Методика преподавания темы «Проценты» иее применение в межпредметных связях Науменко Н. И., Шишкина С. И., Макарова Е. А
| Вид материала | Элективный курс |
Содержание4.3 Решение задач на сложные проценты Ход урока |
- В течение последних лет наша школа переживает период совершенствования образования., 52.44kb.
- Методика изучения правильных многоугольников в курсе планиметрии Курсовая работа, 313.94kb.
- Методика изучения церковнославянского языка как путь осуществления межпредметных связей, 384.19kb.
- Методика преподавания урока, 146.26kb.
- Темы курсовых работ по методике преподавания информатики на 2006-2007 уч год, 16.24kb.
- Методика преподавания древней русской литературы и фольклора с. Методика преподавания, 1259.52kb.
- Учебная программа (Syllabus) Дисциплина: Методика преподавания психологии Специальность, 205.75kb.
- Методика преподавания темы "Электромагнитные колебания" в средней школе с использованием, 296.04kb.
- Методика преподавания математики рабочая программа Программа лекционного курса Планы, 384.99kb.
- Методика преподавания математики рабочая программа Программа лекционного курса Планы, 266.77kb.
4.3 Решение задач на сложные проценты
Цель: Сосредоточить внимание учащихся на решении разнообразных задач, в условии которых встречается понятие сложные проценты.
Задачи:
- Ознакомить школьников с основными положениями, формулами, теоретическими обоснованиями и методическими комментариями к решению задач на сложные проценты.
- Сформировать умения решения задач на сложные проценты.
- Показать различные способы решения этих задач.
- Научить анализировать условие задачи в плане выбора оптимального способа решения.
- Проверить степень приобретенных навыков через обучающую самостоятельную работу.
ХОД УРОКА
1. Организационный момент
2. Актуализация знаний учащихся
А) Объясните на примерах смысл каждой из фраз:
- цена на товар снижена на 20%;
- производительность труда повысилась на 8%.
Б) Найти число, если 2% его равны: 12; 44; 2,8; 0,4.
В) Рабочий получил путевку в санаторий со скидкой 70% и уплатил за нее 2400р. Сколько стоит путевка в санаторий без скидки?
3. Объяснение нового материала
Учитель: Говорят, что имеем дело со «сложными процентами» в том случае, когда некоторая величина подвержена поэтапному изменению. При этом каждый раз ее изменение составляет определенное число процентов от значения, которое эта величина имела на предыдущем этапе. Рассмотрим 2 случая:
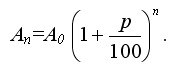
Случай 1. В конце каждого этапа величина изменяется на одно и то же постоянное количество процентов – р%. Тогда в конце п-го этапа значение некоторой величины А, исходное значение которой равнялось А0, определяется формулой (4.2):
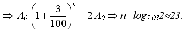
(4.2)Задача 4.11 Сберкасса выплачивает 3 % годовых. Через сколько лет внесенная сумма удвоится?
Решение:
Пусть первоначальная величина вклада составляет А0 рублей. Тогда через п лет эта величина равняется 2А0 рублей.

Ответ: через 23 года вклад удвоится.
Случай 2. Прирост величины А на каждом этапе различный. Пусть величина А в конце 1-го этапа испытывает изменение на р1%, а в конце 2-го этапа – на р2% и т.д. Если рк > 0, то величина А возрастает; если рк < 0, то величина А убывает. Тогда в конце п-го этапа значение величины А, первоначальное значение которой равнялось А0, будет определяться формулой (4.3):
(4.3)Случай 3. Иногда в задачах встречается понятие «средний процент прироста». Под этим понимают такой постоянный процент прироста, который за п этапов давал бы такое же изменение величины А, которое она получает в действительности, при неравных поэтапных процентах изменения.
Средний процент прироста q% определяется формулой (4.4):
(4.4)
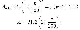
Задача 4.12 Число 51,2 трижды увеличивали на одно и то же число процентов, а затем трижды уменьшали на тоже же самое число процентов. В результате получилось число 21,6. На сколько процентов увеличивали, а затем уменьшали это число?
Решение: Пусть на х% увеличивалось, а затем уменьшалось это число в каждом случае. Тогда в конце третьего увеличения значение нового числа определится по формуле сложных процентов:

Затем происходит уменьшение на х% тоже троекратно, т.е.

Следовательно, после трехкратного уменьшения мы получим число, равное
а по условию оно равно 21,6.Получим уравнение:

Ответ: на 50 % сначала увеличивали данное число, а затем уменьшали.
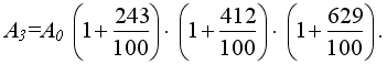
Задача 4.13 Акционерное общество «МММ-лимитед» объявило котировку своих акций на ближайшие 3 месяца с приростом в процентах последовательно по месяцам на 243 %, 412 % и 629 % по отношению к каждому предыдущему месяцу. Каков ожидаемый средний ежемесячный рост котировок акций за указанный период?
Решение:
Пусть А0 – первоначальный вклад.
После 1-го месяца

После 2-го месяца

После 3-го месяца

При среднем ежемесячном росте – х%, будем иметь
– за 3 месяца.Следовательно, можно составить уравнение:

Ответ: 404 % – средний ежемесячный рост котировок акций.
4. Закрепление материала. Решение задач
Задача 4.14 Цена товара за последние три квартала возрастала соответственно на 25 %, 116 % и 629 % по отношению к каждому предыдущему кварталу. Каков средний ежеквартальный процент роста цены за это время?
Решение:

Пусть Аруб – первоначальная цена, тогда в конце I квартала цена будет равна руб., в конце II квартала –
руб., а в конце III квартала –
руб. При среднем ежеквартальном росте в х% будем иметь в конце III квартала
. Следовательно, можно составить уравнение:
Ответ: 170 % – средний ежеквартальный процент роста цен.
Задача 4.15. Производительность труда на заводе трижды увеличивалась на одно и то же число процентов. В результате число производимых за сутки станков увеличилось с 64 до 125 штук. На сколько процентов каждый раз увеличивалась производительность труда?
Решение:
– количество станков после 1-го увеличения.
– количество станков после 3-го увеличения.Следовательно, можно составить уравнение:

Ответ: на 25 % увеличивалась производительность каждый раз.
Задача 4.16 Предприятие увеличивало объем выпускаемой продукции ежеквартально на одно и то же число %. На сколько % ежеквартально увеличился объем продукции, если за 2 квартала он увеличился на 156 %?
Решение:

Ответ: на 60 % ежеквартально увеличивался объем продукции.
Задача 4.17 Себестоимость изделия понизилась за 1 полугодие на 10 %, а за второе – на 20 %. Определить первоначальную себестоимость изделия, если новая себестоимость стала 576 руб.
Решение: А0 – исходная себестоимость товара

Ответ: исходная себестоимость 800 руб.
Задача 4.18 Вклад, положенный в сбербанк 2 года назад, достиг суммы, равной 1312,5 тыс. руб. Каков был первоначальный вклад при 25 % годовых?
Р
ешение:
Ответ: 840 тыс. руб.
Задача 4.19 Цена товара была понижена на 20 %. На сколько % ее нужно повысить, чтобы получить исходную цену?
Решение:

Ответ: на 25 %.
5. Самостоятельная работа обучающего характера
Реши любые три задачи на выбор:
- Пусть вкладчик положил на счет в банке 25000р. и в течение 3-х лет не будет снимать деньги со счета. Подсчитаем, сколько денег будет на счете вкладчика через 3 года, если банк выплачивает 30% в год, и проценты после каждого начисления присоединяются к начальной сумме 25000р., т.е. капитализируются.
- Зарплата служащему составляла 20000р. Затем зарплату повысили на 20%, а вскоре понизили на 20%. Сколько стал получать служащий?
- На товар снизили цену сначала на 20%, а затем еще на 15%. При этом он стал стоить 23,8 тыс.р. Какова была первоначальная цена товара?
- Завод увеличивал объем выпускаемой продукции ежегодно на одно и то же число процентов. Найти это число, если известно, что за 2 года объем выпускаемой продукции увеличивался на 21%.
- Цену товара первоначально понизили на 20%, затем новую цену снизили еще на 30% и, наконец, после пересчета произвели снижение на 50%. На сколько процентов всего снизили первоначальную цену товара?
