«чувашский государственный педагогический университет им. И. Я. Яковлева»
| Вид материала | Сборник научно-методических статей |
СодержаниеЦели и задачи обучения русскому языку Специфика подачи учебного материала Лингвокультурные компетенции Тестовая форма контроля в системе Васильева Екатерина Владимировна |
- Философия и теория культуры, 5911.64kb.
- Положение о II всероссийском заочном конкурсе этнотеатральных проектов, 118.17kb.
- Учебно-методический комплекс дисциплины/ Специальность 033100 (050720)- «Физическая, 219.1kb.
- Морфофункциональная Характеристика щитовидной железы хряков при применении биогенных, 55.53kb.
- Ь студентов необходимыми умениями и навыками анализа морфологического строя языка,, 1412.71kb.
- Становление и развитие крестьянских (фермерских) хозяйств чувашской республики в конце, 713.82kb.
- «чувашский государственный педагогический университет им. И. Я. Яковлева», 4077.05kb.
- Мистическое сектантство в Среднем Поволжье в XIX первой половине, 317.42kb.
- Мировой суд россии во второй половине XIX начале XX в. (на примере уездов Казанской, 367.36kb.
- Наумова Наталия Петровна Домашний адрес Дата рождения, 32.1kb.
Цели и задачи обучения русскому языку
в чувашской школе
Целями обучения русскому языку в национальной школе первой ступени являются:
- формирование и развитие способности учащихся к общению на русском языке;
- овладение уровнями языковой системы (фонетическим, лексическим, морфологическим, синтаксическим строем, построением текста);
- овладение умениями слушания, говорения, чтения, письма, необходимыми для повседневного общения и в учебной сфере, а также для создания предпосылок к использованию русского языка как языка обучения;
- воспитание уважительного отношения к русскому языку как государственному языку Российской Федерации, приобщение к культуре и литературе русского народа.
Реализация этих целей связана с решением следующих задач:
общеучебных:
- развитие личности ребёнка, его речевых и умственных способностей;
- формирование коммуникативных, социальных, предметных компетенций учащихся;
- формирование самостоятельной деятельности учащихся в освоении содержания обучения;
- формирование учебной деятельности школьника как деятельности по самосовершенствованию;
- создание поликультурной среды для обучаемых в целях гармонизации межнациональных отношений;
предметных:
-формирование коммуникативной, лингвистической, лингвокультурной компетенций;
- формирование у учащихся навыков и умений самостоятельного решения коммуникативно-познавательных задач в устной речи, чтении и письме, необходимых для общения в жизненных условиях и учебной сфере;
- приобретение начальных знаний о строе русского языка, языковой системе, особенностях, сходстве с родным языком и их различии;
- осуществление межкультурной коммуникации через диалог культур.
В основу обучения положены общедидактические принципы научности и доступности, преемственности и перспективности, систематичности, наглядности, а также:
- коммуникативно-деятельностного подхода (обеспечение активной речевой деятельности через учебный процесс);
- компетентностного подхода;
- учета системного характера языка и комплексного овладения уровнями языковой системы (фонетическим, лексическим, морфологическим, синтаксическим строем языка, построением текста);
- практической направленности (содействие формированию и развитию речевых умений);
- комплексности овладения такими видами речевой деятельности, как аудирование, говорение, чтение, письмо, с учетом их взаимосвязи и рационального соотношения между ними в учебном процессе;
- учёта специфики родного языка обучаемых;
- текстоориентированного обучения;
- обучения в режиме диалога культур;
- цикличности (этапность и концентричность в подаче учебного материала).
Содержание обучения русскому языку
в чувашской школе
Содержание и объем учебного предмета «Русский язык» учитывают требования Стандарта начального образования и типовой Программы для образовательных учреждений с родным (нерусским) и русским (неродным) языком обучения РФ.
Помимо коммуникативной функции языка, учитываются и другие его функции:
- номинативная (язык является средством фиксации результатов познавательной деятельности в знаковой форме);
- трансляционная (язык выступает в качестве средства передачи исторического опыта и исторической памяти от поколения к поколению, а изучение языка выступает как процесс приобретения индивидом этого коллективного опыта);
- оценочная (язык не только называет явления действительности, но и дает им определенную общественно осознанную оценку);
- эмоционально-экспрессивная (язык выражает субъективное отношение говорящего к содержанию речи, собеседнику и ситуации общения).
В содержание обучения русскому языку в национальной школе первой ступени входят:
- языковой материал (фонетический, лексический, грамматический и орфографический), правила его оформления и навыки оперирования ими;
- комплекс знаний и представлений о русской литературе и культуре;
- речевые умения, обеспечивающие уровень практического владения русским языком как средством общения в устной и письменной форме;
- темы высказываний;
- этикетные формулы речи для общения в различных сферах и ситуациях.
Специфика подачи учебного материала
Минимальный словарный запас учащихся начальных классов составляет около 3000 слов, из них 600 слов активно усваивается в 1 классе, 700 – во 2 классе, 800 – в 3 классе, 850 – в 4 классе. Словарь для активного усвоения предполагает практическое ознакомление детей с лексическим значением слов, с многозначностью слов, омонимами, синонимами, антонимами, с образованием новых слов одного корня при помощи приставок и суффиксов. Учащиеся знакомятся с фонетическим и морфемным составом слова, изучают основные части речи, их формообразование и синтаксическую роль в предложении.
Отбор грамматических конструкций и речевых моделей осуществляется на основе принципов частотности, необходимости их для данных целей обучения, возможности образования по аналогии других форм, словосочетаний и предложений, сочетаемости и коммуникативной ценности.
Грамматический и орфографический материал вводится по принципу концентризма, т. е. одна и та же тема в каждом последующем классе изучается глубже и шире, чем в предыдущем. Комплексное обучение всем уровням языка и видам речевой деятельности строится на материале познавательно-занимательных текстов для чтения, упражнений по развитию речи.
Ведущее место занимает работа по формированию и развитию умений и навыков коммуникации. Развитие устной речи должно быть в центре внимания учащихся при обучении как чтению, так и письму, а также при сообщении сведений по грамматике, при выполнении упражнений на построение связных текстов. На каждом уроке дети должны как можно больше говорить: задавать вопросы и отвечать на них, рассказывать о себе, разговаривать друг с другом, с учителем в соответствии с заданной речевой ситуацией (например, как познакомиться со сверстником), пересказывать содержание прочитанного.
Важно систематически работать над словом, его значением, произношением и правописанием, побуждать учащихся строить повествовательные, побудительные, вопросительные предложения и составлять тексты, диалоги по заданному образцу и самостоятельно.
При этом высказывания (предложения) могут быть организованы в синтаксическое поле. Синтаксическое поле предложения – это система, объединяющая вокруг исходной структуры предложения её регулярные грамматические и структурно-семантические модификации и синонимические преобразования.
Грамматические модификации. В вариантных предложениях, представляющих грамматические модификации модели, изменяются переменные признаки, избирается одна из заданного набора форм синтаксического времени, модальности, синтаксического лица, которые в совокупности своей служат выразителями предикативности, но эти изменения не касаются постоянных признаков предложения, состава синтаксических форм, сопряженных в модели. В период добукварного устного курса это предложения с глаголами в форме настоящего времени (Дети учатся в школе. Лампа висит над столом), прошедшего времени (Мама поставила тарелку на стол. Дети вышли из школы), будущего времени (У нас в школе будет ёлка. К нам придёт Дед Мороз. На ёлке я буду петь). Каждое из этих предложений может быть преобразовано в другую грамматическую модификацию: настоящее время – в прошедшее или будущее время и наоборот.
Структурно-семантические модификации вносят в предложение новый семантический элемент. Сюда относятся модальная и фазисная модификация. Модальная модификация выражает модальное отношение субъекта действия к действию: значения желательности, возможности действия, способности, склонности, расположенности к действию. При этом предложения способны изменяться по грамматической парадигме. В программу добукварного устного курса входят предложения типа Я хочу выйти на улицу. В букварный период они усложняются глагольными конструкциями “мочь (хотеть, уметь, любить) + неопр.ф.” (Катя не может кататься на коньках), а также конструкциями “глагол движения + неопр. ф.”: идём кататься, пришли учиться, пошли ловить рыбу. Действие или состояние предмета, выраженное в той или иной структурной схеме, может быть зафиксировано на одном из этапов, фаз своего развития: в начальной точке, в продолжении или в конечной точке. В моделях с глаголами несовершенного вида фазисные значения реализуются с помощью полузнаменательных глаголов начать, стать, продолжать, кончить, прекратить. Он запел. Он начал петь. Он поёт. Он кончил петь. Для глаголов совершенного вида способом выражения начинательных и финитивных значений служат приставки.
Принято выделять 3 аспекта описания простого предложения: формальный – разбор по членам предложения, семантический – выделение компонентов предложения на основании их роли в реальной ситуации и коммуникативный – рассмотрение предложения с точки зрения конкретных целей высказывания. Для обучения языку наиболее значимыми являются семантический и коммуникативный аспекты. С точки зрения семантического аспекта выделяются предложения со значением действия (Петя читает), состояния (Коля болеет), качества живых существ (Катя – хорошая подруга), свойств неживой природы (Калина – кустарник), указания количества предметов (Учеников двое), оценки конкретных событий и фактов и т.д. Семантический аспект – это рассмотрение предложения с точки зрения выражения внеязыковой действительности, ответ на вопрос “Что выражает?” Коммуникативный синтаксис рассматривает предложение в его текстовой функции, когда достигается взаимопонимание между говорящим и слушающим. Это ответ на вопрос «Для чего используется?» (М. С. Соловейчик).
В устном курсе в каждой из представленных тем можно выбрать модели с указанными значениями. Например, в теме “Школа. Класс” модель со значением “предмет и его признак(и)” в предложениях Школа большая, новая, кирпичная. Она двухэтажная. Класс светлый, чистый. Эти предложения могут быть заменены синонимичными конструкциями: Школа (построена) из кирпича. В школе два этажа. По этой же теме представлены модели со значением “предмет и его действие”: Мальчик сидит. Эта модель может быть дополнена указанием объекта действия: Вова сидит с Иваном. Может иметь грамматические модификации: Я сижу с Верой. Ты сидишь с Сашей. Возможны модальные модификации типа Я хочу сидеть с Вовой. Мы умеем читать. Таким образом, предложение Мальчик сидит может быть представлено в виде небольшого синтаксического поля Мальчик сидит за партой (уточнение места действия), Мальчик сидит с девочкой Любой (уточнение объекта действия), Мальчик будет сидеть (сидел) с девочкой (грамматические модификации), Мальчик хочет сидеть с девочкой (модальное значение), Он сидит с девочкой (синонимичная конструкция с заменой имени существительного на местоимение). На упражнения с подбором модификативных конструкций необходимо уделять на уроке особое время. Такая методика работы в период добукварного устного курса должна дать положительные результаты в обучении говорению на неродном языке. Необходимое условие успешного усвоения русского языка – работа на всех уровнях: лексическом, грамматическом, текстовом.
Всё обучение говорению происходит на основе и при помощи речевых ситуаций. Для детей, только начинающих учить русский язык, их общение может быть мотивировано, например, такими ситуациями: “К нам приехал новый ученик. Он говорит только по-русски. Расскажите ему о вашей семье (о саде, огороде, домашних и диких животных и т.д.)”. “Готовится радиопередача о нашей школе (улице, где ты живёшь, твоем селе). Что мы можем рассказать об этом?”
Говорение предполагает умение вести диалог и строить монологические высказывания. Целесообразно вести обучение от диалога к монологу, так как, если это диалог учителя с учеником, в вопросе уже содержится часть ответа. А если предполагается только ответ-утверждение, то и почти весь ответ. Например: “Эти куклы красивые?” – “Да, эти куклы красивые”. Необходимо знакомить с особенностями ритмомелодики русской речи и вырабатывать навыки использования основных типов интонационных конструкций (повествовательной, вопросительной, побудительной и др.).
Монологические высказывания нерусских детей в период добукварного устного курса должны создаваться с соблюдением нормативного порядка предложений. Например, устное высказывание ученика по теме “Овощи” может иметь следующее начало: “Вот огород. В огороде грядки. На грядках растут огурцы. Они зелёные, вкусные”.
В реальной жизни мы высказываемся не только о том, что происходит сейчас и со мной, но и о том, что было до момента речи или будет происходить после момента речи с собеседником или с теми, кто не участвует в разговоре. Эта информация в предложении передаётся через категорию предикативности. В русском языке предикативность находит своё выражение в категориях модальности, времени и лица. Каждое предложение характеризуется одним из модальных, временных и личных значений (либо безличностью). Для этапа комплексного развития речи (II-IV классы) в учебниках русского языка для чувашских школ это могут быть упражнения типа: “Перескажите текст от лица Лены, затем от лица Кати”, “Расскажите, что вы будете делать завтра ”, “Напишите о себе, вставляя нужные слова ”. В этих упражнениях нужно использовать те же предложения, но изменить время действия или слово, называющее действующее лицо. Такие предложения рассматриваются как вариантные предложения, представляющие грамматические модификации модели. Успех работы во II – IV классах во многом зависит от правильного выбора исходных моделей предложений для добукварного устного курса и их введения в активную речь учащихся. Предполагается, что это реальная модальность и настоящее время. Также надо определиться с выбором типовых значений моделей и семантическим их наполнением.
Содержание и последовательность изучения грамматического материала предусматривается в соответствии с современными научно-методическими исследованиями в области функциональной грамматики и текстоориентированного обучения.
Изучение орфографии необходимо строить на фонематической основе. Для развития орфографической зоркости со второго полугодия первого класса следует вводить специально организованное списывание с орфоэпическим и орфографическим проговариванием. Это будет опережать изучение многих правил орфографии и сыграет немаловажную роль в пропедевтике правописания. Сами правила вводить постепенно, связывая их изучение с составом слова, с правилами грамматики.
В качестве метода обучения говорению выступает коммуникативно-деятельностный подход, который предполагает включение учащихся в продуктивную речевую деятельность на русском языке. Усвоение словаря и основных закономерностей грамматического строя языка в ситуативном общении обеспечит единство процесса обучения детей русской речи и русскому языку.
Практической направленности обучения содействует формирование у учащихся коммуникативных, лингвистических и лингвокультурных компетенции.
Коммуникативные компетенции
1. В области аудирования:
-понимание и реагирование на устные высказывания собеседника в пределах тематики и ситуаций, обозначенных программой;
-понимание просьб, указаний учителя, сверстников, связанных с учебными и игровыми ситуациями;
-понимание общего содержания учебных, а также аутентичных текстов (сказки, рассказы, стихи и др.) и вербальная и невербальная реакция на их содержание;
-полное и точное понимание коротких сообщений монологического характера, построенных на знакомом языковом материале.
2. В области говорения:
-осуществление диалогического общения со взрослыми и сверстниками в пределах тематики и ситуаций, обозначенных программой;
- знание и правильное применение этикетных формул;
-построение элементарных связных высказываний о себе, об окружающем мире, о прочитанном, увиденном, услышанном для выражения своего отношения к воспринятой информации или предмету высказывания.
3. В области чтения:
- читать вслух осознанно и выразительно;
- читать про себя с целью понимания содержания учебных, а также несложных аутентичных текстов, построенных на знакомом материале или содержащих незнакомые слова, о значении которых можно догадаться; поиска необходимой информации.
4. В области письма:
- письмо под диктовку или по памяти предложений и текстов со словами, содержащими усвоенные орфограммы;
- усложненное списывание текстов с различными заданиями;
- составление и запись плана прочитанного;
- составление выписок из текста;
-ответы на вопросы по знакомому тексту или картинкам с использованием изученных орфограмм;
-составление изложений по готовому плану после коллективной проработки материала и работы по предупреждению орфографических ошибок;
-составление маленьких сочинений после коллективной проработки и предупреждения орфографических трудностей.
Лингвистические компетенции
Знание уровней и единиц языка (фонема, морфема, слово, предложение, текст), грамматических категорий и частей речи русского языка, основных принципов написания слов и их произношения, использование терминов: слово, слог, ударение, звук, буква, опасное для письма место (орфограмма), корень, окончание, приставка, суффикс, основа слова, часть речи, имя существительное, имя прилагательное, глагол, местоимение, числительное, наречие, предлог, союз, член предложения, главные члены предложения, второстепенные члены предложения, подлежащее, сказуемое, предложение, повествовательное, вопросительное, восклицательное и невосклицательное предложение, текст.
Умение правильно произносить и различать на слух звуки, сочетания звуков русского языка, правильно произносить слова, словосочетания и предложения, соблюдать интонацию основных типов предложения; понимать особенности русской графики.
Умение делать фонетико-графический разбор слов, не содержащих орфограммы; морфемный разбор доступных для анализа слов; узнавать изученные части речи и характерные для них грамматические категории; правильно образовывать и употреблять в речи формы изменяемых частей речи; выявлять связи между словами в простом предложении, вычленять из них словосочетания; соблюдать правила орфографии и пунктуации при записи текста под диктовку и в самостоятельных связных высказываниях.
Лингвокультурные компетенции
Знание текстов стихотворений, сказок, песен, отрывков из произведений классиков чувашской и русской литературы, а также произведений зарубежных авторов, переведенных на русский язык. Умение рассказывать о родном крае, городе, селе, о России, Чувашской Республике, их столицах, о традициях и культуре чувашского и русского народов. Владение элементарными формулами речевого этикета.
Названная концепция будет реализована в серии учебников русского языка для чувашских школ.

Богомолова Стелла Николаевна,
канд. пед. наук, доцент кафедры МНО
ТЕСТОВАЯ ФОРМА КОНТРОЛЯ В СИСТЕМЕ
РЕЙТИНГОВОЙ ОЦЕНКИ ЗНАНИЙ СТУДЕНТОВ
Концепцией повышения качества образования в России, которая сформулирована в Федеральной программе «Развитие образования в России», предусмотрено реформирование высшего профессионального образования за счет внедрения новых информационных технологий в процесс обучения. Инновационные процессы характеризуются не только существенными изменениями в содержании обучения и воспитания, переходом на многоуровневую систему профессиональной подготовки специалистов, но и кардинальными изменениями в методах и формах обучения. Особенно актуален вопрос организации научно обоснованной, объективной системы педагогического контроля и диагностики знаний студентов.
Контроль и дальнейший учет знаний студентов имеет обучающую, развивающую направленность, являясь незаменимым способом обеспечения обратной связи от обучаемого к преподавателю. При этом контроль в первую очередь необходим и полезен именно самому студенту, так как соединяясь с самоконтролем, он помогает совершенствовать знания, делая их более ясными и систематизированными, содействует развитию памяти и мышления. Обучающая функция контроля реализуется при использовании его различных форм и методов для выявления пробелов в знаниях, дифференциации знания и незнания. Воспитывающая функция контроля связана с повышением учебной мотивации личности студента, формировании у него ответственности за результаты своего труда, самоорганизацию процесса обучения.
На психолого-педагогическом факультете нашего университета в последнее время широко практикуется тестовый контроль и учет знаний и умений студентов по различным дисциплинам, в том числе и математическим. Прежде чем приступить к разработке различных тестов, автор статьи поставил цель рассмотреть различные подходы к организации данной работы, учитывая необходимость оценивать знания студентов в рейтинговой системе по стобалльной шкале.
Общеизвестно, что педагогический тест – это некоторая система заданий специфической формы, позволяющая измерить уровень обученности студентов, совокупность их знаний, умений и навыков на той или иной стадии их обучения. Планормерное осуществление тестового контроля позволяет преподавателю оценить степень усвоения учебного материала за определеный период, выявить успехи и отставание в учении, определить качество усвоенного и соответствие с уровнем ГОС. Объективный анализ результатов теста помогают вовремя принять меры для совершенствования преподавания дисциплины. Кроме того, тестовый контроль в сочетании с другими формами контроля и самоконтролем дает возможность каждому студенту видеть результаты своего учения и принимать необходимые меры для устранения обнаруженных недостатков. Объективный, надежный и валидный тестовый контроль несет образовательное, развивающее, познавательное значение, предлагая каждому обучаемому активно и мотивированно участвовать в процессе тестового контроля, поскольку сама технология его не допускает невнимательности испытуемых к выполнению заданий. Кроме того, объективный тестовый контроль характеризуется также большим воспитательным значением, так как он повышает ответственность за выполняемую работу не только студентов, но и преподавателя, формирует у обучаемых положительные нравственные качества, создает здоровое общественное мнение. Исходя из анализа отечественной и зарубежной литературы тесты можно классифицировать по следующим критериям:
- По методологии интерпретации результатов тестирования:
- нормативно-ориентировочный, который позволяет сравнивать уровень подготовки, профессиональных знаний и умений обучаемых;
- критериально-ориентировочный, который позволяет оценить степень овладения необходимым учебным материалом.
- нормативно-ориентировочный, который позволяет сравнивать уровень подготовки, профессиональных знаний и умений обучаемых;
- По охваченному тестом содержанию:
- гомогенный, который основывается на содержании одной дисциплины (какой-либо);
- гетерогенный, который основывается на содержании нескольких дисциплин, являясь по существу междисциплинарным.
- гомогенный, который основывается на содержании одной дисциплины (какой-либо);
- По характеру контроля:
- текущий, который осуществляется во время повседневной учебной деятельности;
- промежуточный, который проводится после изучения логически законченной части или раздела программы;
- итоговый, который проводится при завершении изучения конкретной дисциплины.
- текущий, который осуществляется во время повседневной учебной деятельности;
- По форме предъявления:
- «бумажные» (бланковые), когда испытуемым тест предъявляется на отдельном бланке;
- компьютерные.
- «бумажные» (бланковые), когда испытуемым тест предъявляется на отдельном бланке;
Исходя из поставленных целей и задач, предъявляемых каждым изучаемым курсом, и с учетом их объема, выбор теста классифицировался по-разному. Но в основном нами были использованы критериально-ориентированные гомогенные педагогические тесты, чаще всего промежуточные или итоговые.
Учитывая гуманитарную направленность контингента обучаемых, по уровню сложности тестовые задания выглядели следующим образом: количество легких заданий – до 30%, задания средней сложности – до 60%, задания повышенной трудности – до 10%. Примерно 50% всего материала тестов были, по существу, теоретическими вопросами, другие 50% − задачи, требующие записи точного ответа.
Важным вопросом для нас были временные рамки и количество вопросов, входящих в тот или иной тест. При проведении тестирования в учебных аудиториях оно, как правило, не должно превышать 45 минут (академический час). Эмпирически установлено, что для работы над одним математическим вопросом студенту требуется в среднем 2-3 минуты. Кроме того, оптимальным количеством вопросов по различным курсам математики оказалось число от 20 до 30. Практика показала, что тест, в котором 40 вопросов (рассчитанный на 1,5 часа) был для большинства студентов весьма трудоемким, скорее всего именно из-за своей длительности. На каждый вопрос предлагались 4 варианта ответов, среди которых лишь один – правильный. При создании тестов и составлении вопросов необходимо придерживаться некоторых правил, основные из которых таковы:
- содержание задания должно принадлежать одной предметной области и иметь определенную меру трудности;
- формулировки заданий должны быть краткими, четкими, корректными и не допускать разночтений;
- предлагаемые варианты ответов должны быть короткими, равнопривлекательными и правдоподобными.
В качестве примера тестовой формы контроля приведем итоговый гомогенный тест, осуществляющий контроль по курсу «Математическая логика», разработанный нами для студентов психолого-педагогического факультета:
1. Какое из следующих предложений является высказыванием:
а) Прямоугольники
и
подобны.б) Сегодня хорошая погода?
в) Число 25 делится на 5.
г) Ромбом называется параллелограмм, противолежащие углы которого равны.
2. Выделить правильное отрицание высказывания «Волга впадает в Каспийское море»:
а) Не Волга впадает в Каспийское море.
б) Волга впадает не в Каспийское море.
в) Волга не впадает в Каспийское море.
г) Не Волга не впадает не в Каспийское море.
3. Классифицировать формулу
:а) Выполнима.
б) Опровержима.
в) Тавтология.
г) Противоречие.
4. Какая из следующих формул не является тавтологией:
а)
.б)
.в)
.г)
.5.Упростить формулу и указать правильный ответ
:а) и.
б) л.
в)

г)

6.Указать верную СКН форму
:а)
.б)
.в)
.г)
.7. В силу какого из законов равносильны прямая теорема и обратно противоположное ему утверждение:
а) Закон де Моргана.
б) Закон контрапозиции.
в) Закон идемпотентности.
г) Закон поглощения.
8. Выберите из следующих утверждений то, которое для следующей теоремы «Равенство треугольников есть достаточное условие их равновеликости» дает правильную структуру «если…, то…»:
а) Если треугольники равны, то они равновелики.
б) Если треугольники равновелики, то они равны.
в) Если треугольники равны и равновелики, то они конгруэнтны.
г) Среди перечисленного нет верного ответа.
9. Определите, какое из следующих высказываний ложно:
а) Наличие аттестата – необходимое условие поступления в вуз.
б) Периодичность – необходимое условие веяной тригонометрической функции.
в) Периодичность – достаточное условие всякой тригонометрической функции.
г) Для существующего действительного логарифма необходимо и достаточно, чтобы это число было действительным и положительным.
10. Отрицанием какой операции является стрелка Пирса:
а) Импликации.
б) Конъюнкции.
в) Эквиваленции.
г) Дизъюнкции.
11. Отрицанием какой операции является сумма Жегалкина:
а) Импликации.
б) Конъюнкции.
в) Эквиваленции.
г) Дизъюнкции.
12. Указать правильный эквивалент формулы
, выраженный через отрицание и конъюнкцию:а)
.б)
.в)
.г)
.13. Укажите верный результат интерпретации формулы
, построить таблицу истинности:а) 1, 0, 0, 1, 1, 1, 1, 1.
б) 1, 1, 1, 0, 0, 1, 1, 1.
в) 1, 0, 1, 0, 1, 1, 1, 1.
г) 1, 1, 1, 1, 1, 1, 0, 0.
14. Упростить булеву функцию
,указать верный ответ, выраженный тремя переменными:
а)
.б)
.в)
.г)
.15. Упростить булеву функцию
, указать верный ответ: а) 1.
б) 0.
в)
.г)
.16. Указать верное решение булева уравнения
:а) (0;0).
б) (0;1).
в) (1;0).
г) (1;1).
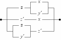
17. Дана релейно-контактная схема

Укажите функцию её проводимости:
а)
.б)
.в)
.г)
.18. Дана РКС:

Указать вид РКС данной функции после упрощения:
| а) | ![]() |
| б) | ![]() |
| в) | ![]() |
| г) | ![]() |
19. Указать множество истинности предиката «
»:а) {0;1}
б) {-1;1}.
в)
.г) {1}.
20. Указать предваренную нормальную форму предиката
:а)
.б)
.в)
.г)
.Хотелось бы отметить преимущества тестовой технологии контроля обучения:
- Индивидуальный характер контроля, возможность его осуществления для каждого студента.
- Возможность систематического, регулярного проведения на всех этапах обучения.
- Возможность сочетания ее с традиционными формами педагогического контроля.
- Всеохватность учебной программы.
- Объективность полученных результатов.
- Единство требований ко всем испытуемым.
- Дифференцированность шкалы тестовых баллов, позволяющая в широком диапазоне ранжировать уровень учебных достижений студентов.
- Высокая надежность тестового контроля, позволяющая говорить о полноценном педагогическом измерении уровня обученности.
Таким образом, хорошо продуманные и реализованные элементы контроля и учета знаний студентов позволяют совершенствовать процесс обучения, корректировать содержание учебных дисциплин и в конечном счете сформировать высококлассных специалистов.
Литература
- Евстигнеев, А. Е. Проектирование информационных технологий / А. Е. Евстигнеев // Информационный бюллетень №1, Самарский государственный технический университет. Факультет повышения квалификации преподавателей. Самара, 2000, 87 с.
- Зайцева, Ж. Н. Информатизация образования: состояние проблемы и перспективы / Ж. Н. Зайцева, В. И. Солдатин. − М., ИЦПКПС, 1998. − 38 с.
- Христовский, С. А. Методические основы проектирования электронного учебника: сб. докладов и сообщений / С. А. Христовский. – М., ИЦПКПС, 1998. − 75 с.
- Развитие тестовых технологий в России : тезисы докладов Всероссийской научно-методической конференции. − М. : Центр тестирования Министерства образования РФ, 2002. − 298 с.

Васильева Екатерина Владимировна,
студентка 5 курса ППФ




