Исследование процессов в системе взаимного нагружения машин постоянного тока без механической связи валов
| Вид материала | Исследование |
СодержаниеЦель работы. Материал и результаты исследований. |
- Перспективы применения регулируемых источников тока в системах нагружения машин постоянного, 51.47kb.
- Ательный материал «Электронный курсовой проект «Проектирование машин постоянного тока», 47.15kb.
- Лабораторная работа n 4 «Исследование тахогенератора постоянного тока», 54.85kb.
- Методика и алгоритм расчета переходных процессов в двигателе постоянного тока последовательного, 62.89kb.
- Т. А. Дуюн моделирование тепловых деформаций с целью обеспечения точности механической, 116.36kb.
- Преобразователь измерительный активной мощности трехфазного тока эп8508, 237.92kb.
- Методическое пособие к лабораторной работе. Определение горизонтальной составляющей, 93.64kb.
- Распределительные устройства и подстанции глава 1 распределительные устройства напряжением, 1894.23kb.
- Распределительные устройства и подстанции глава 1 распределительные устройства напряжением, 1787.75kb.
- Терминология Глухозаземленная нейтраль, 249.33kb.
ЕЛЕКТРОМЕХАНІЧНІ СИСТЕМИ ТА АВТОМАТИЗАЦІЯ
УДК 621.313.2
ИССЛЕДОВАНИЕ ПРОЦЕССОВ В СИСТЕМЕ ВЗАИМНОГО НАГРУЖЕНИЯ МАШИН ПОСТОЯННОГО ТОКА БЕЗ МЕХАНИЧЕСКОЙ СВЯЗИ ВАЛОВ
Ломонос А.И.
Кременчугский государственный политехнический университет
Институт электромеханики, энергосбережения и компьютерных технологий
Введение. Системы динамического нагружения являются перспективным видом испытательного оборудования электрических машин. Из работ [1, 2] известно, что в системах взаимного нагружения машин постоянного тока (МПТ), работающих в режимах динамического нагружения, за счет формирования знакопеременного электромагнитного момента, обеспечивающего необходимую токовую нагрузку, циркулирует знакопеременная мощность, колебания которой, с одной стороны, оказывают негативное влияние на снабжающую сеть и других потребителей, а с другой, – приводят к необходимости установки силового трансформаторного и преобразовательного оборудования завышенной мощности. Для снижения указанных недостатков в работах [3, 4] предложено применение различного рода накопителей энергии.
В работе [5] предложен способ использования электромеханического накопителя-компенсатора, в качестве которого применяется машина постоянного тока; приведен общий подход к осуществлению нагружения испытываемой машины и компенсации циркулирующей в системе знакопеременной мощности.
Принципы построения регулятора нагрузки системы испытания и алгоритмы определения и формирования управляющих воздействий, при которых будет достигаться наибольший эффект компенсации переменной мощности и минимальное потребление энергии из сети, сформулированы в работе [6].
Цель работы. Исследование режимов компенсации переменной составляющей мощности в системе взаимного нагружения машин постоянного тока, при которых потребляемый от источника ток будет знакопостоянным и минимальным.
Материал и результаты исследований. Для реализации систем взаимного нагружения без механической связи валов могут быть использованы определенные технические решения [1, 7]. При этом блоки, входящие в структуру схемы нагружения, реализуются функциональными элементами принципиально различного исполнения.
Функциональная схема системы взаимного нагружения машин постоянного тока приведена на рис. 1.
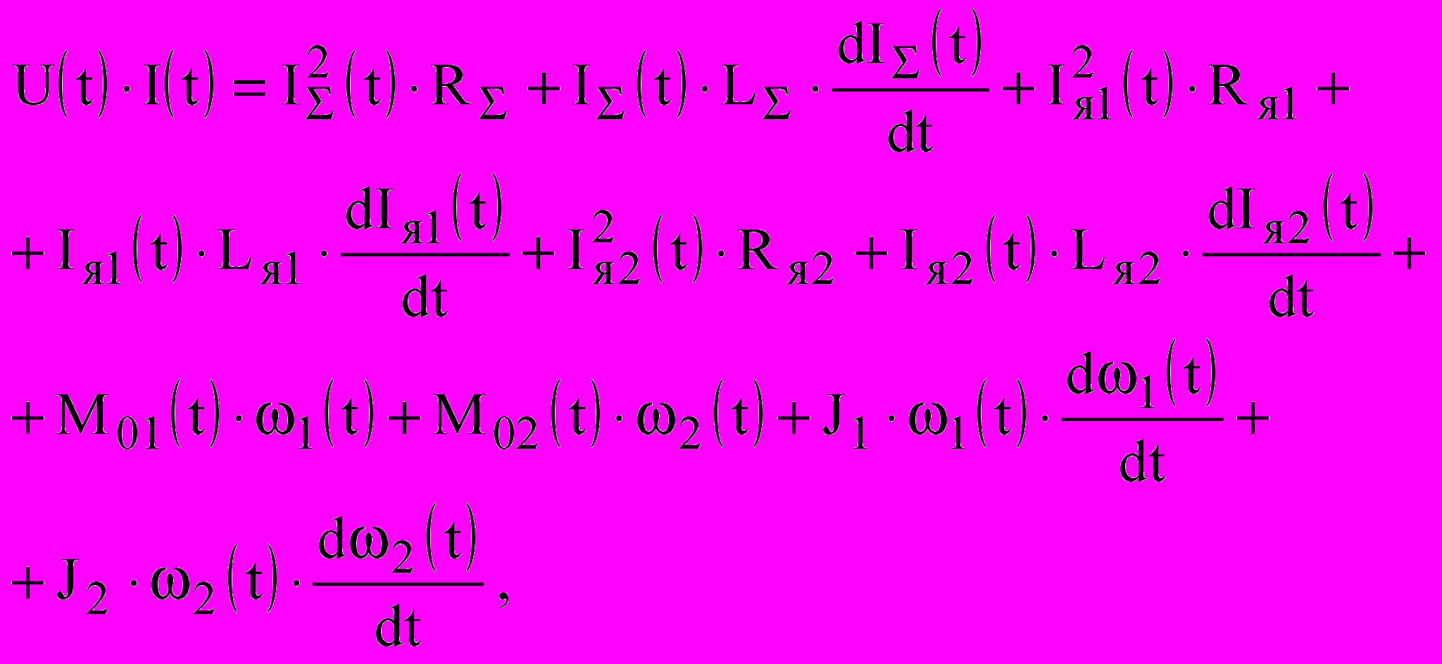
Система уравнений, описывающих процессы в схеме, имеет вид:


;
;
;
;
; (1)

;
,где ЕΣ, RΣ и ХΣ –Э.Д.С., активное и индуктивное сопротивления источника питания соответственно; Rя1 и Хя1 – активное и индуктивное сопротивления испытуемой машины; Rя2 и Хя2 – активное и индуктивное сопротивления накопителя-компенсатора; kФ1(t), kФ2(t) – коэффициенты магнитного потока испытываемой машины и компенсатора; Uв1(t), Uв2(t), Iв1(t), Iв2(t) – напряжения и токи в цепях возбуждения электрических машин; Rв1, Rв2, Lв1, Lв2 – активные сопротивления и индуктивности в цепях возбуждения электрических машин; с1, с2 – конструктивные коэффициенты машин; 1(t), 2(t) – частоты вращения двигателя и накопителя; J1, J2 – моменты инерции двигателя и накопителя;
- моменты механического сопротивления вращению, обусловленные потерями в стали, в подшипниковых узлах и щеточно-коллекторном аппарате. С целью упрощения исследования принимаем [5]:
,
, где а1, а2 - коэффициенты моментов механического сопротивления вращению.На основании системы (1) запишем уравнение баланса мощности в системе нагружения:

где составляющие в правой части соответствуют потерям на активных сопротивлениях, механическим потерям, знакопеременным составляющим мощности на индуктивностях и вращающихся частях испытываемой машины и компенсатора.
Как отмечалось в работах [5, 6], при условии компенсации знакопеременных составляющих мощности, суммарная потребляемая мощность источника питания идет на покрытие потерь, возникающих в системе нагружения. Однако, ввиду невозможности полной компенсации знакопеременной мощности, необходимо выполнение экспериментальных исследований режимов ее компенсации в системе взаимного нагружения.
Как показано в [6], даже при гармоническом изменении магнитного потока электрической машины ток в ее якорной цепи будет несинусоидальным. Поэтому при выполнении исследований необходимо анализировать гармонический состав как тока источника питания, так и токов якорных цепей испытываемой машины и компенсатора.
Для исследования режимов взаимного нагружения электрических машин на гармонический состав токов источника, испытываемой машины и компенсатора, на основании системы (1) разработана математическая модель (рис. 2).
Выполнено моделирование в режимах взаимного нагружения двух машин постоянного тока. В качестве нагружаемой машины и компенсатора выбраны машины П31М с параметрами: Рн=1.4 кВт; Uн=220 В; nн=1500 об/мин; н=91 %; Rя=2.781 Ом; Lя=0.094 Гн; Uов=220 В; Rов=314 Ом; Lов=32Гн; а=0.0016
.Предположим, что выходное напряжение источника питания поддерживается постоянным посредством применения системы стабилизации. Тогда, как показано в [1], при постоянном значении напряжения якорных цепей электрических машин, нагружение может осуществляться за счет изменения напряжения возбуждения в виде:
,на основании алгоритма компенсации [6] напряжение возбуждения накопительно-компенсирующего устройства задается в виде:
,где U01, U02, ΔUв1, ΔUв2 - постоянные и переменные составляющие напряжения возбуждения; 1, 2 - частоты нагружения; φ – фазовый сдвиг между переменными составляющими напряжения возбуждения двигателя и компенсатора.

Рисунок 1 - Функциональная схема системы взаимного нагружения машин постоянного тока

Рисунок 2 - Математическая модель системы взаимного нагружения МПТ в пакете Matlab
![]() | ![]() | |
| а) | б) | |
![]() | ![]() | |
| в) | г) | |
| Рисунок 3 - Зависимости среднего значения І0 (а) и амплитуд первой І1 (б), второй І2 (в) и третьей І3 (г) гармоник тока источника питания при изменении угла сдвига фаз переменной составляющей напряжения возбуждения компенсатора для различных значений постоянной составляющей напряжения возбуждения компенсатора: 1 – U02=0.55U01, 2 - U02=0.7U01, 3 – U02=U01, 4 – U02=1.3U01, 5 – U02=1.55U01 | ||
![]() | ![]() | |
| а) | б) | |
![]() | ![]() | |
| в) | г) | |
| Рисунок 4 - Зависимости среднего значения І10 (а) и амплитуд первой І11 (б), второй І12 (в) и третьей І13 (г) гармоник тока испытываемой машины при изменении угла сдвига фаз переменной составляющей напряжения возбуждения компенсатора для различных значений постоянной составляющей напряжения возбуждения компенсатора: 1 – U02=0.55U01, 2 - U02=0.7U01, 3 – U02=U01, 4 – U02=1.3U01, 5 – U02=1.55U01 | ||
На основании алгоритма работы системы взаимного нагружения МПТ, приведенного в [6], проведено исследование режимов работы при изменении угла сдвига переменной составляющей напряжения возбуждения компенсатора в пределах
. Постоянная составляющая напряжения возбуждения компенсатора изменялась в пределах
при заданном значении переменной составляющей напряжения возбуждения. Исследование режимов работы при изменении
обусловлено необходимостью оценки влияния степени насыщения кривой намагничивания обмотки возбуждения компенсатора на гармонический состав тока испытываемой машины, компенсатора и источника питания. Результаты исследований гармонического состава тока источника питания и токов якорной цепи двигателя и компенсатора приведены на рис. 3-5. Анализируя полученные зависимости, можно отметить, что изменение степени насыщения кривой намагничивания компенсатора существенно не влияет на гармонический состав тока испытываемой машины, поскольку расхождения в значениях незначительные. Однако ослабление потока обмотки возбуждения компенсатора и его работа в режиме насыщения приводят к уменьшению эффекта компенсации тока источника питания якорной цепи.
Из рис. 3 видно, что максимальная компенсация первой гармоники тока источника питания достигается, когда угол сдвига переменной составляющей напряжения возбуждения компенсатора равен
; второй гармоники – при
и т.д. Таким образом, подтверждается проведенное в [6] теоретическое обоснование необходимости компенсации каждой гармоники в отдельности. ![]() | ![]() |
| а) | б) |
![]() | ![]() |
| в) | г) |
| Рисунок 5 - Зависимости среднего значения І20 (а) и амплитуд первой І21 (б), второй І22 (в) и третьей І23 (г) гармоник тока компенсатора при изменении угла сдвига фаз переменной составляющей напряжения возбуждения компенсатора для различных значений постоянной составляющей напряжения возбуждения компенсатора: 1 – U02=0.55U01, 2 - U02=0.7U01, 3 – U02=U01, 4 – U02=1.3U01, 5 – U02=1.55U01 | |
Для оценки степени компенсации тока источника питания при изменении постоянной составляющей напряжения возбуждения компенсатора и угле сдвига переменной составляющей
, проведено исследование с помощью математической модели (рис. 2). При этом также анализировалось влияние формы управляющего воздействия цепей возбуждения испытываемой машины и компенсатора на режим работы системы. Исследования проводились при следующих формах эквивалентизированных сигналов задания: 1 – синусоидальный; 2 – прямоугольный импульс; 3 – нарастающий пилообразный; 4 – спадающий пилообразный (рис. 6).В ходе исследования значение постоянной составляющей напряжения возбуждения компенсатора изменялось в пределах
. Фиксировались значения эффективного тока и частот вращения электрических машин, а также значение эффективного тока источника питания. Результаты исследования степени компенсации тока источника питания при различных формах сигналов задания (1 – синусоидальный; 2 – прямоугольный импульс; 3 – нарастающий пилообразный; 4 – спадающий пилообразный) приведены на рис. 7, зависимости изменения средних значений частот вращения машин при синусоидальной форме сигнала задания - на рис. 8.Анализ результатов моделирования показывает, что при заданных эквивалентизированных формах сигналов в цепях обмоток возбуждения испытываемой машины и компенсатора (в случае, когда машины одинаковые) возможно получение режимов компенсации, при которых эффективное значение тока источника питания может быть снижено, что позволит уменьшить установленную мощность источника питания якорной цепи. Результаты оценки степени компенсации тока источника питания практически идентичны для всех рассмотренных форм управляющих сигналов.

Рисунок 6 - Формы сигналов задания переменной
составляющей напряжения возбуждения

Рисунок 7 - Зависимость степени компенсации тока
источника от изменения постоянной составляющей
напряжения возбуждения компенсатора при
различных формах управляющего сигнала
Рисунок 8 - Зависимости средних значений частот вращения двигателя и компенсатора при изменении
постоянной составляющей напряжения возбуждения
компенсатора
Выводы. Исследования показали, что независимо от формы управляющего воздействия, подаваемого в цепи обмоток возбуждения электрических машин (синусоидальная, пилообразная, прямоугольный импульс), возможно получение режимов компенсации, при которых эффективное значение тока источника питания может быть снижено, что позволит уменьшить установленную мощность источника питания якорной цепи.
Для компенсации тока источника питания якорной цепи необходимо компенсировать каждую отдельно взятую гармонику токов якорных цепей испытываемой машины и компенсатора.
ЛИТЕРАТУРА
- Родькин Д.И. Системы динамического нагружения и диагностики электродвигателей при послеремонтных испытаниях. – М.: Недра, 1992. – 236 с.
- Кривонос С.А., Бялобржеский А.В., Ломонос А.И. Параметры и режимы работы оборудования станций динамического нагружения // Вісник КДПУ, 2002, вып. 2, С.136-140.
- Астахов Ю.Н., Веников В.А., Тер-Газарян А.Г. Накопители энергии в электрических системах: Учеб. пособие для электроэнергет. спец. вузов. – М.: Высш. шк., 1989. – 159 с.
- Бут Д.А., Алиевский Б.Л., Мизюрин С.Р., Васюкевич П.В. Накопители энергии: Учеб. пособие для вузов. Под ред. Д.А. Бута. – М.: Энергоатомиздат, 1991. – 400 с.
- Ломонос А.И., Бялобржеский А.В., Горбань С.Н. Параметры оборудования систем динамического нагружения с накопителями-компенсаторами // Вісник КДПУ, 2004, вып. 2, С.126-130.
- Ломонос А.И., Бялобржеский А.В. Принципы построения регулятора нагрузки системы испытания машин постоянного тока с электромеханическим накопителем энергии // Вісник КДПУ, 2005, вып. 4, С.47-52.
- Бялобржеский А.В., Ломонос А.И., Гордиенко М.Г. и др. Исследовательские компьютеризированные лабораторные комплексы // Вісник НТУ „ХПІ”. Збірник наукових праць. Тематичний випуск „Проблеми автоматизованого електропривода. Теорія і практика”. – Харків: НТУ „ХПІ”, 2003, №10. – Т.2. – С.292-297.
Стаття надійшла 20.04.2006 р.
Рекомендована до друку
д.т.н., проф. Родькіним Д.Й.
Вісник КДПУ. Випуск 3/2006 (38). Частина 2












