Литература: Оптимизационные задачи в экономике
| Вид материала | Литература |
- Задачи урока: обучающая научить учащихся решать оптимизационные задачи в среде электронных, 75.93kb.
- Милаева Надежда Васильевна Кол-во часов: Всего 26 литература, 194.39kb.
- 0 Вводная лекция. Предмет и задачи курса, 433.84kb.
- Литература, 311.1kb.
- Литература Информатика в экономике: Учебное пособие, 756kb.
- Переход в 90-е гг прошлого века к рыночной экономике и связанные с ним кризисные явления, 258.5kb.
- Экзамен Количество кредитов, 26.79kb.
- Детская литература как учебная дисциплина. Цели и задачи курса. Детская литература, 95.64kb.
- Задачи дисциплины: обеспечение усвоения студентами понятий и категорий, используемых, 1130.75kb.
- Темы дипломных работ Проблемы стратегического управления производством в условиях российского, 56.04kb.
Литература:
Оптимизационные задачи в экономике
Теория игр
Принятие управленческих решений
Основные задачи принятия управленческих решений
При управлении экономической системой менеджер любого уровня до принятия управленческого решения должен уметь обосновать правильность принимаемого решения.
Обоснование будет наиболее достоверным если анализ принимаемого решения будет количественным, выражающим в количественной форме величины основных показателей экономической системы в зависимости от принимаемого решения.
Поэтому цель курса состоит в освоении основных методов количественного обоснования принятия решений с использованием методов информационных технологий.
Любая экономическая система в процессе функционирования стремится достичь несколько целей, одна из которых является главной, а остальные вспомогательные.
Поэтому до количественного анализа менеджер должен провести качественный анализ системы для выявления главной и вспомогательной цели.
Как правило, достижение цели испытывает большое количество ограничений, связанных с реальными условиями существования экономической системы.
Эти условия необходимо учитывать при достижении поставленной цели.
Поэтому при обосновании управленческих решений приходится решать большое количество оптимизационных задач.
Условия решения этих задач может разделяться на две большие группы:
1 группа. Оптимизационные задачи в условиях определенности параметров системы
2 группа. Оптимизационные задачи при неопределенности параметров системы.
Каждая из этих групп задач имеет специфические методы решения.
Количественные методы обоснования реальных решений как правило требуют большего объема вычислений в условиях ограниченного времени принятия решений.
Поэтому для обоснования решений применяют возможности информационных технологий, содержащих прикладные программы, часть из которых имеет достаточно универсальное назначение. Например, пакет прикладных программ MS Office.
Одна из программ этого пакета MS Excel содержит надстройки, позволяющие решать оптимизационные задачи.
Оптимизационные задачи при определенных параметрах системы (детерминистические).
Типичной детерминистической задачей является задача о выпуске продукции, в классической постановке она формируется следующим образом:
Предприятие может выпускать n видов продукции, используя для этого m видов ресурсов.
Известны запасы каждого вида ресурсов: b1, b 2 ..bm , известны затраты каждого вида ресурсов для выпуска единицы продукции каждого вида aij (i- номер ресурса, j – номер вида продукции).
Известна величина прибыли, которую получают от реализации единицы продукции каждого вида cj, эти данные обычно приводят в следующей табличной форме.
-
Виды ресурсов
Затраты ресурсов на выпуск единицы продукции
Запасы ресурсов
P1
P2
…
Pn
S1
a11
a12
…
a1n
b1
S2
a21
a22
...
a2n
b2
…
…
…
…
…
…
Sm
am1
am2
…
amn
bm
Прибыль от реализации единицы продукции
c1
c2
…
cn
Используя исходные данные необходимо составить план выпуска продукции таким образом, чтобы прибыль от её реализации была максимальной.
Для решения этой задачи необходимо записать основные соотношения:
1. Определить главную цель решения оптимизационной задачи, для этого из условия задачи необходимо определить тот параметр экономической системы, который должен находиться в экстремальном состоянии, тоесть стремиться к минимуму или максимуму.
В данном случае таким показателем является прибыль от реализации всей продукции.
2. определить переменные экономической системы с помощью выбора которых основной показатель достигает экстремального состояния . В данной задаче такими параметрами являются объемы выпуска продукции каждого вида x1, x2…xn
3. Составить функцию целей, определяющую связь между основным показателем системы и переменными задачами. В данном случае общая прибыль от реализации всей продукции определяется по формуле:

4. Определить систему основных ограничений задач, для этого необходимо определить связь между затратами каждого вида ресурсов на выпуск всей продукции с запасами этих ресурсов. Для определения затрат ресурсов необходимо выполнить вычисление по следующим формулам:

5. Определить систему дополнительных ограничений. Для этого нужно учесть экономический смысл переменных задач (т.е. x1, x2…xn).
В данном случае они определяют объем выпуска продукции. По экономическому смыслу объем выпускаемой продукции не может быть отрицательным, поэтому в данной задаче необходимо учесть дополнительные ограничения

Дополнительные ограничения могут отсутствовать если переменные задачи могут иметь любой знак.
Для решения оптимизационной задачи используют прикладные компьютерные программы, наиболее доступная из них является прикладная программа, представленная виде надстройки программы MS Excel.
Перед применением этой программы необходимо записать основные элементы оптимизационной задачи на листе книги MS Excel, т.е. определить ячейку в которой:
- записана формула для целевой функции
- определить диапазон ячеек, в которых будут записаны значения переменных задачи x1, x2…xn
- Определить диапазон ячеек и записать в них затраты ресурсов в зависимости от объемa выпускаемой продукции (левые части системы основных ограничений).
- Затем перейти в меню «Сервис» выбрать команду «Надстройки» - установить птичку перед командой «Поиск решения» - ОК. Надстройка поиск решения будет активизирована.
- Выбрать «Сервис» - Поиск решения - в результате появится диалоговое окно, в котором нужно указать диапазон ячеек, в котором находятся основные элементы оптимизационной задачи. В разделе «Параметры» диалогового окна необходимо выбрать команду «Неотрицательные значения» с помощью которой автоматически устанавливаются дополнительные ограничения задачи.
- В результате решения задачи будут определены независимые переменные x1,x2…xn , оптимальное значение целевой функции и затраты ресурсов. В идеальном случае затраты ресурсов равны их запасам.
- В результате решения задачи запасы ресурсов могут быть использованы не полностью, ограничением для получения большей прибыли являются те ресурсы, которые полностью использованы, чтобы использовать более полно оставшиеся ресурсы необходимо дополнить запасы полностью использованных ресурсов. После этого продолжить решение оптимизационной задачи. В результате такой процедуры получается решение оптимизационной задачи, в которой кроме главного критерия оптимизации целевой функции учитываются дополнительные критерии, согласно которым имеющиеся ресурсы должны быть использованы полностью.
Решение транспортной задачи
В классической постановке транспортная задача формируется следующим образом.
Имеется m поставщиков продукции, запасы которых равны a1, a 2 ..a m, имеется n потребителей продукции, запросы которых на поставку продукции равны b1, b 2 ..b n.
Известны затраты на перевозку продукции от каждого поставщика к каждому потребителю c i j ,где i=1,2,…,m – номер поставщика продукции; j=1,2,…,n– номер потребителя продукции.
Необходимо составить планы перевозки продукции при условии, что суммарные затраты на перевозку продукции будут минимизированы и при этом все запасы поставщиков будут распределены между потребителями продукции.
Перед решением транспортной задачи необходимо определить к какому типу задач она относится, существует два типа транспортных задач: открытые и закрытые.
Чтобы определить тип задачи необходимо вычислить объём поставщиков
и общий объем запросов потребителей продукции 
Транспортная задача будет закрытого типа если выполняется условие А=В. В этом случае оптимальное решение задачи всегда существует.
Если А≠В транспортная задача открытого типа, в этом случае она может не иметь оптимального решения. Чтобы получить оптимальное решение такой задачи необходимо преобразовать её к задаче закрытого типа. Если А>В вводят фиктивного потребителя с объёмом запросов bф=A-B
Стоимость перевозок к этому потребителю считают равным 0.
Если А<В – вводят фиктивного поставщика с объёмом запасов aф=B-A Затраты на перевозку продукции от этого поставщика считают равную 0.
Обычно исходные данные транспортной задачи представляют в табличной форме.
-
Запасы поставщиков
Запросы потребителей
b 1
b 2
…
b n
a 1
c 1 1
c 1 2
…
c 1 n
a 2
c 2 1
c 2 2
…
c 2 n
…
…
…
…
a m
c m 1
c m 2
…
c m n
Целевая функция транспортной задачи обозначает суммарные затраты на перевозку продукции и определяется по формуле

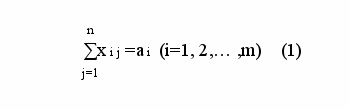
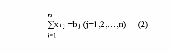
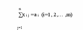
Система ограничений определяет условие полной передачи запасов от каждого поставщика к каждому потребителю. При этом план перевозок, определяющий объём поставок продукции от каждого поставщика к каждому потребителю определяется матрицей с элементами x i j, где i=1, 2,… ,m; j=1,2,…,n
Сумма поставок от каждого поставщика должна быть равна его запасам – это определяет ограничение задачи виде следующих уравнений

Так как по условию задачи все запросы потребителей должны быть выполнены, используют вторую группу ограничений


Совокупность уравнений определяют основные ограничения транспортной задачи. По экономическому смыслу объемы поставок не могут быть отрицательными, поэтому вводят дополнительные ограничения.
x i j≥0 (i=1, 2,… ,m; j=1,2,…,n)
Пример транспортной задачи
Параметры транспортной задачи заданы в следующей таблице
-
Запасы поставщиков
Запросы потребителей
10
50
25
75
40
1
3
2
5
20
4
1
6
2
30
3
4
1
2
60
1
2
3
4
- Определим тип транспортной задачи, вычислим А и В

- Задача открытая, необходимо ввести фиктивного поставщика с объемом запасов А-В=160-150=10
- Дополним таблицу исходных данных строкой фиктивного поставщика.
-
Запасы поставщиков
Запросы потребителей
10
50
25
75
40
1
3
2
5
20
4
1
6
2
30
3
4
1
2
60
1
2
3
4
10
0
0
0
0
- Запишем новую функцию транспортной задачи

- Запишем систему ограничений по запасам поставщиков

- Запишем систему ограничений по запасам потребителей

- Запишем систему дополнительных ограничений.
x i j ≥0 (i=1, 2,… ,m; j=1,2,…,n)
- Для решения данной задачи можно использовать прикладные программы, в частности надстройку «поиск решения» в MS Excel .
Чтобы использовать надстройку «поиск решения» необходимо задать:
- Таблицу исходных данных.
- Определить тип транспортной задачи, вычислить величину А и В.
- преобразовать транспортную задачу к закрытому типу с помощью ввода фиктивного поставщика или потребителя (дополнить таблицу исходных данных строкой или столбцом).
- Обозначить поле ячеек таблицы в которое будут записаны объёмы поставок продукции, размер этой таблицы равен размеру количества поставщиков на количество потребителей с учетом фиктивных. (Для приведенного примера 5 строк и столбцов).
- Записать выделенную ячейку в формулу целевой функции. Для этого необходимо создать дополнительную таблицу, в ячейках которой определить произведение c i j*x i j. Затем данные, в полученной таблице необходимо суммировать.
- Используя таблицу объёма поставок записать уравнение ограничений (1) . (Для приведенного примера этих уравнений будет 5).
- Подобным образом определяют уравнение ограничений (2).
- Необходимо обратиться к программе поиск решения , в окне которой указать ячейки, в которых записаны целевая функция, объемы перевозок и система основных ограничений.
- С помощью команды параметры задать дополнительные ограничения( установить галочку перед записью неотрицательные значения)
- Выбрать команду выполнить. Если решение получено задать отчет по решению задачи.
- Выполнить анализ полученного решения.
Если исходная задача открытого типа, тогда часть продукции будет перераспределяться через фиктивного поставщика или потребителя. Фактически они отсутствуют, поэтому продукция, записанная в ячейках фиктивных поставщика или потребителя будет недопоставлена или недополучена.
В результате анализа необходимо отметить: кто из поставщиков не полностью передал продукцию и кто из потребителей не полностью получил.
Оптимизационные задачи управления в условиях неопределенности.
Процессы управления очень часто сопровождаются достаточно большой неопределенностью параметров экономической системы. В этих условиях невозможно применять методы с помощью которых определяется оптимальный план управления при точно известных начальных условиях.
Начальные условия известны приблизительно и характеризуются вероятностью их появления, кроме начальных условий могут существенно меняться внешние условия деятельности экономической системы.
Как правило, это связано с изменением конъюнктуры рынка, стоимости ресурсов, планов работы организации и т.п.
В этих условиях перед менеджером возникает задача обеспечить оптимальное управление организацией по одному из нескольких критериев.
- Получить гарантированную прибыль.
- Получить реалистичный объем прибыли, который достаточен по объему и вероятность её получения достаточно высока.
- Получить максимально возможную прибыль, даже если вероятность её получения относительно невелика.
Планирование экономической системы в данных условиях происходит на фоне конкуренции с другими экономическими системами.
Конкурентов может быть большое количество, однако основные принцы конкуренции и учета их в управлении хорошо отслеживаются на примере конкуренции двух экономических систем.
Основная особенность конкуренции состоит в том, что каждая сторона может применять определенное количество вариантов альтернатив до достижения поставленных целей.
Величина прибыли, которую получает каждая сторона зависит от сочетания альтернатив, применяемых каждой стороной.
Можно с определенной достоверностью определить вероятность применения одной из альтернатив первой стороной, если вторая применяет свою альтернативу.
В этих условиях можно определить величину выигрыша или проигрыша, которую получает каждая из сторон.
Планирование действий существенно зависит от соотношений между выигрышем и проигрышем каждой стороны.
Могут возникать три ситуации:
1.Сумма выигрыша двух сторон меньше возможной
2. Сумма выигрышей равна возможному выигрышу.
3. Сумма выигрышей больше возможного выигрыша.
Характерные особенности процесса управления проявляются в задаче, когда прибыль организации появляется за счет убытка конкурирующей организации.
Такие задачи получили название:
Задачи управления с нулевой контрольной суммой.
Для решения подобных задач разработана, так называемая, теория игр. В ней определены критерии выбора альтернатив, которые обеспечивают достижение поставленной цели.
В теории игр противоборствующие стороны называются игроками и игра проводится от имени первого игрока.
В формализованном виде задача теории игр для двух игроков с нулевой контрольной суммой формируется следующим образом.
Имеются две конкурирующие стороны: первая сторона может принять m альтернатив действий, а вторая n .
Известны величины выигрыша, которые получает первая сторона, если она применяет одну из альтернатив при условии, что вторая сторона применяет определенную альтернативу.
Определить альтернативы первого игрока при которых он получает:
- минимальный, но гарантированный выигрыш
- максимальный, но маловероятный выигрыш ( с любой вероятностью)
- реалистичный выигрыш с достаточно большой вероятностью его появления.
Исходные данные задачи теории игр обычно представляются в следующей форме:
-
Алгоритмы 1 игрока
Алгоритмы 2 игрока
1
…
j
…
n
1
U 1 1
…
U 1 j
…
U 1 n
…
…
…
…
…
…
i
U i 1
…
U i j
…
U i n
…
…
…
…
…
…
m
U m 1
…
U m j
…
U m n
U i j –величина выигрыша первого игрока, если он применит i –тую альтернативу, а второй игрок j – тую.
Для решения каждой из трех задач необходимо применять различные критерии выбора альтернатив первого игрока.
Как правило, все критерии используют оптимистическую и пессимистическую оценки альтернатив первого игрока.
Пессимистическая оценка определяется путем выбора для каждой альтернативы первого игрока минимального выигрыша.
В результате такого выбора получают матрицу-столбец пессимистических оценок.

Для определения элементов матрицы необходимо проанализировать величины выигрышей первого игрока для каждой альтернативы и выбрать из них наименьший выигрыш.
Оптимистическая оценка получается в результате выбора величин наибольших выигрышей первого игрока и представляется виде следующей матрицы-столбца.

Для получения этой оценки необходимо проанализировать величины выигрышей для каждой альтернативы первого игрока и выбрать максимальный выигрыш.
Для решения одной из трех задач используют определенные виды критериев, наиболее часто применяют следующие критерии:
- критерий Вальда
- критерий Гурвица
- максимаксный (оптимистический) критерий
- критерий Лапласа
- критерий Байеса-Лапласа
- критерий Ходжеса-Лемана
Критерий Вальда (пессимистичный критерий, максиминный) применяют для решения первой задачи, т.е. определения номера альтернативы первого игрока при которой он получает минимальный, но гарантированный выигрыш
Используют этот критерий в тех случаях, когда первый игрок имеет минимальные ресурсы для компенсации потерь от проигрыша.
Выбор альтернатива по критерию Вальда существует на основе пессимистической оценки альтернатив.
Номер альтернативы, соответствующий критерию Вальда выбирается из пессимистической оценки, из которой выбирают наибольшую величину выигрыша.
i*, U*i=max U°i
i € [1,m]
где i* – номер альтернативы которую мы выбираем
Таким образом с помощью критерия Вальда можно выбрать номер альтернативы первого игрока, при котором он получает минимальный, но практически гарантированный выигрыш и можно определить величину ожидаемого выигрыша.
Максимаксный (оптимистический) критерий этот критерий используют для выбора альтернатив первого игрока при которых он может получить наибольший выигрыш.
Критерий используется в тех случаях если первый игрок может допустить максимальную степень риска и потерь от проигрыша ожидается существенно ниже чем резервные запасы первого игрока.
Для использования этого критерия применяется оптимистическая оценка альтернатив, согласно максимальному и минимальному критерию выбирают номер альтернативы первого игрока, которой соответствует наибольший выигрыш из оптимистической оценки.
i*, U*i=max U*i
i € [1,m]
Оптимистический критерий самостоятельно применяют очень редко, так как вероятность максимального выигрыша обычно очень мала.
Критерий Гурвица (критерий пессимизма-оптимизма) представляет собой комбинацию критерия Вальда и максимаксного критерия. Для выбора альтернативы используется комбинация пессимистической и оптимистической оценки.
Критерий Гурвица используется в тех случаях, когда первый игрок может допустить реалистичную степень риска и надеется получить выигрыш больший минимальновозможного.
Для реализации этого критерия необходимо задать коэффициент !!!-называемый степень оптимизма, который характеризует вероятность выигрыша допускаемого первым игроком.
α € [0,1]
Обычно величину α выбирают в интервале
0.2≤α≤0.7
Чем больше α, тем большую величину выигрыша может получить первый игрок при выборе альтернатив, но тем меньше вероятность получения этого выигрыша.
Согласно критерию Гурвица необходимо сформировать пессимистично-оптимистическую оценку, которая определяется по следующей формуле
Ũ i=(1-α)* U°i+α U*i
Из полученной матрицы-столбца определяют номер альтернативы первого игрока(i*), которому соответствует наибольшая величина выигрыша из оценки пессимизма-оптимизма.
i*, Ũ i*=max Ũ i
i € [1,m]
Выбор степени оптимизма зависит от опыта и знаний менеджера, а также степени риска, которую он может допустить при выборе альтернатив.
Критерий Лапласа используется для выбора альтернатив, когда первый игрок может допустить разумную степень риска и надеется получить реалистичный выигрыш. Применяется в тех случаях, когда невозможно отдать предпочтение вероятности применения вторым игроком своих альтернатив, считается что второй игрок с одинаковой вероятностью может применить любую из своих альтернатив. В этом случае оценку Лапласа определяют для каждой альтернативы первого игрока, как среднеарифметическое величин выигрыша для каждой альтернативы.

n –количество альтернатив второго игрока.
Из полученной матрицы-столбца оценок Лапласа определяют номер альтернативы первого игрока, которому соответствует наибольшая оценка Лапласа.
i*, Ũ i*=max Ũ i
i € [1,m]
Критерий Байеса-Лапласа используется в тех случаях, когда первый игрок может допустить умеренную степень риска и рассчитывает получить реалистичный выигрыш.
Применяют критерий Байеса-Лапласа в тех случаях если известно вероятность применения альтернатив вторым игроком.
P j (j € [1,n])
По условию задачи считается, что известны все возможные альтернативы второго игрока. Поэтому они образуют полную группу случайных событий и следовательно сумма всех вероятностей должна быть равна 1.

Оценки Байеса-Лапласа альтернатив первого игрока определяется как математическое ожидание величины выигрыша первого игрока для каждой его альтернативы.

Используя полученную оценку определяют номер альтернативы первого игрока, который соответствует наибольшей оценке Байеса-Лапласа.

Критерий Ходжеса-Лемана (критерий реализма) представляет собой комбинацию критериев Вальда и Байеса-Лапласа. Используется для определения номера альтернативы первого игрока, если он может допустить разумную степень риска и надеется получить реалистичный выигрыш.
Для определения оценки Ходжеса-Лемана необходимо выбрать параметр β € [0,1]
, который называется степень реализма. Рекомендованный интервал параметра 0.3≤β≤0.8
Чем больше β, тем ближе оценки критерию Байеса-Лапласа.
Чем меньше β, тем ближе к критерию Вальда.
Оценки Ходжеса-Лемана определяются по формуле

Из полученных оценок выбирают номер альтернативы первого игрока, соответствующий наибольшей оценке Ходжеса-Лемана

Критерий Ходжеса-Лемана позволяет определить альтернативы первого игрока, которые дают наиболее реалистичный выигрыш.
Для анализа и выбора альтернатив первого игрока обычно применяют все рассмотренные критерии и учитывают их рекомендации для выбора альтернатив первого игрока. Обычно отдают предпочтение выбору той альтернативы, на которую указывают несколько критериев.
Особое предпочтение отдают тем альтернативам на которые указывают критерий Вальда и какие либо другие критерии, так как в этом случае можно гарантировать выигрыш. И есть возможность получения реалистичного выигрыша или наибольшего.
