В. И. Похабов Кабушкин Н. И., Бондаренко Г. А
| Вид материала | Документы |
- В. И. Похабов Кабушкин Н. И., Бондаренко, 2547.12kb.
- Список рекомендуемой литературы, 34.84kb.
- О. Ю. Бондаренко // Клинич перспективы гастроэнтерологии, гепатологии. 2006. N c. 24-27, 47.42kb.
- Строительные материалы, 207.69kb.
- Cols=2 gutter=93> Бондаренко, 94.59kb.
- Правила оформления дипломной работы 9 Подготовка к защите и защита дипломных работ, 482.95kb.
- В. П. Астафьев «Пролетный гусь»: Рассказ, 80.18kb.
- Хнуре видатні науковці Михайло Федорович Бондаренко Біобібліографічний покажчик Харків, 638.34kb.
- Е. А. Бондаренко Институт содержания и методов обучения рао, 87.83kb.
- Бондаренко С. В. Модель социализации пользователей в киберпространстве, 82.89kb.
7.6. Организация и контроль за исполнением решений
Организовать исполнение решения — задача не из легких. Она требует знания людей, их возможностей, сил, средств и методов исполнения. Организация исполнения решений — это специфическая деятельность руководителя, завершающая управленческий цикл. И если на этапе подготовки и принятия решения руководитель оперирует идеальными отображениями предметов и явлений, то в процессе организации его исполнения он сталкивается с реальной ситуацией, которая чаще всего отличается от идеальной.
Недостаточно опытный руководитель, мысленно оперирующий вещами и событиями, привыкает к легкости манипулирования идеальными представлениями и неосознанно переносит эту легкость на реальную ситуацию. В результате такого менеджмента принимаемые им решения оказываются непосильными и на практике не выполняются. Здесь следует учитывать то обстоятельство, что руководитель организует не свою деятельность, а труд других людей. Это две разные вещи, ибо процесс исполнения решений также нужно организовывать. Исполнители должны получить четкую информацию о том, кто, где, когда и какими способами и средствами должен осуществлять действия, соответствующие принятому решению. Необходимо разработать план его реализации, которым предусматривается система мер, обеспечивающих достижение целей решения с минимальными издержками.
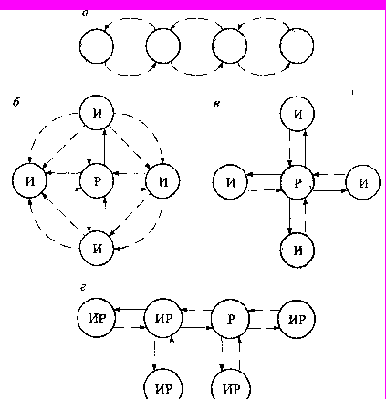
Одним из механизмов, обеспечивающих успешное выполнение решений, является установление и структуризация коммуникаций в фирме. Задача состоит в оптимальном построении структуры коммуникаций управленческих работников и исполнителей. Структуры таких коммуникационных сетей могут быть различными, а связи между передающей (коммутатором-руководителем) и воспроизводящей стороной (исполнителем) могут существенно различаться. В связи с этим можно выделить наиболее часто встречающиеся в организации коммуникации — цепочную, многосвязную, звездную и иерархическую (рис. 7.2).
При цепочной структуре коммуникаций (рис. 7.2, а) решение, передаваемое с одного конца на другой, становится известно всем исполнителям и всеми ими обсуждается Все связи в такой коммуникации одинаковы, а командный стиль руководства отсутствует. Такая структура взаимоотношений распадается, если нарушается связь между двумя участниками коммуникации.
В многосвязной структуре коммуникаций (рис. 7.2, б) все ее участники связаны между собой. Ее отличает достаточная устойчивость и скорость передачи информации. Отношения командования ярко выражены. В практике управления наиболее часто встречается на уровне первичного коллектива.
В звездной структуре коммуникаций (рис. 7.2, в) ярко выражен "коммутатор-руководитель", через которого передаются все задачи. Все связи замыкаются на нем. Устойчивость и скорость передачи информации невысокие.

Рис. 7.1. Структура коммуникаций: а — цепочная, б — многосвязная, в — звездная, г — иерархические отношения координации, ярко выраженное командное действие;
И — исполнитель, Р — руководитель
Для иерархической структуры коммуникаций (рис. 7.3, г) характерны ярко выраженные командные отношения. Промежуточные ступени одновременно являются и подчиненными, и командными.
Организационно-управленческие решения оформляют в виде приказа или распоряжения, после чего они приобретают силу закона. Однако множество решений в организации мигрирует в виде устных указаний, заданий, пожеланий и подобных управляющих директив. Главная задача менеджера и состоит в том, чтобы организовать исполнение такого решения, обеспечить координацию действий и контроль за его выполнением. Таким образом, контроль за исполнением решений является заключительной стадией управленческого цикла. Он принимает форму обратной связи, посредством которой можно получить информацию об исполнении решения и достижении организацией поставленных целей.
Главное назначение контроля — в своевременном обнаружении возможных отклонений от заданной программы реализации решения, а также в своевременном принятии мер по их ликвидации. В процессе контроля первоначальные цели организации могут модифицироваться, уточняться и изменяться с учетом полученной дополнительной информации о выполнении принятых решений.
С помощью контроля не только выявляются отклонения от заданий, сформулированных в решениях, но и определяются причины этих отклонений. Выделяются и другие функции контроля за исполнением принятых решений:
• диагностическая;
• функция обратной связи;
• ориентирующая;
• стимулирующая;
• корректирующая;
• педагогическая.
Диагностическая. Главная, ведущая функция контроля — кто бы что ни проверял, какие бы задачи ни ставились, в любом случае сначала нужно четко представить себе подлинное состояние дел, то есть поставить диагноз.
Обратная связь при контроле за выполнением поставленных задач позволяет руководителю не выпускать из рук бразды правления, дает ему возможность оказывать влияние на ход работы.
Ориентирующая функция контроля проявляется в том, что те вопросы, которые чаще всего контролируются начальником, приобретают особое значение в сознании исполнителей, направляют их усилия в первую очередь на объект повышенного внимания руководителя. Вопросы, выпадающие из поля зрения руководителя, зачастую не решаются подчиненными.
Если ориентирующая функция контроля при умелом руководстве позволяет менеджеру держать работы в поле зрения, то стимулирующая функция нацелена на выполнение и вовлечение в процесс труда всех неиспользованных резервов.
Корректирующая функция связана с теми уточнениями, которые вносятся в решения на основе материалов контроля. Здесь складывается сложная психологическая ситуация: руководитель полагает, что он проверяет работу подчиненного, на самом же деле последний уже проверил на практике эффективность решения руководителя. Иными словами, контроль уже, можно сказать, состоялся, причем по самому надежному критерию — по соответствию принятого решения практике.
Педагогическая функция. Контроль, если он построен умело, побуждает исполнителей к добросовестному труду.
В практике управления организацией применяются три основные разновидности контроля:
• предварительный — предшествует принятию окончательного решения. Его цель — дать более глубокое обоснование принимаемому решению;
• текущий — с его помощью вносятся коррективы в процесс исполнения принятых решений;
• последующий — служит для проверки эффективности принятия решений.
Таким образом, контроль является объективной необходимостью, так как даже самые оптимальные планы не могут быть реализованы, если их не довести до исполнителей и за их исполнением не наладить постоянный контроль.
Вопросы для повторения
1. Что вы понимаете под управленческим решением?
2. Назовите основные стадии процесса подготовки и принятия управленческих решений.
3. Дайте классификацию и охарактеризуйте виды управленческих решений.
4. Чем отличаются решения, принимаемые в условиях определенности и в условиях риска?
5. Объясните различия между запрограммированными и незапрограммированными решениями.
6. Дайте характеристику процесса принятия управленческих решений.
7. Приведите общую классификацию методов принятия управленческих решений.
8. В чем индивидуальность стилей принятия решений?
9. Назовите факторы эффективности принимаемых решений.
10. Назовите требования, предъявляемые к управленческим решениям.
11. Как вы понимаете процедуру организации исполнения управленческих решений?
12. Для чего нужен контроль за выполнением решения?
ОГЛАВЛЕНИЕ
Н.И.Кабушкин, Г.А.Бондаренко 2
Менеджмент 2
Рекомендовано Министерством 2
Серия основана в 2000 году 3
Предисловие 4
глава 1 Гостиничное и ресторанное хозяйство как объект управления 4
1.1. Эволюция предприятий индустрии гостеприимства 4
Древний период (IV тысячелетие до н.э. — 476 г. н.э.) 4
Средневековье (V - XV вв. н.э.) 5
Новое время (XVI в. — начало XX в.) 6
Современные тенденции развития индустрии гостеприимства 7
1.2. Характеристика и особенности гостиничных услуг 12
Типология гостиниц 15
1.3. Классификация гостиниц 19
Уровень комфорта 20
Классификация гостиниц в РФ 24
Вместимость номерного фонда 26
Функциональное назначение гостиничного предприятия 26
Классификация гостиничных номеров 29
Вопросы для повторения 29
глава 2 Организационная структура управления предприятиями индустрии гостеприимства 30
2.1. Структура управления предприятиями индустрии гостеприимства 30
2.2. Типы организационных структур 30
2.3. Основные службы гостиницы 35
Служба бронирования 36
Служба обслуживания 37
Служба приема и расчетная часть 38
Служба эксплуатации номерного фонда 39
2.4. Формы управления 40
Управление по контракту 40
Управление через договор франчайзинга 41
Аренда 44
Вопросы для повторения 44
глава 3 Методы и стиль управления 45
3.1. Методы управления 45
Понятие и классификация методов менеджмента 45
Экономические методы управления 46
Организационно-административные методы управления 46
Социально-психологические методы управления 47
3.2. Стиль управления 48
Понятие и характеристика стилей руководства 48
Управленческая решетка 50
Вопросы для повторения 51
глава 4 Управление процессами обслуживания на предприятиях питания 51
4.1. Классификация предприятий питания 51
4.2. Культура обслуживания на предприятиях питания 54
Посуда для подачи напитков 59
Температура подачи напитков 60
4.3. Обслуживание в гостиничных номерах 63
4.4. Условия питания и методы обслуживания 64
Виды национальных завтраков 65
4.5. Виды сервиса 66
4.6. Обслуживание банкетов 68
4.7. Характеристика и виды меню 69
Составление меню 71
Ранжирование блюд по метолу Хайеса и Гуфмана 73
Вопросы для повторения 75
глава 5 Управление качеством услуг 75
5.1. Качество услуги как объект управления 75
Качество услуги с точки зрения потребителя 77
Относительное качество 79
5.2. Стандартизация и сертификация в управлении качеством услуг 80
Стандартизация 80
Сертификация 82
Возможные схемы сертификации услуг 83
5.3. Всеобщее Управление Качеством 84
Постулаты Деминга 84
Вопросы для повторения 88
глава 6 Менеджмент персонала гостиниц и ресторанов 89
6.1. Кадровая служба гостиничного комплекса 89
6.2. Требования к менеджеру 89
6.3. Формирование трудовых коллективов 92
Власть и личное влияние 93
6.4. Подбор персонала 96
Источники информации при отборе персонала 96
Рынки рабочей силы 97
Критерии оценки сотрудников 98
Оценка персонала 99
Оценка труда претендента 100
Прием на работу 101
Вопросы для повторения 102
глава 7 Управленческие решения 102
7.1. Содержание и вилы управленческих решений 102
7.2. Процесс принятия решений 103
7.3. Методы принятия решений 104
7.4. Индивидуальные стили принятия решений 106
7.5. условия эффективности управленческих решений 107
7.6. Организация и контроль за исполнением решений 109
ОГЛАВЛЕНИЕ 111
