементів, що характеризують окремі якісні стани ФПК. Фронтальна площина відображає співвідношення температури і вологості повітря. На площині основи куба подається хмарність і кількість опадів. Бокова площина характеризує вітровий режим.
На перетені ліній, парелельних осям Х і У, відповідних площин утворені квадрати з певними значенями метеорологічних величин. Кожний квадрат має свою нумерацію, яка у вигляді коду фіксує якісний стан ФПК. На фронтальній площині стани ФПК характеризуються температурою і вологістю повітря. У відповідності до типізації ФПК вони мають таке співвідношення (рис. 3.2):
r (%)
| 13 холодна волога погода (t≤20oC r≥60%) | 23 тепла надмірно зволожена погода (t=20-25oC, r≥60%) | 33 надмірно тепла і зволожена погода (t≥25oC, r≥60%) |
| 12 оптимальна вологість низькі темеператури (t≤20oC, r31-60%) | 22 оптимальна для рослин погода (t=20-25oC,r=31-60%) | 32 оптимально зволожена надмірно тепла погода (t≥25oC, r=31-60%) |
| 11 холодна посушлива погода (t≤20oC, r≤30%) | 21 посушлива погода (t=20-25oC,r≤30%) | 31 інтенсивна посуха t≥25oC, r≤30%) |
t oC
Рис. 3.2 Фронтальна площина моделі ФПК з волого-температурними характеристиками погоди
На площині основи куба знайшли відображення характеристики хмарності і атмосферних опадів. Квадрати на площині з відповідною нумерацією відбивають повторюваність різних характеристик хмарності і атмосферних опадів. Так, наприклад, квадрат 11 показує хмарність 0-2 бали і без опадів. Квадрат 22 відбиває хмарність 3-6 бали і опади менше 5 мм. Квадрат 33 відображає хмарність 7-10 бали і опади понад 5 мм.
На боковій площині характеризується вітровий режим. Квадрати на площині з відповідною нумерацією характеризують повторюваність напрямку і швидкості вітру. Так, наприклад, квадрат 11 показує напрямок вітру (північний, північно-східний або східний) і швидкість, що не перевершує 3 м/c. Квадрат 22 відбиває напрямок (південний, південно-східний або південно-західний) і швидкість – 3-5 м/c. Квадрат 33 показує напрямок (західний або північно-західний) і швидкість, що перевершує 5 м/c.
Кожний квадрат обмежує конкретну чарунку моделі куба з певними мікрокліматичними характеристиками. Для характеристики фітопогодного комплексу ми використали шість метеовеличин. Таким чином, кожна чарунка моделі ФПК має шестизначну нумерацію, по дві цифри від кожної площини куба. Наприклад, чарунка 222222 характеризує оптимальні для рослин умови мікроклімату з такими значеннями метеовеличин: t=20-25oC, r=31-60%, хмарність 3-6 бали, опади 5 мм, напрямок вітру пвденний, швидкість його 3 м/c.
Таким чином, геометрична модель ФПК представляє можливий тип погоди, а їх об’єднання у вигляді певних фігур дає можливість показати класи погод.
У травні поточного року погодні умови склались наступним чином. У першій декаді місяця відзначені посушливо-суховійні явища (ПСЯ). На протязі декади температура була у межах критичної (25о), а відносна вологість нижчою 30%. У другій декаді травня посушливо-суховійна напруга не спадала. В окремі дні відзначені інтенсивне (ПСЯ). Тільки у кінці місяця знизилась інтенсивність ПСЯ. У цілому за місяць зареєстровано: 21 посушливий день, 5 днів з “холодним суховієм” і тільки 4 дні були оптимальні для росту культур.
У червні зафіксовано 11 випадків ПСЯ, 10 випадів з помірно-теплими і помірно-вологими ФПК – це оптимальні для розвитку рослин умови, 7 випадків з холодними помірно-вологими комплексами і 2 випадки з холодними підвищено-вологими комплексами. Характерно значне похолодання з 16 по 25 червня. У цей період ФПК з кодом 12-13 зустрічається 8 раз, 22 – 3, а 21 – 1 раз. Опади напочатку місяця були незначні від 0.0 до 1.9 мм. Грунт залишався сухим, посухи не було але вологи у грунті було недостанньо. 17 червня випала достатня кількість опадів (27.4мм), що покращало умови вегетації рослин. Після 25 червня вологість повітря поступово підвищувалась, а в кінці місяця перевищила опртимальльну межу (60%).
У липні температура повітря у цілому зростає але в умовах значної вологості повітря ФПК відзначаються підвищеною зволоженістю. Починаючи з 3 липня відносна вологість невпинно зростає і після 20 числа досягає 70-90%. На протязі усього місяця йшли дощі і налічується тільки 11 днів без опадів. Відмічено 7 днів з інтенсивними опадами більше ніж 5 мм. У цілому кількість днів з різними кодами ФПК була така: підвищена температура з помірною вологістью повітря (код 32) – 4 дні, ФПК с кодом 22 – 17 днів, ФПК с кодом 23 – 4 дня, ФПК с кодом 13 – 5 днів, ФПК с кодом 12 – 1 день.
У серпні посушлово-суховійних явищ не спостерігалось. Відносна вологість повітря не опускалась нижче 45%. В окремі дні ( з 10 по 14 серпня і з 20 по 28) вона перевищувала оптимальні значення (60%). Температурний фон у цей період поступово знижувався, тому культури, особливо городні, знаходились в умовах пригніченого розвитку. ФПК були зареєстровані такі: середні оптимальні умови (код 22) – 18 випадків, з помірною температурою і підвищеною волгістю (23) – 1 випадок, холодних з помірною вологістю 3, холодних дуже вологих (13) –9 випадків.
