Автореферат диссертации на соискание ученой степени
| Вид материала | Автореферат диссертации |
- Автореферат диссертации на соискание ученой степени, 378.33kb.
- Автореферат диссертации на соискание учёной степени, 846.35kb.
- Автореферат диссертации на соискание ученой степени, 267.76kb.
- Акинфиев Сергей Николаевич автореферат диссертации, 1335.17kb.
- L. в экосистемах баренцева моря >03. 02. 04 зоология 03. 02. 08 экология Автореферат, 302.63kb.
- Автореферат диссертации на соискание ученой степени, 645.65kb.
- Автореферат диссертации на соискание ученой степени, 678.39kb.
- Автореферат диссертации на соискание ученой степени, 331.91kb.
- Автореферат диссертации на соискание ученой степени, 298.92kb.
- Автореферат диссертации на соискание ученой степени, 500.38kb.
На правах рукописи
АНУФРИЕВ Юрий Владимирович
исследование стадии включения Элементов энергонезависимой памяти на фазовых переходах
Специальность:
05.27.01 - Твердотельная электроника, радиоэлектронные компоненты, микро- и наноэлектроника, приборы на квантовых эффектах
Автореферат
диссертации на соискание ученой степени
кандидата технических наук
Москва 2009
Работа выполнена на кафедре “Полупроводниковая электроника”
Московского энергетического института (технического университета)
| Научный руководитель: | | доктор физико-математических наук, профессор Воронков Эдуард Николаевич | |
| Официальные оппоненты: | | доктор технических наук, профессор Усов Николай Николаевич кандидат технических наук Боровов Герман Иванович | |
| Ведущая организация: | | Рязанский Государственный Радиотехнический Университет | |
Защита состоится 13 марта 2009 г. в ауд. К-102 в 15 час. 00 мин. на заседании диссертационного совета Д 212.157.06 при Московском энергетическом институте (Техническом университете) по адресу: Москва, Красноказарменная ул., д. 14.
Отзывы (в двух экземплярах, заверенные печатью) просим направлять по адресу: 111250, Москва, Красноказарменная ул., д. 14, Ученый совет МЭИ.
С диссертацией можно ознакомиться в библиотеке МЭИ (ТУ).
Автореферат разослан «_____» 2009 г.
Ученый секретарь
диссертационного совета Д 212.157.06
д.т.н., профессор Мирошникова И. Н.
ОБЩАЯ ХАРАКТЕРИСТИКА РАБОТЫ
Актуальность темы
Развитие современной полупроводниковой памяти является одним из основных факторов развития и внедрения современных информационных технологий. При этом особое значение имеют разработки принципиально новых типов памяти, обладающих расширенными функциональными возможностями. Разработка технологии энергонезависимой памяти ("Flash") не только способствовало расширению функциональных возможностей и надежности традиционных аппаратных средств, но и по существу, обеспечило развитие новых быстро развивающихся сегментов рынка информационных технологий; например, мобильных средств связи (мобильные телефоны, коммуникаторы и пр.), автономных компьютерных систем (переносные компьютеры, автономные системы мониторинга и сбора данных и т.п.). Дальнейшее совершенствование энергонезависимой памяти и развитие ее технологии будет способствовать повышению быстродействия внешних устройств памяти, снижению их энергоемкости, габаритов, веса и в конечном счете стоимости. Уже в настоящее время рядом фирм на основе энергонезависимой памяти этого типа разработаны накопители емкостью 64 и более Гбайт. Что позволило применять эти микросхемы вместо жестких дисков с магнитными носителями информации.
Успех Flash памяти стимулировал исследования в области новых принципов записи и долговременного хранения информации. Ряд фирм начало практические работы в области разработки микросхем с самыми разными принципами хранения информации, поскольку устройства Flash вплотную приблизились к пределу масштабирования.
Производители микроэлектронных устройств для Flash памяти такие как Intel, Samsung и ST Electronics и др. в последние несколько лет активно занимаются разработкой принципиально новых ячеек для хранения информации, отличных от базирующихся на сохранении заряда. Хранение данных в новых ячейках памяти основывается на различие свойств проводимости, кристаллической и аморфной фаз одного материала. Такая память получила название Phase Random Access Memory (PRAM) или память на фазовых переходах. Несмотря на то, что идея создания такого типа запоминающих ячеек была предложена пять десятилетий назад, только современные халькогенидные соединения полупроводников (ХСП), могут обеспечить параметры не уступающие параметрам характерным для Flash. Как следствие разработка и развитие PRAM устройств может привести к значительному увеличению скорости записи и объему хранимой информации. Радиационная стойкость материала будет способствовать расширению областей применения микросхем памяти с фазовыми переходами.
Для создания элементов энергонезависимой памяти нового поколения необходимо не только изучить физические процессы, происходящие в этих приборах, но и иметь расчетные соотношения, позволяющие их проектировать.
В настоящее время расчет приборов осуществляется в основном численными методами при этом основную трудность вызывает стадия включения прибора (переход из аморфной фазы в кристаллическую), поскольку отсутствует модель, удовлетворительно описывающая поведение аморфных материалов в сильных электрических полях.
До сих пор ни одна из моделей предложенных для эффекта переключения запоминающей фазо-переменной ячейки (ФПЯ) из высокоомного в низкоомное состояние не нашла широкого применения, поскольку обладает низкой точностью, либо имеются противоречия экспериментальными результатами. Адекватная модель процесса переключения в ФПЯ позволит спрогнозировать характеристики приборов на стадии их разработки, а также создать соответствующие библиотеки для схемотехнического проектирования.
В связи с этим, основная цель работы заключалась:
В комплексном исследовании свойств материала Ge2Sb2Te5 (GST 225), активной области элементов фазовой памяти, и влияние конструктивных параметров ячейки на ее функциональные характеристики. На основе полученных данных разработать аналитическую модель, адекватно описывающую стадию включения, из высокоомного в низкоомное состояние.
Для достижения поставленных целей необходимо было решить следующие задачи:
- Разработать и ввести в эксплуатацию программно аппаратный комплекс для исследования свойств полупроводниковых материалов в заданном диапазоне токов, напряжений и температур.
- Синтезировать необходимые составы ХСП и предложить технологию изготовления экспериментальных образцов.
- Изучить электрофизические свойства активного материала GST 225 в сильных электрических полях (>104В/см)
- На основе детального анализа экспериментальных, а так же литературных данных, выделить основные этапы функционирования запоминающей ячейки и для каждого из них определить критические процессы и возможные классы моделей, пригодные для их описания.
- Для каждого процесса стадии включения элемента памяти разработать модель позволяющую связать функциональные характеристики ячейки с физическими процессами в ней, параметрами материала, режимами перезаписи информации, условиями эксплуатации.
- На базе разработанной физической модели получить расчетные соотношения, пригодные для вычисления основных параметров ФПЯ.
- Выполнить численный расчет процесса включения ячейки памяти и сравнить результаты расчетов с экспериментом.
Объекты и методы исследований
- Основными объектами исследований являются тонкие пленки халькогенидных стеклообразных полупроводников, предназначенные для изготовления элементов энергонезависимой памяти на основе ХСП, а также активные области элементов памяти PRAM.
- Основные методы исследования элементов памяти заключались в исследовании процессов происходящих в статическом и динамическом режимах.
- Основными методами оценки достоверности полученных результатов является их сравнение с экспериментальными и литературными данными.
Научная новизна:
- Выполнены комплексные исследования и впервые получены экспериментальные данные влияния сильных электрических полей на характеристики полупроводников на основе GST.
- На основе результатов экспериментального исследования выдвинуто предположение, о доминировании в сильных полях эмиссионных процессов, разработана модель, описывающая электропроводность аморфного материала. Выполнены численные расчеты и сравнение их с экспериментальными исследованиями подтверждающими адекватность данной модели.
- На основе исследования статических и динамических характеристик показано, что параметры переключения запоминающего элемента в состояние с высокой проводимостью наиболее достоверно описываются моделью перколяционного пробоя. Предложено описывающее перколяцию соотношение, позволяющее выполнить аналитический расчет основных параметров переключения и влияния на них температуры окружающей среды и режима переключения.
- Предложен метод исследования динамики фазовых переходов путем наложения дополнительного токового смещения, что позволило управлять средней температурой активной области.
- Впервые в параметрах PRAM ячейки предложено учитывать значение эмиссионной емкости.
Практическая ценность. Полученные результаты позволяют описать стадию переключения из состояния с высоким сопротивлением в состояние с высокой проводимостью. Большинство расчетных соотношений согласуются с физическими процессами, наблюдаемыми в пленках ХСП, в сильных электрических полях. Результаты работы могут быть использованы в разработке микросхем фаза- переменной памяти на основе тонких пленок ХСП.
Программно-аппаратный комплекс, разработанный при выполнении данной работы, может быть использован для дальнейшего исследования свойств полупроводниковых приборов и материалов.
Основные положения, выносимые на защиту:
- Аналитические соотношения для перколяционной модели пробоя и выполненные на их основе численные расчеты для описания включения ФПЯ.
- Модель описывающая поведение тонких пленок Ge2Sb2Te5 в высоких электрических полях.
- Параметры модели удовлетворяющие экспериментальным результатам исследования статических и динамических характеристик элементов памяти при различных условиях записи информации.
Реализация результатов. Основные результаты исследования вошли составной частью в работу, поддержанную грантом 08-03-006 51 РФФИ.
Разработанные в процессе выполнения работы отдельные программно- аппаратные модули были использованы на кафедре «Полупроводниковая электроника» МЭИ(ТУ) в качестве лабораторного практикума для обучения студентов второго курса, специализирующихся по направлению «Твердотельная электроника», а также в соответствующий раздел курса “Системы памяти”для магистров. Кроме того, результаты разработок программно-аппаратного комплекса переменны в ИОНХ им. Н.С. Курнакова РАН, где они будут использованы для исследования характеристик новых материалов.
Апробация работы. Результаты работы изложены в 5 работах, которые приведены в списке опубликованных работ, а также докладывались на следующих конференциях и семинарах:
- Международная научно-техническая конференция «Информационные средства и технологии»,Москва, МЭИ. 17-19 октября 2006 г
- Международный научно-технический семинар "Шумовые и деградационные процессы в полупроводниковых приборах", Москва, МЭИ. 2004 г.г.
- Научная сессия Центра хемотроники стекла им. В.В. Тарасова, посвященной 100-летию со дня рождения профессора Б.Т. Коломийца. 15 апреля 2008 г., Москва, Российский химико-технологический университет им. Д.И. Менделеева.
- VI Международная конференция "Аморфные и микрокристаллические полупроводники", Санкт-Петербург, 7-9 июля 2008 г.
- Первая всероссийская школа-семинар студентов, аспирантов и молодых ученых «Наноматериалы - 2008», Рязань, 1-6 декабря 2008 г.
Личный вклад автора.
Автору принадлежит основная часть аналитических выражений описывающих эффект переключения стекло-кристалл в ячейках энергонезависимой памяти с фазовым переходом, их сравнение с экспериментальными результатами, создание измерительных установок для исследования электрических свойств тонких пленок ХСП и результаты экспериментальных исследований выполненных с их помощью. Разработка технологии получения исходных сплавов ХСП и пленок на их основе.
Объем и структура работы.
Диссертация состоит из введения, трех глав, заключения, списка публикаций автора и списка цитируемой литературы. Объем работы составляет __157__ страниц, включая __91___ рисунок, _6_ таблиц, __1__ приложение. Список цитируемой литературы включает ___57__ наименований.
СОДЕРЖАНИЕ РАБОТЫ
Во введении дано обоснование актуальности темы и практической значимости работы, а также сформулированы ее цели, научная новизна, перечислены положения, выносимые на защиту.
В первой главе рассмотрено применение стеклообразных полупроводников в современных элементах энергонезависимой памяти. Рассмотрены принципы функционирования этих элементов, их конструкции и характеристики. Показаны примеры микросхем для управления активной областью ФПЯ памяти. Рассмотрены наиболее известные модели, описывающие процесс переключения в ячейках памяти на фазовых перехода.
Процесс переключения определяет рабочие параметры ячейки PRAM. Процесс включения переводит высокоомную область аморфной памяти в низкоомную поликристаллическую. Различие в сопротивлении между двумя фазами более четырех порядков, количество циклов перезаписи более чем 1010. Согласно литературным экспериментальным данным, гарантируется сохранность записанной информации в течении 10 лет при температуре окружающей среды 1200С.
Приведены основные характеристики современных элементов памяти второго поколения с активной областью на основе GST 225. Проведено сравнение характеристик PRAM первого на основе Sb, Te, As, Ge (STAG) и второго поколения GST 225. К основным причинам, приведшим к провалу первых энергонезависимых элементов памяти, с фазовыми переходами следует отнести отсутствие теоретической и технологической базы в то время. Ни одна из предложенных моделей на количественном уровне не могла предсказать параметры прибора. При этом эмпирические кривые, полученные для одного прибора, оказывались не применимыми для другого. Слабой была и технологическая база, поскольку объем непосредственно используемый для записи информации, составлял ничтожную часть от остального активного объема, так что повторная запись, как правило, осуществлялась, в новых, отличающихся по своим свойствам областях.
Показано, что развитее современных материалов и технологической базы для изготовления микросхем, позволили не только повысить надежность работы PRAM, но и значительно увеличить скорость перезаписи. Это стимулировало резкий рост исследований характеристик активной области ФПЯ.
Основные модели, описанные в данной главе, использовали следующие эффекты: механизм двойной инжекции, физико-химические изменения в программируемой области, процессы ударной ионизации и рекомбинации, зарождение центров кристаллизации вызванных полем. Была предложена модель эмиссионного пробоя, которая основывалась на концепции автоэлектронной эмиссии с ионизационных ловушек. Этот тип пробоя был назван перколяционным пробоем, он вызван физическим контактом фрагментов проводящих материалов.
На основании результатов анализа литературных данных, делается вывод о том, что физико-математические модели достаточно полно описывающие основные стадии функционирования запоминающих ячеек на основе ХСП и пригодные для численного моделирования их характеристик отсутствуют или имеют ряд существенных недостатков:
- Несоответствие экспериментальным данным (термическая, кристаллизационная, ударная ионизации).
- Отсутствие аналитических решений, используется в основном машинный расчет.
Имеющихся в публикациях данных недостаточно для понимания электронных процессов, происходящих в ХСП в сильных электрических полях, и приводящих к электрическому пробою халькогенидных стеклообразных полупроводников.
Во второй главе приведены данные о синтезе исходного материала, методике изготовления образцов, методах измерения их параметров, описана созданная для измерений аппаратура.
В качестве базового в работе использован материал Ge2Sb2Te5. Выбор этого материала объясняется тем, что он обладает наиболее высокой скоростью кристаллизации и являются наиболее распространенным для изготовления активной области ячеек PRAM, что позволяет сравнивать параметры образцов, предназначенных для измерений, с имеющимися в литературе параметрами "эталонов". Отдельные измерения выполнены на материалах других составов.
Измерения выполнялись на пленках с толщиной от 20 нм до 2 мкм, полученных при вакуумной конденсации термически испаряемого материала на подложках из стекла или кварца. Термокомпенсатор присоединенный к подложке во время напыления обеспечивал равномерное охлаждение, предотвращая кристаллизацию образца.
Для контроля поверхности использовались: растровый электронный микроскоп "BS300 Tesla" (мин разр 100 нм/см), атомно-силовой микроскоп "Soever Pro-НТ-МДТ" (мин разр 10 нм/см), сканирующий электронный микроскоп "JEOL-840A". Толщина пленок контролировалась по интерференции (микроскоп "МИИ-4").
Показано, что изготовленные пленки ХСП имели состав и морфологию, типичную для стеклообразных полупроводников.
Электрические измерения в статическом режиме проводились в диапазоне токов от 10-13А до 10-2А при помощи автоматизированной установки с использованием пикоамперметра “ KEITHLEY KE 6485”. Для измерений в диапазоне температур использовался охлаждаемый жидким азотом вакуумный криостат. Динамические измерения выполнялись с помощью программируемого генератора Г5-61 и специально собранных электронных схем на импульсах длительностью от 5 нс при напряжениях до 200В и запоминающего цифрового осциллографа LeCroy 440. Для получения больших массивов данных использовалась измерительная плата National Instruments 6014, данные с которой поступали на компьютер. Математическая обработка экспериментальных данных осуществлялась с помощью стандартных математических пакетов.
В третьей главе изложены экспериментальные и расчетные результаты.
В начале главы представлены результаты измерения статических и динамических характеристик образцов.
Измерения вольтамперных характеристик аморфной пленки GST 225 при слабых электрических полях <104 В/см (планарная конструкция контактов с зазором 100 мкм) показало, что образец имел линейную зависимость ВАХ. В низких полях аморфная пленка GST ведет себя как высокоомный полупроводниковый резистор. Оценочное удельное сопротивление =11010 Омсм.
Исследования предпробойной области ВАХ в сильных электрических полях показали, что зависимость характеристики носит экспоненциальный характер. При этом с увеличением поля значительно изменяется проводимость образца вплоть до момента переключения. Тестовые измерения показали, что в тонкой пленке ХСП вплоть до напряжения переключения не происходит никаких структурных изменений. Выполнены измерения вольтамперных характеристик (ВАХ) до момента переключения при различной температуре образца. С понижением температуры напряжение переключения увеличивается. Если при комнатной температуре он для данного образца оно находилось в районе 1-3 вольта, то при -1000С может увеличится до 5 и более Вольт.
Были исследованы электропроводности GST 225 при различных температурах. Энергия активации GST 225 составила следующие значения Ea = 0.29-0.31 эВ (это примерно половина ширины запрещенной зоны GST 225), что согласуется с литературными данными.
В рамках данной работы выполнено исследование зависимости порогового напряжения от толщины пленки, пример соответствующих характеристик приведен на рис.1.
Рис. 1. ВАХ переключения пленки GST 225 для пленок разной толщины. Образец №99. (23.09.08)
Анализ зависимости толщины пленки от напряжения переключения показал линейную зависимость порогового напряжения от толщины.
Для исследования динамических характеристик на ФПЯ подавался импульс длительностью 100 нс и амплитудой Uset выше порогового напряжения для обеспечения режима “set”,подавался короткий импульс с длительностью 30 нс и амплитудой
2Uset для обеспечения режима “Reset” и импульс с амплитудой ниже пороговой ( 0,3Uset) для считывания состояния точки.
Динамические характеристики показали, что среднее время задержки для исследованных образцов варьируется от 24 до 50 нс. При длительности импульса меньше времени задержки переключение образца не происходит. Для стирания образца требуется короткий импульс с резким задним фронтом. Если длительность импульса не превышала 80 нс, запоминание проводящего состояния не происходило, вне зависимости от амплитуды импульса.
После первого цикла переключения предположительно происходит процесс формовки активной области. При этом сопротивление экспериментальной точки в аморфной фазе снижается до величин порядка 100 кОм, а время задержки снижается до нескольких наносекунд.
Для исследования динамики фазовых переходов по изменению электропроводности ячейки памяти, был предложен метод дополнительного смещающего тока. Применение постоянного токового смещения позволило регулировать среднюю температуру активной области, изменяя время процессов плавления и кристаллизации. Показано, что при определенных значениях смещающего тока возникают хаотические процессы, которые могут привести к ошибкам записи информационного бита.
Эффект переключения является одной из стадий функционирования ФПЯ и составляет предмет рассмотрения в данной диссертации, одной из задач которой является не только его экспериментальное исследование, но и создание расчетной модели.
Поскольку любая модель должна адекватно объяснять поведение прибора, наблюдаемое в эксперименте, перечислим основные особенности эффекта переключения.
- Процесс включения происходит через время задержки td после того, как к электродам прибора приложено напряжение, превосходящее по амплитуде Vth.
- Пороговое напряжение Vth уменьшается с ростом температуры.
- Пороговое напряжение пропорционально расстоянию между электродами d, т.е. пороговое поле Eth . Величина порогового поля (14) 105 В/см.
- Время задержки td уменьшается с ростом амплитуды переключающего импульса. Время задержки является уменьшающейся функцией температуры.
- Через время td возникает нестабильность, приводящая к установлению включенного состояния. Время переключения td не более чем 10-10 с.
- Во включенном состоянии ток протекает в токовом канале (шнуруется).
- В ФПЯ после переключения требуется некоторое время tf для того, чтобы зафиксировать проводящее состояние переводом запоминающего объема в кристаллическое состояние, таким образом, время записи 1
составляет t =td +tf.
На рис. 2 приведены упрощенные энергетические диаграммы и распределение плотностей состояний использованные в теоретической модели. Через Ec и Ev обозначены края разрешенных зон, Eg – ширина запрещенной псевдо зоны, B – эмиссионный барьер для дырок, F – уровень Ферми. Поскольку эмиссия идет с ловушек, расположенных вблизи уровня Ферми, принималось B = F. На диаграмме показаны ловушки вблизи уровня Ферми (Ne). и валентной зоны (Nt). Мелкие ловушки равномерно распределены в энергетическом зазоре E0. Величина E0 характеризует только те ловушки, которые взаимодействуют с зоной в течение времени задержки td. Мелкие ловушки участвуют в захвате дырок с последующим их освобождением (уровни прилипания), однако они не могут служить первичными источниками дырок. В запрещенной зоне могут присутствовать другие энергетические уровни. Они не показаны на рис. 2, поскольку не оказывают значительного влияния на рассматриваемые процессы.
![]() | ![]() |
| а) | б) |
Рис. 2. Распределение энергетических уровней участвующих в эмиссионной проводимости и схема распределения заряда: a. перераспределение заряда между уровнями в сильных электрических полях. Обозначения на рисунке: e – электроны, h – дырки;
б. распределение плотности электронных состояний.
Наложение электрического поля должно способствовать увеличению вероятности эмиссии дырок, что должно привести к появлению на зависимости тока от напряжения сверх линейного участка. Вероятность эмиссионного вклада в проводимость рассчитывалась по следующей формуле:
, (1)где Е – напряженность электрического поля, k – постоянная Больцмана, T – температура (K), B – ионизационный барьер, q – заряд электрона, Λ – длина свободного пробега, A – масштабный коэффициент. Величина q·Λ·E характеризует разогрев носителей полем. При этом в образце появляются отдельные области с высокой проводимостью.
Ток ФПЯ имеет две компоненты: Ic ток проводимости, создаваемый равновесными дырками, и Iem – эмиссионный ток, создаваемый дырками эмитированными под действием высокого поля с центров Ne. При полях близких к пороговому Eth, величина равновесной концентрации пренебрежимо меньше концентрации эмиттерованных дырок.
Модель, используемая для расчета начальной стадии процесса переключения ФПЯ в проводящее состояние, базируется на допущении, что в высоком электрическом поле возникают динамические проводящие области, локализованные в пространстве. Проводящая область содержит, по крайней мере, одну проводящую ячейку с длиной ребра Λ. Эти модельные ячейки формируют пространственную структуру с кубической симметрией. Заряд распределен по объему не равномерно, т.е. возникают динамические проводящие области локализованные в пространстве. Пространственное распределение проводящих ячеек в структуре изменяется через время τ = Λ/v, где v – средняя тепловая скорость. Если приложенное поле постоянно, то их пространственное распределение может изменяться, однако общее число проводящих ячеек постоянно и ток через структуру так же постоянен. Число дырок, которые дают вклад в эмиссионную проводимость равно числу проводящих ячеек: NeP(E), таким образом P(E) характеризует долю пространства, заполненную проводящими ячейками. Согласно рассмотренной модели, расчет сводится к определению электрического поля, при котором заполнение пространства проводящими областями достигает перколяционного порога. При этом соотношение между порогом перколяции и полем переключения примет вид:
, (2)где Pth – порог перколяции , Eth – пороговое значение электрического поля.
С повышением температуры член, обусловленный перколяцией, приводит к уменьшению пороговой напряженности, однако это уменьшение весьма малo (~kT) и не может объяснить наблюдаемую в экспериментах температурную зависимость порогового напряжения.
Это свидетельствует о том, что в расчетах должна быть учтена температурная зависимость длины свободного пробега.
Для кубической решетки Pth = 0.3 и из (2) для материалов типа GST получим:
, (3)Влияние температуры на пороговое напряжение могут оказывать два члена T∙lnPth и Λ(T). Температурной зависимостью эмиссионного порога в сравнительно небольшом диапазоне рабочих температур микросхем можно пренебречь.
Для длины свободного пробега дырок было получено следующее выражение:
(4)где v тепловая скорость дырок, mp – эффективная масса дырок и
– характеристическая длина, величина которой зависит от концентрации ловушек и их энергетического спектра.На рис. 3 показаны кривые, характеризующие зависимость порогового поля от температуры в некоторых стеклообразных полупроводниках, обладающих эффектом порогового переключения. Точками на рис. 3 обозначены значения, полученные из эксперимента, линиями рассчитанные результаты. Значения параметров, при которых результаты расчета совпадают с экспериментальными, приведены в подписи к рисунку, они близки к параметрам состава GST.
![]() | ![]() |
| Рис. 3. Зависимости порогового напряжения от температуры: 1. – Nt= 1.6∙1019 см-3, 2 Nt= 1.5∙1019 см-3, 3 Nt= 1.4∙1019 см-3 | Рис. 4. Зависимости порогового напряжения от ширины запрещенной зоны материала : кривая 1 – Λ = 5 нм, кривая 2 – Λ = 10 нм, 3 кривая – Λ = 15 нм. |
При расчетах толщина аморфного слоя принималась равной 50 нм. Точки на линии 2 соответствуют экспериментальным. Точки соответствуют кривой, если E0=0,022 эВ. Низкие значения величины E0 подтверждают тот факт, что только очень мелкие ловушки принимают участие в процессе.
Согласно расчетам должна наблюдаться линейная зависимость Eth(Eg). Экспериментальные результаты подтверждают это, несмотря на значительный разброс точек.
Одним из ключевых параметров для понимания природы процесса переключения в ХСП является проводимость аморфных полупроводников в сильных электрических полях.

Рис. 5. Зависимости тока через образец от температуры, измеренные при различных значениях напряжения: V: 1 – 0.1 В, 2 – 0.7 В, 3 – 1.4 В, 4 – 1.6 В, 5 – 2 В.
Как видно из приведенных зависимостей(рисунок 5), с увеличением приложенного к образцу напряжения меняется наклон прямых. При условии, что распределение электрического поля в образце равномерное, это означает, что с ростом поля проводимость образца возрастает и при этом энергия температурной активации проводимости тем меньше, чем выше электрическое поле.
Для рисунка 6 получена следующая империческая зависимость:
(5)где Ea(E) – энергия активации [эВ], E – напряженность электрического поля [В/см], k – постоянная Больцмана, T –температура [К], V – напряжение [В], приложенное к образцу, As – величина с размерностью проводимости, характерная для данного образца.
Как видно из графиков рисунке 5 в области сильных предпробойных полей энергия активации линейно уменьшается с ростом электрического поля и может быть описана формулой
, (6) где EG – ширина запрещенной зоны, E – напряженность электрического поля, α – характеризующая данный материал постоянная величина с размерностью [Кл·м].
На рисунке 2 схематически показаны энергетические диаграммы и процессы электронного обмена, характеризующие использованный при моделировании подход. Рис.2 демонстрирует процессы эмиссии дырок с эмиссионных центров Ne и их захват на мелкие ловушки Nt. Через величину B обозначен эмиссионный барьер, в дальнейшем его величина принимается равной Eg/2. Как было определено из модели в высоких полях ток через образец определятся равновесными и неравновесными дырками, возникающими за счет полевой эмиссии:
(7)где Gs = S/d – коэффициент, характеризующий геометрию образца; μp – подвижность дырок; Nv – эффективная плотность состояний в валентной зоне, Ne – концентрация эмиссионных центров.
Поскольку, как правило, Nv >> Ne, то первое слагаемое в уравнении (7) доминирует при низких полях, второе при сильных. Сравнение (7) с эмпирическими зависимостями (5) и (6) показывает, что в области сильных полей между эмпирическими коэффициентами и параметрами материала, используемыми в модели должны существовать следующие соотношения:
,
.Эти соотношения позволяют из экспериментальных зависимостей определить такие параметры модели как Ne и La.
В данной работе для оценки справедливости рассматриваемой модели, помимо значений порогового напряжения, использовалось сравнение расчетной и экспериментальной вольт-амперных характеристик.
На рис. 6 приведены расчетные кривые полного тока (линия 1), тока, создаваемого равновесными носителями (линия 2) и эмиссионного тока (линия 3). Расчет выполнен при тех же параметрах B и Λ, что и ранее для кривых, показанных на рис. 4. Из графиков видно, что расчетные кривые удовлетворительно соответствуют экспериментальным точкам.
![]() | ![]() |
| Рис. 6. Вольтамперные характеристики ячейки. Линия 1 – полный ток, линия 2 – омический ток, линия 3 – эмиссионный ток. Точки на графике соответствуют экспериментальным результатам | Рис. 7. Экспериментальная и расчетная вольт-амперная характеристики ФПЯ |
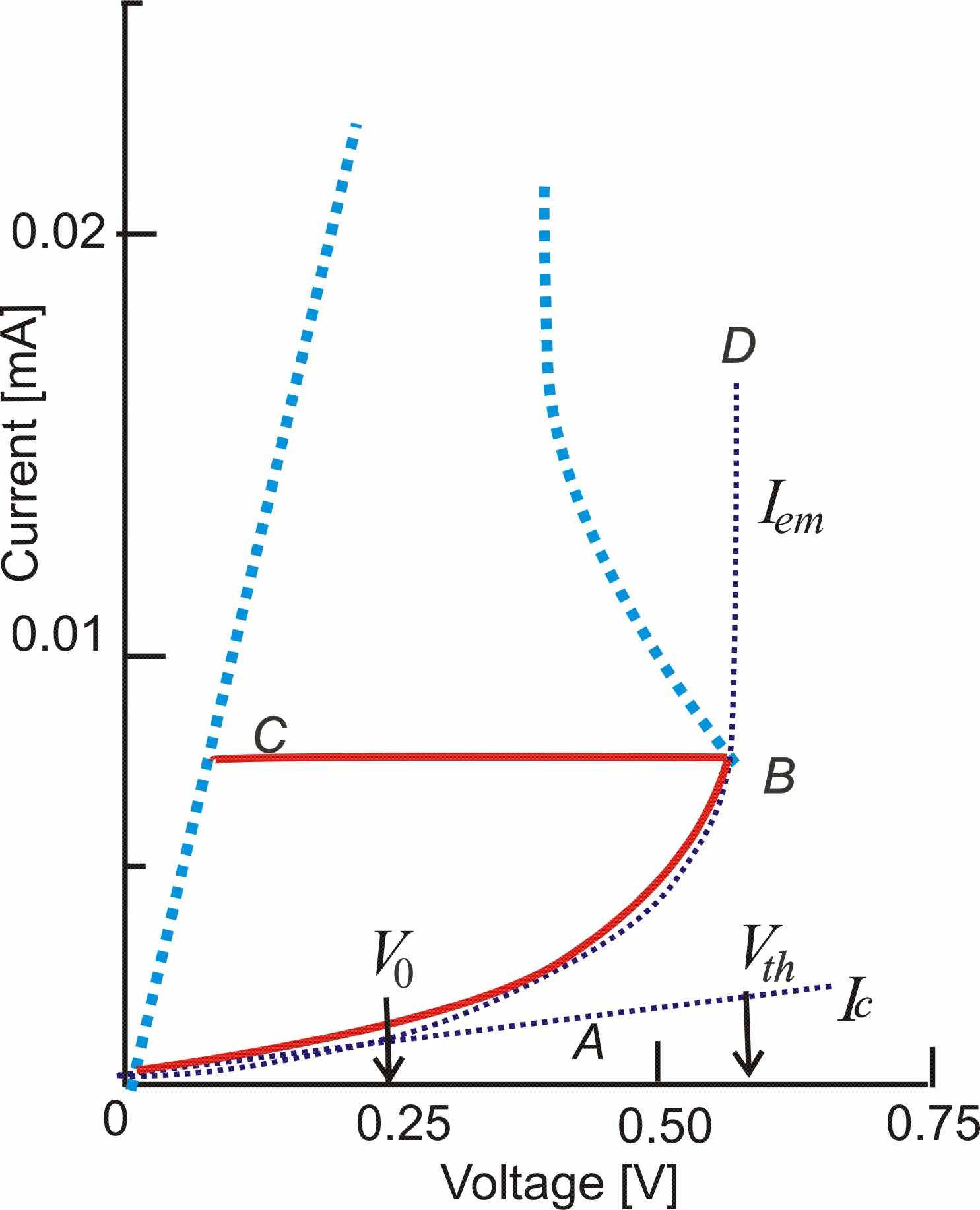
На рис. 7 показана вольт-амперная характеристика ФПЯ, линия 0 BC соответствует характеристике, которая должна получиться в соответствии с эмиссионной моделью. Точка B имеет координаты Vth, Ith. Это точка включения ФПЯ. Пунктирная линия 0А характеризует ток Ic, который линейно зависит от приложенного напряжения, пунктирная линия 0B характеризует эмиссионный ток Iem. Сумма этих токов характеризуется сплошной линией 0B, которая соответствует ВАХ ФПЯ до точки включения. Расчетная линия до точки B совпадает с экспериментальной. После точки B экспериментальная характеристика включения представлена пунктирными линиями. Ее ход задается сопротивлением внешней цепи. Вторая пунктирная линия, идущая из 0, соответствует включенному состоянию. Участок BD соответствует эмиссионному пробою и наблюдался бы в случае отсутствия шнурования.
Основная особенность вльт-амперной характеристики в данной модели заключается в том, что он не имеет участка развития отрицательного сопротивления, соответствующего теории отрицательного дифференциального сопротивления Ridley и отражающего стадию формирования токового шнура между электродами.
Если бы не было включения прибора в точке B, то характеристика бы шла по почти вертикальному участку BD (пунктир), что соответствовало бы эмиссионному пробою без шнурования.
При приложении к ФПЯ напряжения, в образце возникает свободный заряд, накопление которого можно характеризовать эмиссионной емкостью. Учитывая уравнение (27) и то, что величина эмиссионного заряда равна
, получим:
, (8)где
.
Рис. 8. Зависимость отношения эмиссионной емкости к геометрической (Ce/Cgeom) от напряжения: кривая 1 – T = 400К, кривая 2 – T = 300 К, кривая 3 –T = 200 К)
На рис. 8 показаны зависимости отношения эмиссионной емкости к геометрической от относительного напряжения на образце (V/Vth), рассчитанные для различных температур. При расчетах принималось Cgeom=ε·ε0S/d и Vth=1.6В,

эВ, Ne=1018 см-3, d=50нм, S=104 нм2, ε=10. Приведенные зависимости показывают, что эмиссионная емкость может значительно превышать геометрическую емкость. Этот факт как правило не учитывается при проектировании PRAM, однако он может оказывать влияние на надежность перезаписи информации.Эффекту включения ФПЯ предшествует некоторое время задержки. Согласно рассматриваемой модели задержка обусловлена накоплением эмиссионного заряда и созданием концентрации свободных носителей, необходимой для образования, замыкающего контакты прибора, проводящего кластера.
На рис. 9 показана форма импульса, наблюдаемая при включении ФПЯ. Из графика видно, что, по прошествии времени td происходит резкое падение напряжения на образце и возрастание тока через него, т.е. происходит включение ячейки и переход ее из состояния с высоким сопротивлением, в состояние с высокой проводимостью, т.е. перезапись логического нуля на логическую единицу. Через некоторое время, обычно называемое временем фиксации проводящего состояния (td.cr,), наблюдается некоторое возрастание тока прибора. Если в течение времени меньшем времени td.cr снять напряжение с прибора, то фиксации включенного состояния не происходит и ФПЯ возвращается в исходное состояние с высоким сопротивлением. Участок, характеризуемый временем фиксации, связывают с возникновением в канале проводящей поликристаллической нити, замыкающей контакты. Следует отметить, что этот участок хорошо выражен в ФПЯ первого поколения и незаметен в ФПЯ второго поколения.
![]() | ![]() |
| Рис. 9. Форма импульса напряжения и тока наблюдаемая при включении ФПЯ | Рис. 10. Зависимости времени задержки от толщины пленки при E=Eth, кривая 1 – μp=10-4 см2/(В·с), кривая 2– μp= 10-3 см2/(В·с), кривая 3 – μp= 2 10-3см2/(В·с) (Ne=1018см-3, S=104 нм2, Eth=3105 В/см, T=300K). |
Включение ФПЯ, согласно развиваемой в данной работе модели происходит в момент, когда эмиссионный заряд достигает значения Qth = P(E)Ne.. Для накопления этого заряда при токе Ith требуется время td0. Тогда можно записать:
, (9)где S – площадь электрода и Qth = S·d·e·Ne·Pth, I’th = S·d·e·Ne·Pth·μp·Eth.
Это сравнительно простое уравнение дает правильный порядок для значений времени задержки. На рис. 10 приведены зависимости времени задержки от толщины для разных значений подвижности. Значения, выбранные для расчетов, ориентированы на параметры ячеек второго поколения (точки на графиках.).
Если поле в образце E больше порогового значения Eth, то время задержки td(E) меньше чем td0:
. (10)Полученное соотношение соответствует тому, которое наблюдалось в экспериментах. На рис. 11 показано как изменяется время задержки от перенапряжения (в относительных величинах). Расчет выполнен в соответствии с уравнением (10).

Рис. 11. Зависимости времени (td/td0) задержки от перенапряжения (V/Vth).
При расчете времени задержки в уравнении (9) учитывается только активная компонента тока. Однако, для тока через образец с учетом реактивной компоненты можно записать:
, (11)где I’th – активная составляющая тока. Тогда для порогового тока можно записать:
. (12)Соответственно:
. (13)ОСНОВНЫЕ РЕЗУЛЬТАТЫ И ВЫВОДЫ
- Предложена аналитическая модель эффекта переключения в халькогенидных аморфных материалах. Выполнены расчеты влияния температуры на электропроводность тонких пленок GST согласующиеся с экспериментальными данными.
- Разработана методика получения и исследования образцов ФПЯ на основе GST. Разработана методика изучения динамики фазовых переходов в ФПЯ путем наложения на образец, помимо возбуждающего импульса, постоянного токового смещения.
- Разработан программно-аппаратный комплекс для измерения статических и динамических характеристик тонких пленок GST и элементов ФПЯ в диапазоне температур 173-400 К.
- Выполнено экспериментально исследование влияния электрических полей и температуры на электропроводность тонких пленок GST.
- Выполнено экспериментальное исследование статических и динамических характеристик ФПЯ
- Выполнен согласующийся с экспериментальными данными расчет для вольтамперной характеристики элемента памяти для выключенного состояния.
- Выполнены расчеты влияния параметров материала и температуры на пороговое напряжение. Результаты расчетов согласуются с экспериментальными данными.
- Показано, что при эффекте переключения возникает эмиссионная емкость, которая может оказывать влияние на надежность работы прибора, при напряжениях включения превышающих пороговое.
Результаты работы могут быть использованы разработчиками электронных PRAM устройств, при расчете стадии включения элементов памяти с фазовыми переходами.
ОСНОВНЫЕ РЕЗУЛЬТАТЫ ИЗЛОЖЕНЫ В СЛЕДУЮЩИХ РАБОТАХ
- Контроль качества пленок аморфных полупроводников и диэлектриков по оптическому поглощению в области края Урбаха/ Ануфриев Ю.В., Воронков Э.Н., Бабенко Е.А. Копелев. И.Б. // Шумовые и деградационные процессы в полупроводниковых приборах (метрология, диагностика, технология): Материалы докладов научно-методического семинара ( Москва, 9-12 ноября 2004 г.) М: МНТОРЭС им. А.С. Попова, МЭИ (ТУ) 2005. С.156-160.
- Ануфриев. Ю.В. Программно-аппаратный комплекс для исследования характеристик полупроводниковых материалов и приборов// Труды международной научно-технической конференции «Информационные средства и технологии» 17-19 октября 2006 г., в 3-х т.т. Т1.-М.: Янус-К, 2006, С.145-146.
- Ануфриев. Ю.В. Температурная зависимость напряжения включения ячеек энергонезависимой памяти на основе халькогенидных полупроводников// Вестник Московского Энергетического института, -М:МЭИ, 2007, №6, С.144-147.
- Ануфриев Ю.В., Еганова Е.М. Определение электрофизических параметров полупроводниковых материалов с фазовыми переходами// Программа и тезисы докладов научной сессии Центра хемотроники стекла им. В.В. Тарасова, посвященной 100-летию со дня рождения профессора Б.Т. Коломийца. 15 апреля 2008 г., -М: Российский химико-технологический университет им. Д.И. Менделеева, 2008. С.24-25.
- Ануфриев Ю.В. Определение параметров материала из вольтамперных характеристик элементов памяти с фазовыми переходами// Аморфные и микрокристаллические полупроводники сборник трудов 6 международной конференции. 7-9 июля 2008 г.-Санкт-Петербург: издательство Политехнического университета 2008 г. С. 168-169.









