Развитие теоретических основ и разработка технологий низколактозных молочных продуктов с регулируемым жирнокислотным составом
| Вид материала | Автореферат диссертации |
- Развитие теоретических основ и разработка технологий мучных изделий повышенной биологической, 587.38kb.
- Тесты по теме: «Блюда из молока и молочных продуктов», 27.84kb.
- Технология производства и переработки молока, 7.71kb.
- Омский Государственный Аграрный Университет Факультет технологии молока и молочных, 19.47kb.
- Годовой отчет ОАО «Курганский комбинат молочных продуктов №1» за 2011, 158.41kb.
- Специальность 260303 – «технология молока и молочных продуктов» Специализации, 17.32kb.
- Курс 4 Семестры 7 Всего аудиторных занятий 51 часов, в т ч.: 7 семестр 51 час, из них:, 148.28kb.
- Программа вступительного экзамена в магистратуру по специальности 1-49 80 04 технология, 305.31kb.
- Методические рекомендации и контрольные задания по дисциплине сд 03. Технология и организация, 976.5kb.
- Рабочая программа по дисциплине «Технология отрасли» раздел «Технология молока и молочных, 211.24kb.
На правах рукописи
АРСЕНЬЕВА Тамара Павловна
Развитие теоретических основ и разработка технологий низколактозных молочных продуктов с регулируемым жирнокислотным составом
Специальность 05.18.04 – Технология мясных, молочных, рыбных
продуктов и холодильных производств
Автореферат
диссертации на соискание ученой степени
доктора технических наук
Санкт-Петербург – 2008
Работа выполнена в ГОУ ВПО «Санкт-Петербургский государственный
университет низкотемпературных и пищевых технологий»
Официальные оппоненты: доктор технических наук, профессор
Громцев Сергей Александрович
доктор технических наук, профессор
Гаврилов Гаврил Борисович
доктор технических наук, профессор
Галынкин Валерий Абрамович
Ведущее предприятие: ГНУ Всероссийский научно - исследовательский
институт жиров, Санкт-Петербург
Защита диссертации состоится 2009г в час на заседании диссертационного совета Д 212.234.02 при Санкт-Петербургском государственном университете низкотемпературных и пищевых технологий, 191002, Санкт-Петербург, ул. Ломоносова, д 9, тел/факс 315-30-15.
С диссертацией можно ознакомиться в библиотеке университета.
Автореферат разослан ______________________ 2008 г
Ученый секретарь диссертационного совета
доктор технических наук, профессор Колодязная В.С.
ОБЩАЯ ХАРАКТЕРИСТИКА РАБОТЫ
Актуальность проблемы. В рамках концепции государственной политики РФ особое внимание уделяется решению проблемы здорового питания населения. В связи с этим актуальным является создание качественно новых функциональных продуктов, способствующих профилактике различных заболеваний, продлению жизни, повышению умственной и физической работоспособности.
Теоретические основы разработки функциональных продуктов питания заложены в трудах А.Н. Покровского, Н.Н. Липатова (ст), Н.Н. Липатова (мл), К.С. Петровского, И.А. Рогова, А.В. Гудкова, Ф.А. Вышемирского, В.Ф. Семенихиной, Л.А. Остроумова, Л.В. Терещук, Л.В Голубевой, И.В. Буяновой и др.
Анализ фактического питания населения России свидетельствует о ряде нарушений его структуры, выражающихся в дефиците полноценного белка, витаминов, минеральных веществ, пищевых волокон при избытке углеводов и жиров животного происхождения, что приводит к различным формам нарушения нормального состояния организма человека.
В связи с возрастающим распространением ферментопатии, в частности, лактазной недостаточности, значительная часть людей не может потреблять молочные продукты. Наиболее часто встречающаяся патология тонкой кишки с синдромом нарушенного всасывания, связанная с отсутствием или недостаточной активностью фермента лактазы. По данным Всемирной Организации здравоохранения лактазной недостаточностью страдает от 10 до 80 % людей среди различных групп населения.
Среди основных требований при проектировании состава сбалансированных молочных продуктов является возможность регулирования их углеводного состава и изменения жирнокислотного состава липидной фракции молочного жира.
Согласно данным научно-технической и патентной литературы проводились исследования ферментативного гидролиза лактозы в молоке. Для гидролиза лактозы наибольшее распространение получили ферментные препараты β-галактозидазы, выделенные из бактерий и плесневых грибов. В последнее время одним из перспективных ферментных препаратов является дрожжевая β-D-галактозидаза. Опубликованные данные относительно дрожжевой -галактозидазы, полученной из дрожжей Kluуveromyces lactis, весьма разноречивы и в большинстве случаев относятся к синтетическим субстратам и чистым растворам лактозы, а не к естественному субстрату – лактозе, содержащейся в молоке.
Отсутствуют данные о влиянии образовавшихся моносахаридов на физико-химические свойства сырья и готового продукта, сбалансированного по жирнокислотному составу. Недостаточно изучены условия гидролиза лактозы в молоке применительно к технологическим режимам производства пастеризованного, топленого, стерилизованного молока, сгущенного молока с сахаром вареного, кисломолочных напитков, сметаны и мороженого. Для повышения лечебно-профилактических свойств кисломолочных напитков необходимо подбирать закваски, содержащие популяции микроорганизмов с управляемой активностью. Что касается целенаправленного изменения жирнокислотного состава липидной фракции молочного жира, наиболее весомые результаты были достигнуты благодаря внедрению технологии комбинированного масла на основе молочного и растительного сырья, позволяющей заменять молочный жир на растительный (Ф.А. Вышемирский E. Mann, L. Stor и др.). Эта технология отвечает мировым тенденциям увеличения доли потребления растительных масел, снижения доли животных жиров и сокращения трофических цепей в сторону аутотрофных организмов.
По известной технологии производства комбинированного масла методом сбивания сливочно-растительной смеси трудно прогнозировать и контролировать массовую долю составных частей молока, особенно фосфолипидов и других биологически активных веществ, которые удаляются вместе с пахтой.
Разработанные ранее технологии производства мороженого и сметаны с добавлением немолочных жиров не гарантировали сбалансированности продукта по жирнокислотному и углеводному составу.
Известны схемы приготовления сливочно-растительной эмульсии при производстве комбинированного масла, но отсутствуют рекомендации получения эмульсий смешанного типа для жидких и вязких молочных продуктов.
В процессе получения молочных продуктов из сливочно-растительной смеси недостаточно изучены механизмы стабилизации и дестабилизации оболочек жировых шариков, гомогенизации и фризерования.
Создание низколактозных молочных продуктов с регулируемым жирнокислотным составом имеет важное социальное значение. Решение этой проблемы путем регулирования углеводного состава молочных продуктов ферментацией лактозы, а их жирнокислотного состава - частичной заменой молочного жира растительными маслами является актуальным.
Цель работы – развитие теоретических основ и разработка технологий низколактозных молочных продуктов с регулируемым жирнокислотным составом.
Задачи исследования - разработать теоретические основы гидролиза лактозы молочных продуктов дрожжевой -галактозидазой и регулирования жирнокислотного состава их липидной фракции;
- разработать экспресс-метод определения степени гидролиза лактозы в молоке и молочных продуктах;
- исследовать кинетику гидролиза лактозы в молоке в присутствии дрожжевой -галактозидазы и установить основные параметры протекания процесса, обеспечивающие оперативное определение требуемых условий гидролиза;
- определить стадии внесения ферментного препарата -галактозидазы при производстве пастеризованного, стерилизованного, топленого молока, сгущенного молока с сахаром вареного, кисломолочных напитков, сметаны и мороженого;
- подобрать рафинированные дезодорированные растительные масла и поверхностно-активные вещества при производстве комбинированного масла, низколактозных сметаны и мороженого, обеспечивающие высокое качество готовых продуктов;
- обосновать режимы физического созревания сливочно-растительной смеси, позволяющие получить комбинированное масло методом ее сбивания без удаления пахты;
- исследовать физико-химический механизм процесса гомогенизации смесей с молочным и растительным жиром, механизм стабилизации и дестабилизации жировых шариков в сливочно-растительных смесях с эмульгатором;
- выбрать способ эмульгирования сливочно-растительной смеси при производстве жидких и вязких молочных продуктов с целью получения стабильной эмульсии;
- подобрать состав заквасок и установить оптимальные режимы технологического процесса для производства низколактозных кисломолочных напитков с заданными медико-биологическими свойствами и низколактозной сливочно-растительной сметаны с длительным сроком годности;
- исследовать физико-химический механизм процесса фризерования смесей, содержащих молочный и растительный жир, и установить параметры технологического процесса получения готового продукта высокого качества;
- разработать технологию и определить сроки годности новых функциональных продуктов питания;
- разработать техническую документацию на новые виды продуктов, внедрить их в производство и учебный процесс.
Научная новизна. На основании выполненных комплексных теоретических и экспериментальных исследований получены следующие научные результаты:
- установлены зависимости степени гидролиза лактозы в молоке в присутствии дрожжевой -галактозидазы от активной кислотности, концентрации фермента, температуры и продолжительности процесса гидролиза, позволяющие регулировать технологический процесс получения низколактозных молочных продуктов с заданными свойствами;
- подобраны новые комбинации культур закваски и использован природный симбиоз микроорганизмов для производства низколактозных кисломолочных напитков, обладающие множественной фармакологической активностью;
- установлены закономерности влияния состава масла, полученного методом сбивания сливочно-растительной смеси без удаления пахты, на органолептические, физико-химические, микробиологические и реологические показатели, структуру и консистенцию готового продукта;
- научно обоснован физико-химический механизм стабилизации и дестабилизации жировых шариков в эмульсиях смешанного типа; предложена математическая модель процесса гомогенизации сливочно-растительных смесей; получено уравнение, позволяющее рассчитать диаметр жировых шариков в зависимости от состава, свойств гомогенизируемой смеси и параметров процесса;
- научно обоснован состав сливочно-растительных композиций для производства комбинированного масла, низколактозной сметаны и мороженого. Определены соотношения между молочным жиром и жидкими растительными маслами, позволяющие получить продукты, приближенные по жирнокислотному составу к физиологическому идеалу;
- предложен способ приготовления эмульсии из сливочно-растительной смеси для вязких продуктов; обоснованы количество вносимых поверхностно- активных веществ, соотношение компонентов закваски, параметры технологического процесса производства продуктов с растительными маслами;
- на основании предложенной теплофизической модели процесса фризерования получена формула для определения продолжительности фризерования низколактозной сливочно-растительной смеси мороженого.
Новизна предлагаемых технических решений подтверждена авторскими свидетельствами и патентами.
Основные положения, выносимые на защиту
Теоретическое и экспериментальное обоснование разработанных технологий низколактозных молочных продуктов с регулируемым жирнокислотным составом.
Особенности использования нетрадиционных и комбинированных заквасок в производстве функциональных ферментированных молочных продуктов.
Критерии эффективности новой безотходной технологии комбинированного масла, полученного методом сбивания сливочно-растительной смеси.
Научные основы выбора состава сливочно-растительных смесей, параметров технологического процесса получения из них низколактозных кисломолочных напитков, сметаны и мороженого.
Результаты теоретического и экспериментального изучения структуры оболочек жировых шариков низколактозной сливочно-растительной смеси с использованием эмульгаторов.
Практическая значимость. На основании комплекса проведенных исследований разработана и утверждена техническая документация на низколактозное пастеризованное и стерилизованное молоко ТУ 9222-023-05300008-2000, ТУ 9222-018-05300008-99, технология внедрена на ООО «Санкт-Петербургский молочный завод «Пискаревский». На международных выставках «Российский Фермер (1998 г) и «Роспродторг» (1999 г) низколактозное молоко удостоено золотой и серебряной медалей.
Разработана и утверждена техническая документация на комбинированный молочный продукт «Масло фермерское» ТУ 9221-101-00334534-97, технология внедрена на Санкт-Петербургском ООО «Митра».
Разработана и утверждена техническая документация на сливочно-растительную сметану с длительным сроком хранения ТУ 9220-001-56298885-2001, технология внедрена на ООО «Лакто-Новгород», ОАО «Кингисеппский молочный комбинат», ОАО «Лодейнопольский молочный завод». На выставке МНТК в 2001г «Низкотемпературные и пищевые технологии 21 века» сливочно-растительная сметана отмечена грамотой.
Разработана и утверждена техническая документация на производство мороженого с использованием растительных масел ТУ 9226-126-00419762-04, технология внедрена на Санкт-Петербургском ООО «Рекондор-Мороженое», ООО «Талосто-Волхов» Ленинградской области.
Предложен модифицированный метод определения коэффициента поверхностного натяжения на границе раздела жидкость - жидкость. Разработан экспресс-метод определения степени гидролиза лактозы в молоке.
Результаты работы нашли применение в учебном процессе: курсовом, дипломном проектировании, учебно-исследовательской работе студентов, лабораторном практикуме, курсах лекций «Биотехнология комбинированных продуктов и аналогов», «Технология комбинированных продуктов питания», «Технология продуктов смешанного сырьевого состава» Практическая значимость результатов работы подтверждена соответствующими документами.
Апробация работы. Основные положения диссертационной работы доложены и обсуждены на всесоюзных, международных научных, научно-практических конференциях и симпозиумах: Всесоюзной конференции «Холод – народному хозяйству» (Ленинград,1991), «Экология человека: проблемы и состояние лечебно- профилактического питания» (Пятигорск , 1993), Межрегиональном семинаре «Современные технологии в пищевой промышленности» (Санкт-Петербург, 1994), Международной конференции «Проблемы и пути повышения качества пищевых продуктов, консервируемых холодом» (Санкт-Петербург, 1995), Международной конференции «Холод и пищевые производства» (Санкт-Петербург, 1996), Международной конференции «Техника и технология пищевых производств» (Могилев, 1998), Международной конференции « Ресурсосберегающие технологии пищевых производств» (Санкт-Петербург, 1998), Всероссийской конференции «Интеграция науки, производства: состояние и перспективы» (Юрга, 1999), Всероссийской конференции «Прогрессивные технологии и оборудование пищевых производств» (Санкт-Петербург, 1999), Международной конференции «Индустрия продуктов здорового питания – третье тысячелетие» (Москва, 1999), Международной конференции «Продовольственный рынок и проблемы здорового питания» (Орел, 1999), Международной специализированной выставке «Мороженое. Молочные технологии» (Санкт-Петербург, 2000), Международной конференции «Низкотемпературные и пищевые технологии в 21 веке», (Санкт-Петербург, 2001), Ш Международной специализированной выставке «Мороженое. Молочные технологии» (Санкт-Петербург, 20002), Международной конференции «Технология и техника пищевых производств» (Санкт-Петербург, 2003), Международной конференции «Перспективы производства продуктов питания нового поколения» (Омск, 2003), Международной конференции, посвященной 300-летию Санкт-Петербурга (Санкт-Петербург, 2003), Международной конференции «Проблемы пищевой инженерии и ресурсосбережения в современных условиях» (Санкт-Петербург, 2003), Российской конференции, посвященной 60 летию МГУПБ (Москва,2005), Международной конференции «Техника и технология пищевых производств», (Могилев, 2005), Московском международном конгрессе «Биотехнология: состояние и перспективы развития» и международной выставке «Мир биотехнологии», Международной конференции «Биотехнология. Вода и пищевые продукты» (Москва 2008).
Публикации. Основные положения диссертации изложены в 72 работах, в том числе 2 авторских свидетельствах, 5 патентах,1 монографии, учебном пособии с грифом УМО. Основные материалы диссертации представлены17-ю статьями в журналах, рекомендованных ВАК РФ.
Объем и структура работы. Диссертация включает 7 глав. Библиографический список состоит из 413 наименований, из них 97 иностранных источников.
Диссертация изложена на 275 страницах машинописного текста, 70 таблицах, 58 рисунках, а также 21 приложении.
Основное содержание работы
Обоснована актуальность и сформулирована краткая сущность решаемой научно-практической проблемы, обозначены цель и научные задачи исследований, их новизна, практические результаты и их ценность, теоретическая значимость работы, выделены основные положения, выносимые на защиту.
Систематизированы и обобщены современные представления теории позитивного питания и создания функциональных продуктов. Приведены статистические данные о распространенности гиполактазии среди народностей мира. Рассмотрены методы лечения больных ферментопатией. Проанализированы сведения об особенностях усвоения лактозы организмом человека и способах снижения ее содержания в молочных продуктах. Обобщены изменения, которые претерпевает лактоза при тепловом и биохимическом воздействии на нее, имеющем место при производстве молочных продуктов. Подвергнуты критическому анализу известные методы определения лактозы, показаны их достоинства и недостатки. Сделан вывод о необходимости разработки нового экспресс-метода, надежного и пригодного для массовых анализов при производстве низколактозных продуктов.
Отражены новые тенденции в производстве масла, сметаны и мороженого, влияние жирнокислотного состава жиров на здоровье человека. Представлены сведения, касающиеся структуры и качества сливочного масла, физико-химических и биохимических основ производства сметаны, факторов, влияющих на образование эмульсий. Обобщены современные представления о физическом механизме гомогенизации при производстве молочных продуктов. Проанализировано влияние компонентов мороженого, параметров технологического процесса, кристаллизации смесей мороженого на показатели качества мороженого. Проведенный системный анализ имеющейся информации позволил уточнить и конкретизировать цели и задачи исследований и внедрение их результатов.
Приведена схема исследований (рис. 1), охарактеризованы объекты и методы исследований. Исследования выполнялись в творческом содружестве со специалистами: СПбГУНиПТ, ГосНИИ особо чистых биопрепаратов, кафедры органической химии СПб Химико-фармацевтической академии, НИИ ортопедии и травматологии им. Вредена, производственной лаборатории ООО «Санкт-Петербургский молочный завод «Пискаревский».
Объекты исследований: сырое, пастеризованное, топленое, стерилизованное молоко с массовой долей жира 0,05 - 4,0 %, ферментные препараты -галактозида- зы, сливки из коровьего молока, молоко обезжиренное сухое, смеси для сливочного мороженого, глюкоза, лактоза мелкокристаллическая, лабораторные закваски, приготовленные из сухих бактериальных концентратов, многоштаммовые сухие закваски прямого внесения, нетрадиционная закваска на основе природного симбиоза чайного гриба, симбиоз штаммов L.acidophilus Д 75 и Д 76, штаммы патогенных и условно патогенных микроорганизмов из коллекции ГИСК им. Тарасевича, натуральные рафинированные и дезодорированные растительные масла (подсолнечное, кукурузное, соевое, оливковое), стабилизаторы-эмульгаторы (Е 471, кремодан SE 709, стабилан-Айс, PGX-1, “Натуром”, лецифлор, мульгапрайм и др.), опытные и контрольные образцы новых продуктов.
Р

ис.1. Схема экспериментальных исследований
Методы исследований: применены стандартные органолептические, физико-химические, биохимические, микробиологические методы анализа сырья и готовых продуктов, а также модернизированный нами метод определения коэффициента поверхностного натяжения на границе раздела двух жидких фаз.
При выявлении структуры клеточной стенки штаммов L.acidophilus Д № 75 и Д № 76, а также структуры оболочек жировых шариков в сливочно-растительных смесях использовали электронный микроскоп IEM-100С (фирмы IEOL- Япония). Жирнокислотный состав новых функциональных продуктов определяли методом газожидкостной хроматографии, аминокислотный состав - на аминокислотном анализаторе Alpha-Plus (LKB, Швеция). Для определения чувствительности лактобактерий к антибиотикам использовали диски фирмы «Difco» (США). Измерения оптической плотности культур проводили на спектрофотометре СФ-46 при длине волны 600 нм в кюветах с длиной оптического пути 10 нм.
Температуру замерзания молока определяли с помощью термоэлектрического миллиосмометра МТ-2 (НПО «Буревестник»). Массовую долю лактозы в исходном молоке определяли с помощью анализатора «Милкоскан Минор» (Германия). Остаточное содержание лактозы в процессе гидролиза определяли по разработанной нами методике на базе криоскопического метода.
Статистическую обработку результатов экспериментальных данных проводили методом множественной регрессии по программе Excel - Microsoft office. При построении графиков функции подбирали по усредненным экспериментальным данным. Для подбора коэффициентов в формулах использовали метод наименьших квадратов.
Кинетика и динамика ферментативного гидролиза лактозы в молоке. Обосновано применение ферментного препарата -галактозидазы «Максилат 2000», полученного из дрожжей Kluуveromyces lactis. Низколактозные молочные продукты, полученные с использованием данного фермента, обладают лечебно-профилактическими свойствами, что подтверждено экспертным заключением Санкт-Петербургской медицинской академии им. И.И. Мечникова.
Существующие методики определения лактозы в молоке являются длительными и трудоемкими. Для определения степени ее гидролиза в молоке, а также остаточной лактозы разработана методика, предназначенная для экспресс - анализа, криоскопическим методом. Для этого были изучены свойства молока, поступающего из 20 молочных хозяйств Ленинградской области. Исследовано более 1500 проб сырого молока. Экспресс - методика определения степени гидролиза лактозы в молоке основана на изменении осмоляльности молока после превращения лактозы в глюкозу и галактозу в результате ферментации.
Расхождение между данными, полученными с помощью разработанной методики, не превышают допустимую погрешность 0,5 %. Разработанная методика зарегистрирована в реестре Госстандарта и на нее выдано свидетельство о метрологической аттестации № 2-01-057-02. Методика используется на Санкт-Петербургском молочном заводе « Пискаревский».
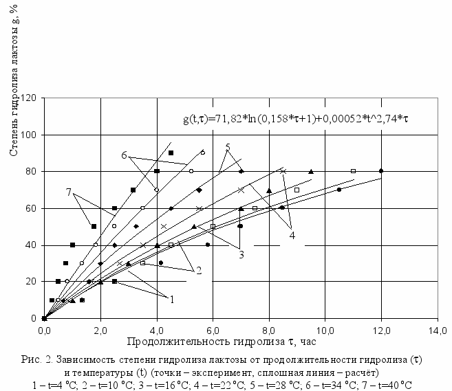
При изучении зависимости степени гидролиза лактозы от концентрации фермента установлена концентрация ферментного препарата -галактозидазы 2000 НЕЛ/г. Изучена зависимость степени гидролиза лактозы от температуры и продолжительности процесса. После математической обработки результатов экспериментов полученный массив данных позволил оперативно определить основные параметры процесса, при которых достигается требуемая степень гидролиза (рис.2).
П

редложены операционные схемы производства пастеризованного, топленого, стерилизованного молока, предусматривающие проведение гидролиза лактозы по двум вариантам. Первый - процесс ферментации совмещен с резервированием молока при температуре 4 0С в течение 12 ч. Второй вариант предусматривает ферментацию молока после его предварительной пастеризации, при этом температуру ферментации и продолжительность выбирают согласно желаемой степени гидролиза (рис 2). Количество остаточной лактозы в готовых продуктах не превышало 1,9 %.
Известно, что в процессе высокотемпературной обработки молока происходит образование меланоидинов, изменяющих его вкус и цвет. Применительно к низколактозному топленому молоку такие данные отсутствуют. Изучено влияние продуктов гидролиза лактозы на образование меланоидинов при тепловой обработке топленого низколактозного молока в сравнении с обычным топленом молоком (без ферментации). Изменение концентрации гидроксиметилфурфулола от продолжительности процесса «топления» образцов проводили в течение 4 ч при температуре 98 – 99 оС.
Низколактозное топленое молоко со степенью гидролиза 80 % имело более интенсивную кремовую окраску и ярко выраженный карамельный вкус по сравнению с обычным топленым молоком. Увеличение доли меланоидинов в низколактозном топленом молоке в сравнении с обычным топленым молоком более чем в два раза (рис 3) объясняется большей реакционной способностью галактозы и глюкозы по сравнению с лактозой. Используя в качестве сырья низколактозное молоко, можно таким образом оптимизировать процесс и сократить продолжительность топления молока до 1,5 ч, повысить эффективность использования оборудования. По результатам исследований органолептических, физико-химических и микробиологических показателей рекомендованы сроки годности: низколактозного пастеризованного и топленого молока - 5 сут при температуре 4 - 6 0С; стерилизованного – 3 мес при температуре 18 – 22 0С.
В
о избежание образования порока песчанистости в сгущенном молоке с сахаром вареном, вырабатываемом в потоке, проводили исследования на предприятии по производству консервов ЗАО «Облмолпром». В опытные образцы вносили от 0,1 до 0,3% ферментного препарата -галактозидазы активностью 2000 НЕЛ/г на разных стадиях технологического процесса при температуре не выше 40–45оС. Линейный размер и количество кристаллов лактозы определяли в свежевыработанном продукте и в процессе хранения. Образцы хранили при температуре 0 – 10 оС в течение 12 мес. Установлено, что внесение 0,2 - 0,25 % фермента на стадии охлаждения сгущенного молока с сахаром вареного при температуре 35 - 40 оС перед фасованием, позволяет значительно упростить технологический процесс и получить продукт высокого качества с длительным сроком хранения, что подтверждено актом об использовании результатов диссертационной работы и патентами № 2265339 и № 2265340.Качество и биологическая ценность кисломолочных напитков напрямую зависят от применяемых заквасок. С целью получения низколактозных кисломолочных напитков лечебно-профилактического назначения выбраны два штамма ацидофильных палочек: L. acidophilus Д 75 с высокой антагонистической активностью и L. acidophilus Д 76 с высокой адгезивной активностью. На основе подобранных штаммов создана симбиотическая закваска. Основанием служило наличие четко выраженных межштаммовых различий (формы колоний, средних размеров клеток, особенностей роста в зависимости от величины засева), а также отсутствие антагонистических отношений между штаммами.
Для определения антагонистической активности использовали патогенные и условно-патогенные штаммы из коллекции ГИСК им. Тарасевича. Было выявлено, что штаммы и закваска на их основе обладают высоким уровнем антагонистической активности, устойчивы к антибиотикам.
Известно, что пептидогликан является основным компонентом клеточной стенки грамположительных бактерий и обладает широким спектром биологической активности, главным образом в сфере гумарального и клеточного иммунитета. Методом электронной микроскопии выявлена структура клеточной стенки типичной формы L. аcidophilus при культивировании симбиоза L. acidophilus Д 75 и Д 76 в молоке (закваске) и в готовом продукте. Обнаружен слой пептидогликана толщиной 25-28 нм. Пептидогликановый слой плотно прилегает к трехслойной цитоплазматической мембране толщиной 7 - 8 нм. Цитоплазма компактно заполнена белково-рибосомальным комплексом. Концентрация клеток ацидофильных палочек в готовом продукте составила 4,0 108 КОЕ/мл, что удовлетворяет требованиям, предъявляемым к продукту функционального питания. Клинические испытания продукта, полученного с использованием закваски на основе симбиоза L. acidophilus Д 75 и Д 76, в Санкт-Петербургской медицинской педиатрической академии и детской больнице им. Святой Марии Магдалины подтвердили, что нормализуя микрофлору желудочно-кишечного тракта, продукт способствует улучшению его жизнедеятельности, повышает иммунитет организма, очищает его от шлаков и токсинов.
Для производства кисломолочных продуктов использовали также нетрадиционную закваску, приготовленную на природном симбиозе микроорганизмов настоя чайного гриба. Продукт, полученный с использованием нетрадиционной закваски, обладает лечебно-профилактическими свойствами. Это подтверждено антагонистической активностью по отношению к патогенной и условно патогенной микрофлоре (полное отмирание группы кишечной палочки Е.coli М-17 через 24 ч, при дозе инфицирования 107 в 1 см3 и стафилококков через 48 ч при дозе инфицирования 105 в 1 см3). На способ получения нетрадиционной закваски для кисломолочных продуктов получен патент № 97109743.
Для получения низколактозных кисломолочных напитков исследовали скорость ферментации молока, гидролизованного -галактозидазой. В одном случае закваску вносили в предварительно гидролизованное молоко в процессе резервирования, в другом - непосредственно с ферментом -галактозидазой. Незначительное сокращение процесса сквашивания и повышение влагоудерживающей способности в образцах с одновременным внесением фермента и закваски можно объяснить тем, что продукты ферментативного катализа активизируют заквасочную микрофлору. Содержание остаточной лактозы в контрольных образцах (без фермента) составляло 3,8 – 4,0 %; в образцах с внесением фермента 0,8 - 1,0 %.
По органолептическим показателям опытные образцы не отличались от контрольных за исключением приятного сладковатого вкуса. Сладковатый вкус обусловлен частичным гидролизом лактозы на глюкозу и галактозу, которые обладают большей сладостью, чем лактоза. В низколактозных кисломолочных напитках выявлено больше аминокислот, чем в традиционном ацидофилине. Это связано с более высокой протеолитической активностью микроорганизмов, входящих в состав заквасок, в особенности по продуцированию жизненно важных незаменимых аминокислот. На основании проведенных исследований по органолептическим, физико-химическим и микробиологическим показателям установлены сроки годности низколактозных кисломолочных напитков при температуре 4 – 6 оС до 7 сут.
Разработка новой технологии комбинированного диетического масла, полученного методом сбивания сливочно-растительной смеси без удаления пахты. Проведены исследования по подбору геометрических и динамических параметров экспериментальной установки, а именно: окружная скорость вращения мешалки сбивателя 10,4 м/с, продолжительность сбивания 80 с; окружная скорость вращения мешалки при механической обработке продукта 0,2 м/с, продолжительность механической обработки 80 с; зазор между краем лопасти рамной мешалки и стенкой цилиндра сбивания 3 мм; степень заполнения цилиндра 30 %. В промышленных условиях для сбивания смеси и механической обработки масла можно использовать различные модели существующих маслоизготовителей непрерывного действия без отвода пахты.
По результатам исследований была принята замена молочного жира растительным подсолнечным или кукурузным маслом до 30% к общему содержанию жира в продукте, так как при замене в количестве 40 % от общего содержания жира термоустойчивость готового продукта снижается в 1,5 раза, вытекание жидкого жира увеличивается на 10,3 %, поскольку снижается способность структурного каркаса удерживать жидкий жир; капли с растительным маслом не агрегируют, а образуют слой свободного жира, что приводит к увеличению степени деэмульгирования до 98,4 %.
Производство жировых продуктов, получаемых из смеси дисперсий молочного жира и немолочных жиров в молочной плазме основано на применении эмульгаторов и стабилизаторов структуры, среди которых используются с положительными результатами глицериды жирных кислот для эмульгирования жидкого жира и создания прочной дисперсной структуры в продукте. При этом продукт содержит значительно больше эмульгированного (диспергированного) жира, чем сливочное масло, что является большим достоинством комбинированного масла, поскольку повышаются его диетические свойства. Эмульгированный жир становится более доступным для усвоения организмом человека во время пищеварения, для его гидролиза требуется меньше желчных кислот.
В ходе исследований при разработке нового жирового продукта - диетического масла с комбинированным жиром был использован эмульгатор «Натуром», в состав которого входят моно – и диглицериды жирных кислот. Для изучения влияния моно – и диглицеридов на физико-химические и структурно-механические свойства комбинированного масла были выбраны опытные образцы с массовой долей «Натурома» 0,0; 0,1; 0,2;0,3; 0,4; 0,5%, в которых исследовали термоустойчивость, вытекание жидкого жира, степень деэмульгирования и предельное напряжение сдвига (рис 4, 5). При добавлении моно - и диглицеридов в масло в формировании кристаллического каркаса участвуют моно - и диглицериды высокомолекулярных насыщенных жирных кислот стеариновой и пальмитиновой с температурами плавления 89,6 и 62,9 оС. С увеличением количества глицеридов этих кислот в составе структурной сетки увеличивается температура плавления кристаллизационных контактов между глицеридами и соответственно увеличивается термоустойчивость продукта. Установлено, что термоустойчивость масла диетического с комбинированным жиром находится в прямо пропорциональной зависимости от количества «Натурома» в продукте. Так с увеличением количества эмульгатора в масле термоустойчивость увеличивается. При увеличении термоустойчивости наблюдается уменьшение количества свободного жидкого жира, вытекающего из масла, что является подтверждением зависимости этих показателей от величины поверхности раздела фаз жир/плазма и от количества термоустойчивых контактов в структурной сетке в единице объема продукта.
Степень деэмульгирования является показателем, который характеризует количество эмульгированного жира в продукте и связан с состоянием структуры масла. Применение моно - и диглицеридов стеариновой и пальмитиновой кислот способствует повышению стабильности дисперсии молочного жира.














100







90
350



80
300




70
250



60
200






50
150








40
100
0,0
0,1
0,2
0,3
0,4
0,5
Массовая доля эмульгатора, %
Рис.5. Влияние массовой доли эмульгатора "Натуром"
на показатели качества комбинированного масла

Степень деэмульгирования, %; Предельное напряжение сдвига 10-2 ПаХарактер кривой степени деэмульгирования (рис 5) свидетельствует о том, что при внесении эмульгатора в количестве 0,4 % степень деэмульгирования уменьшается до 55 %. В результате чего повышается количество эмульгированного жира в готовом продукте. Количество деэмульгированного жира коррелирует с предельным напряжением сдвига – показателем, который характеризует прочность структуры. Образующаяся структура масла с комбинированным жиром обладает меньшей прочностью, чем структура масла с традиционным составом. При внесении в смесь эмульгатора в количестве 0,4 % увеличивается число центров кристаллизации глицеридов и число коагуляционных контактов в единице объема продукта, вследствие чего масло становится пластичным. Повышению пластичности масла способствует также наличие жидкого жира в дисперсном состоянии. Жировые шарики с жидким растительным и молочным жиром, расположенные в тонких прослойках дисперсионной среды между твердыми частицами жира, легко деформируются при механическом воздействии, поэтому служат смазкой, снижая сопротивление между твердыми частицами, поэтому значение коэффициента тиксотропности приближается к единице (табл 1). Это свидетельствует о том, что структура масла комбинированного диетического имеет смешанную коагуляционно - кристаллизационную структуру с преобладанием коагуляционной.
Таблица 1 - Значения коэффициента тиксотропности при градиенте скорости 3,0 с-1 в зависимости от массовой доли эмульгатора «Натуром»
| Массовая доля эмульгатора «Натуром», % | 0, 0 | 0, 10 | 0, 20 | 0, 30 | 0, 40 | 0, 50 |
| Значения коэффициента тиксотропности | 1, 67 | 1, 47 | 1, 39 | 1, 22 | 1, 10 | 1, 08 |
Р

азмер, форма и свойства образуемых кристаллоагрегатов и степень отвердевания жира в целом в процессе физического созревания сливок и растительной смеси зависят, главным образом, от жирнокислотного состава, режимов охлаждения и продолжительности выдержки. С целью установления продолжительности физического созревания смеси с комбинированным жиром при температуре 4 °С в весенне-летний период года и 8 0С в осеннее - зимний проведены наблюдения за ходом отвердевания глицеридов - контрольного (с молочным жиром) и опытного (смеси с комбинированным жиром) образцов с массовой долей жира 52 % (рис 6).
Рис 6. Изменение температуры контрольного и опытного образцов сливок в
зависимости от продолжительности выдержки
1 - контрольный образец , 3 - опытный - начальная температура образцов 4оС;
2 - контрольный образец; 4 - опытный - начальная температура образцов 8 оС.
| t1() = 0, 86Ln(1 + 5, 14) + 4; | t3 () = 0, 66Ln(1 + 3, 31 ) + 4; |
| t2 () = 0, 60Ln(1 + 2, 40 ) + 8; | t4 () = 0, 60Ln(1 + 1, 14 ) + 8 |
Как показали исследования по изучению скорости кристаллизации глицеридов в сливках и сливочно-растительных смесях, кривые изменения температуры характеризуют общие закономерности кристаллизации триглицеридов молочного жира. Образование твердой жировой фазы сопровождается выделением теплоты, поэтому процессы отвердевания обнаруживаются по экзотермическим эффектам. Скорость и степень отвердевания молочного жира зависят от содержания в нем ненасыщенных жирных кислот. Молочный жир с пониженным содержанием ненасыщенных жирных кислот отвердевает быстрее.
Замедление процесса кристаллизации глицеридов в сливочно-растительной смеси связано с тем, что в них содержатся больше ненасыщенных жирных кислоты меньший диаметр жировых шариков. По данным С. С. Гуляева-Зайцева, чем меньший размер жировых шариков, тем больше степень переохлаждения требуется для достижения одинакового содержания твердого жира в них в сравнении с крупными.
Исходя из проведенных исследований, рекомендованы следующие режимы физического созревания сливочно-растительной смеси: в весенне-летний период года - при температуре 4 ± 1°С, продолжительность выдержки не менее 7 ч; в осенне-зимний период года - при температуре 8 ± 1°С, продолжительность выдержки не менее 10 ч.
Полученные данные жирнокислотного состава опытного и контрольного образцов свидетельствуют о том, что в комбинированном масле жирнокислотный состав наиболее приближен к составу идеального жира. Показатели качества готового продукта представлены в табл 2.
Таблица 2 - Показатели качества комбинированного масла
| Показатели | Характеристика |
| Массовая доля жира, % не менее | 52,0 |
| в т.ч. немолочного | 15,6 |
| Массовая доля СОМО, % не менее | 4,5 |
| Массовая доля влаги, % не более | 43,5 |
| Вкус и запах | Характерный для сливочного масла, допускается легкий привкус растительного масла |
| Консистенция и внешний вид | Пластичная, однородная по всей массе. Поверхность на разрезе сухая с наличием одиночных мелких капелек влаги. Допускается слегка мягкая. |
| Цвет | Светло-желтый, однородный по всей массе |
| Термоустойчивость, у.е. | 0,88 ± 0,05 |
| Вытекание жидкого жира, % | 5,5 ± 0,1 |
| Степень деэмульгирования, % | 55,0 ± 0,5 |
| Предельное напряжение сдвига, 10-2Па Па | 348,8 ± 0,5 |
| Температура плавления, °С | 29,0 ± 0,5 |
| Твердость, см/г | 50,0 ± 0,5 |
По результатам органолептических, физико-химических, микробиологических показателей установлены сроки годности комбинированного масла в потребительской таре: не более 30 сут при температуре 6 – 8 °С, не более 60 сут при температуре минус 6 – 8 °С.
Механизм гомогенизации сливочно-растительной смеси. Осуществлен выбор способа эмульгирования и параметры давления гомогенизации сливочно-растительных смесей. При производстве вязких молочных продуктов с растительными жирами необходима дополнительная операция - эмульгирование смеси. Исследованы различные способы приготовления сливочно-растительной эмульсии, применяемые в молочной промышленности по эффективности гомогенизации, которую определяли тремя методами. Наибольшая эффективность гомогенизации была получена в эмульсиях, приготовленных по двум вариантам.
Первый - в 25 - 30 % жидкой молочной фазы при температуре 60 50С вносили растительное масло (с предварительно внесенным эмульгатором), гомогенизировали при давлении Р=2,5 – 3,5 МПа, а затем полученную эмульсию вносили в оставшуюся молочную фазу и осуществляли перемешивание в течение 5 - 10 мин путем рециркуляции.
Второй - расчетное количество растительного масла с внесенным эмульгатором, нагретое до 60 5 0С, подавали на всасывающий патрубок центробежного насоса в молочную смесь и перемешивали путем рециркуляции в течение10 - 15 мин. (На способ приготовления сливочно-растительной эмульсии получен патент РФ № 2279224).
Имеется довольно большое количество работ, посвященных вопросам гомогенизации, существует ряд гипотез о природе процесса гомогенизации. Однако, до настоящего времени нет однозначных представлений о физическом механизме процесса гомогенизации жиров животного и растительного происхождения, позволяющем создать расчетные соотношения для определения диаметра жирового шарика.
Гипотеза 1. Разрыв жировых шариков происходит в момент разгона смеси перед входом в щель за счёт разности плотностей жира и воды.
Для выяснения, зависит ли диаметр жировых шариков от разности плотностей, в первом случае готовили смесь 15 % растительного (кукурузного) масла и 85 % воды, а также 15 % масла с 85 % водного раствора этилового спирта концентрацией 48 %, во втором случае плотности жира и раствора спирта были практически одинаковы (920 кг/м3). Гомогенизацию проводили при перепаде давлений 10 –12 МПа. Средний диаметр жировых шариков составлял в обоих случаях 1,5 мкм. Таким образом, разность плотностей не оказывает существенного влияния на гомогенизацию.
Гипотеза 2. Разрыв жировых капель в щели за счёт сдвигового течения. Была проведена серия экспериментов по гомогенизации сливочно-растительных смесей с массовыми долями жира 10, 20 и 30 %, вязкости которых относятся как 1:1,7:3,3. Перепад давлений гомогенизации составлял 10 - 12 МПа. Эксперименты показали отсутствие корреляции между вязкостью сливок и средним диаметром жировых шариков, который составлял во всех случаях
мкм. Гипотеза 3. Разрыв жировых шариков происходит в момент разгона смеси перед входом в щель за счёт наличия большого градиента скорости, что приводит к неравенству давлений на переднюю и заднюю части жирового шарика. Для практического применения гипотезы 3 необходимо экспериментальное значение коэффициента поверхностного натяжения на границе жир - плазма. Для определения коэффициента поверхностного натяжения использовали модернизированный нами метод, основанный на измерении капли. Капля водного раствора (обезжиренного молока), отрывалась от капилляра, погруженного в кювету с исследуемым жиром. Коэффициент поверхностного натяжения σ рассчитывали по формуле:
где d - диаметр шейки капли, м; V - объем n капель, м3; ; ρ в, ρ ж – плотность водного раствора и масла соответственно, кг/м3; g – ускорение силы тяжести.
Н

а рис 7 показаны экспериментальные данные вместе с теоретической кривой, рассчитанной по формуле : dср=4,054e-0,0973P
Экспериментальные значения совпадают с теоретическими в пределах 15 % погрешности. Однако, диаметр образующихся жировых шариков не является единственным критерием качества гомогенизации. Важным является также отсутствие гроздевидных скоплений жировых шариков, которые образуются в сливочно-растительной смеси при одноступенчатой гомогенизации; с повышением давления их количество увеличивается.
Высокая эффективность гомогенизации и отсутствие гроздевидных скоплений жировых шариков достигается двухступенчатой гомогенизацией. Для сливочно-растительной смеси с массовой долей жира 10 – 15 % давление на первой ступени 10,0- 12,0 МПа, на второй - 2,5 – 3,5 МПа; для смесей с массовой долей жира 20 – 25 % на первой ступени 8,0 – 10,0 МПа, на второй - 2,5 – 3,5 МПа.
Можно предположить, что образование гроздевидных скоплений жировых шариков в сливочно-растительных смесях происходит в виду того, что при увеличении давления уменьшается средняя кинетическая энергия и длина пробега жировых шариков, поэтому они слипаются. На второй ступени при низком давлении увеличивается средняя кинетическая энергия и длина пробега, от соударения жировые шарики разбиваются и происходит их распределение по всему объему.
Стабилизация и дестабилизация оболочек жировых шариков в сливочно-растительных смесях. Создание композиций сливочно-растительных смесей требует рассмотрения механизма взаимодействия жировых шариков молочной и растительной природы с поверхностно-активными веществами – белками, эмульгаторами (насыщенными и ненасыщенными моно- и диглицеридами, полисорбатами и др.)
Поведение жировых шариков в сливках после гомогенизации отличается от поведения жировых шариков в сливочно-растительной смеси. Электронной микроскопией (рис 7. А, Б, С) подтверждено предположение, что при гомогенизации смеси молочного и растительных жиров в молочной плазме нативная липопротеиновая оболочка жирового шарика разрушается, при этом происходит построение новых оболочек жировых шариков из казеиновых и сывороточных белков.

(А) Контрольный образец (Б) Опытный образец с эмульгатором

(С) Опытный образец без эмульгатора
Рис 7. Ультратонкий срез жировых шариков контрольного и опытных образцов
