Многокритериальная оптимизация процессов тепловой обработки мясных полуфабрикатов при ик-энергоподводе
| Вид материала | Автореферат |
- Optimization Toolbox – Оптимизация, 780.37kb.
- «Многокритериальная оптимизация в ио», 232.16kb.
- Август октябрь Результаты исследования мясных полуфабрикатов, 252.04kb.
- Тематика курсовых работ по курсу «Проектирование автоматизированных систем», 23.01kb.
- Моделирование и оптимизация систем с распределенными параметрами, 14.61kb.
- Рабочая программа по дисциплине опд. Ф. 08 Моделирование и оптимизация, 200.55kb.
- Исследование потребительских свойств мясных полуфабрикатов из мяса уток и конины, 477.43kb.
- Моделирование и прогнозирование поврежденности объемных заготовок при осадке, 60.97kb.
- Задачи обследования: -определение уровня технической оснащенности как источников тепловой, 380.71kb.
- Программа вступительного экзамена в магистратуру по специальности 1-49 80 04 технология, 305.31kb.
Ма, Мq, Mv – изменение массовых долей биологических компонентов, соответственно аминокислот, жирных кислот, витаминов,%; t i,j - изменение температуры по слоям и по времени мясного продукта, К.
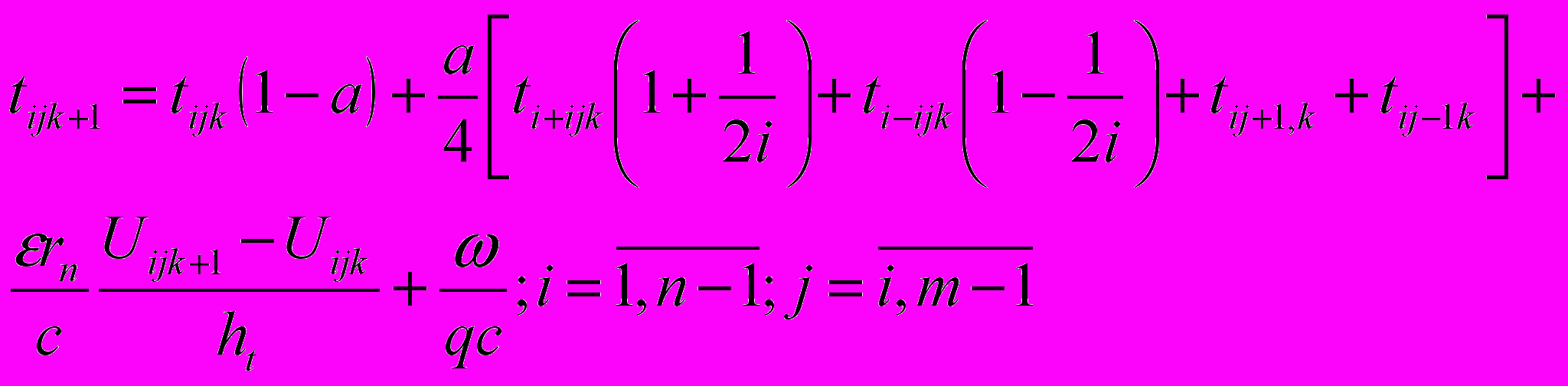
Алгоритм моделирования процессов тепломассопереноса (рис. 3, а; 3,б) на основе изложенной математической модели (1) ÷ (4) и уравнений регрессии массовых долей сводится к последовательному вычислению температурных ti,j,k, влажностных U i,j,k и параметрических полей bi,j,k, qi,j,k,
в узловых точках сетки осевого сечения цилиндра i = 0,n ; j = 0,m для k +1-го момента времени τ = k·hτ, где hτ – шаг по времени, при заданных начальных условиях t i,j,0, U i,j,0. При этом сначала по уравнениям (2) ÷ (3) определяются значения параметров в точках боковой и торцевой поверхностей и осей симметрии, после его по уравнениям (4) вычисляются параметрические поля внутри сетки, т.е. в узлах
Р


ис. 3, а. Блок-схема имитационного моделирования процесса тепло-массообмена при тепловой обработке полуфабрикатов цилиндрической формы (начало)


Рис. 3, б. Блок-схема имитационного моделирования процесса тепломассообмена при тепловой обработке мясных полуфабрикатов цилиндрической формы (окончание)
При разработке расширенной модели тепломассопереноса ячеечным методом алгоритм упрощается. По уравнениям (5) ÷ (9) определяется распределение температуры и влаги по слоям, а затем в этих же слоях изменение биологических компонентов мясного продукта.
На рис. 4 отражены результаты моделирования, отражающие изменения температуры, влаги и массовых долей биологических компонентов, на примере аминокислоты – валина методом конечных разностей на поверхности, боковой части и в центре мясного продукта ( в диссертации приведены для некоторых биологических компонентов).
а)
б)

в)

Рис. 4 . Изменения температуры, влажности и биологических компонентов на примере аминокислоты (валин) во времени в процессе тепловой обработки мясных полуфабрикатов
( а – изменение температуры греющей среды, на поверхности продукта, боковой части и в центре; б – изменение влажности на поверхности, боковой части и центре полуфабриката; в – изменение аминокислоты (валин) на поверхности, боковой части и в центре мясного полуфабриката)
Полученные результаты можно представить как «поля денатураций» белков, «поля гидролитического и окислительного распада» фракций липидов по высоте продукта и во времени, «поля аминокислот», «жирных кислот» и «витаминов». В связи с этим, вместе с существующим понятием градиента температуры нами предложены новые термины, такие как «градиент аминокислот, жирных кислот и витаминов».
Системное рассмотрение различных физико-химических и биотехнологических явлений и эффектов позволило вскрыть особенности движущих сил и тепломассообменных потоков в камере печи и обоснованно применить декомпозиционно-агрегативный принцип к построению расширенной модели 1, 2, 8 и 9-го уровней иерархии.
Закономерности денатурационных превращений индивидуальных белков существенны и зависят от денатурации в составе сложных структур, каковыми являются ткани животных. Тепловая денатурация зависит от температуры, кислотности среды (рН), продолжительности и интенсивности нагрева.
Мышечное волокно мяса состоит из саркоплазматических и миофибриллярных белков: миозина, миоглобина, актина и тропомиозина, миогена, миоальбумина, глобулина Х, актомиозина, имеющих свою собственную изоточку и температуру денатурации, в связи с этим для расчета константы скорости денатурации для каждой белковый фракции определяется с учетом ограничения по температуре и кислотности среды, при которых начинается процесс денатурации каждой индивидуальной фракции белка: миозин, актин, тропомиозин, миоглобин.
Математические описания изменения массовых долей белковых фракций мяса в процессе денатурации были разработаны на основе закона сохранения масс и представляют собой экспоненциальные зависимости изменения массовых долей денатурированных фракций белков от константы скорости денатурации и времени. Скорость денатурационных изменений получена в виде двухфакторных регрессионных уравнений, в которых за факторы приняты кислотность среды и температура.
В процессе тепловых воздействий происходят изменения липидов, глубина которых отрицательно сказывается на качественных показателях изделий, образуются свободные жирные кислоты, моно- и диглицериды, глицерин. Поэтому необходимо подобрать такие режимы тепловой обработки, при которых будет оптимальное соотношение этих компонентов.
При разработке математических описаний по изменению массовых долей фракций липидов за функцию было принято изменение массовых долей, за переменную – температура, в диапазоне t = 20 ÷ 145 ºС.
Обобщенная ячеечная математическая модель на втором иерархическом уровне анализа для элементарного объема нагреваемого тела с учетом конструктивных особенностей режима нагрева получается путем объединения регрессионных уравнений по изменению массовых долей фракционных белков, липидов, констант скоростей денатурации с математическими описаниями тепломассопереноса (7) ÷ (9) и имеет вид:
t i,j = [( q i · F·∆z · τ + λ m ·F· τ·(t i,j-1– ti,j+1) + mя· cm · zi , j· τ·(t i,j-1 – ti,j+1)] /
(2 λ m ·F· τ + mя ·cm · ∆z· τ ) ,
K1i = 0.00836 – 0,001402 . pH + 5,5 . 10-7 .
;K2i = -0,278 + 7,325 .10-2 . pH – 3,482 .10-5 .
;K3i = 2,537 .10-3 – 1,493 .10-4 . ti,j + 2,198.10-5 .
;K4i=2,537 . 10-2 – 9,172 .10-3 . pH + 3,157 . 10 -5 .
;К5i = - 0.3837 + 0.0016405 .
;К6i = - 0,966 + 0,904. рН - 0,9742 .
; ( 10 )mnдi= mисхH- (mисхH – mдH) . е -Kni·τ ;
m7 = 0,472+0,130 ·t i – 0,002 ·
;m8 = 3,52-0,179 ·ti,j + 0,004 ·
;m9 = 3,234 -0,088 ·t i,j + 0,002 ·
;m10 = 2,246 +0,033 · ti,j - 0,001·
;m11 = 2,035 + 0,02 ·
;m12 = 83,717 +0,025 · ti,j - 0,001·
;mж = - 8,5716 + 0,01714 · τ + 0,1208 ·
.где К1- К6 константы скорости денатурации актина, тропомиозина, миозина, миоглобина, нуклеиновых кислот, фермента кислой фосфатазы, %/с; mnдi – массовая доля денатурированного актина, тропомиозина, миозина, миоглобина, нуклеиновых кислот, фермента кислой фосфатазы, %; n – номер фракционного белка; mисхн – массовая доля исходного белкового компонента мяса при τ = 0, %/с; mдн – начальная массовая доля денатурированного белкового компонента при τ = 0, %; рН – кислотность среды; m7 - m12 – массовые доли фракций липидов в жире: фосфолипиды, моноглицериды, диглицериды, холестерин, свободные жирные кислоты, триглицериды, %; mЖ – массовая доля расплавленного жира, %.
Ячеечная модель не учитывает геометрию продукта и описывает изменение температуры, влагосодержания и массовых долей ингредиентов пищевой и биологической ценности продукта в отдельных точках одного измерения, давая приближенную оценку состояния процесса тепломассопереноса в элементарном слое. Поэтому ячеечный метод можно использовать для описания процессов в продуктах сложной конфигурации, например, при запекании мясных полуфабрикатов с нечеткими геометрическими формами.
В пятой главе рассматриваются вопросы моделирования технологического процесса тепловой обработки мясных полуфабрикатов и результаты комплексных экспериментальных исследований критериев эффективности процесса тепловой ИК-обработки на основе планирования и статистической обработки результатов.
На примере тепловой обработки кускового полуфабриката из говяжьей вырезки, бифштекса рубленного и мясных полуфабрикатов в тесте разработаны обобщенные модели на основе планирования эксперимента в виде греко-латинских квадратов 4х4, 5х5 и с учетом значимости частных функций:
А =1/4,075²·[(3,0625+0,201·Х1–0,008·Х²1)·(4,1125–4,8·Х2+30·Х²2)·
(-0,9625+0,124375·Х4–0,00034·Х²4)] ( 11 )
Q = 1/0,20975²·[(0,14025–0,00029·Х1+0,00039·Х²1)·(0,0395+2,472·Х2–7,4·Х²2) ·(0,49135–
0,08893·Х3+0,00639·Х²3)] ( 12 )
τ =1/12,75²·[ (8,625–0,0045·Х1+0,025·Х²1)·(2,5+143,5·Х2–45·Х²2) ·
(29,6–5,38·Х3+0,375·Х²3)] ( 13 )
П =1/17,16875³·[(21,71875–1,24525·Х1+0,005875·Х²1)·(3,10625+175,125·Х2–4,175·Х²2) ·(32,49625 – 4,82938·Х3+0,342188·Х²3) ·(–102,096 +1,379813·Х4+0,00392·Х²4)] ( 14 )
где А – органолептическая оценка, балл; Q – энергозатраты на процесс, кВт·ч/кг; τ – продолжительность ИК-обработки, мин; П – потери массы , %; Х1 – расстояние от образца до излучателей, см; Х2 – толщина образца, мм; Х3 – плотность теплового потока, кВт/м²; Х4 – начальная температура в камере, º С.
Оптимальный переменный режим ИК-обработки с двухсторонним обогревом для говяжьего бифштекса рубленного выведен из полиноминальных зависимостей с учетом критериев значимости каждой функции на основе разработанных обобщенных уравнений:
Y1 = [(20,24 – 1,9414 · Х1 + 0,13928 · Х12) · (98,799 – 48,958 · Х2 + 10,139 ·
Х2 2 – 0,8854 · Х2 3+ 0,0276 · Х2 4) · (40,76 – 2,5414 · Х3 +0,0607 · Х3 2) ·
(21,32 – 0,03 · Х4) · (13,748 – 0,32 · Х5 + 0,1214 · Х2)] /14,324 ( 15 )
Y2 = [(0,1852 + 0,2215 · Х1 - 0, 051 · Х1 2+ 0,0031· Х13)·( –4,088+2,624 · Х2 – 0,545 · Х2 2+ 0,0477 · Х2 3- 0,00149· Х2 4 ) · (–14,21 + 2,02· Х3 – 0,0926 · Х3 2+ 0,00139 · Х3 3) · (2 – 0, 017 · Х4 + 0,000044 · Х42) · (0,36 + 0,02 · Х5 + 0,026 · Х5 2 – 0,001 · Х5 3 – 0,0017· Х54 )]/0,3874 ( 16 )
Y3 =[(4,858–0,019 · Х1) · (4,64 + 0,012 6 · Х2 ) · ( 5,03–0,013· Х3 ) · (2,32 + 0,0244 · Х4 – 0,0000607 · Х4 2 ) · (4,7 + 0,00033 · Х5 + 0,032 · Х52 –
0,00058 · Х5 3– 0,00197 · Х5 4 )] /4,744 4 ( 17 )
Y4 = [(45,6 – 5,59 · Х1 + 0,464 · Х12) · (35,6 – 0,39 · Х2 ) · (411,67 – 54,19 · Х3 + 2,55 · Х3 2 -0,039 · Х3 3) ·(5,73· 10-7+6,74·10-7·Х4+6,66·10-7Х42 +4,42 · 10-5Х43 – 3,32 · 10-7· Х44+ 6,59·10-8· Х45) · (31,68 – 0,32 · Х5 + 0,09 · Х5 2)]/32,484 ( 18 )
где Y1 – продолжительность тепловой обработки, мин; Y2 – энергетические затраты, кВт·ч/кг; Y3 – органолептическая оценка, балл; Y4 – потери массы, %; Х1 – плотность теплового потока на 1- й стадии, кВт/м2; Х2 – плотность теплового потока на 2-й стадии, кВт/м2; Х3 – толщина образца, мм; Х4 – начальная температура в камере, °С; Х5 – начальная температура продукта, °C.
Критерии значимости: tr1 = 4,29; tr2 = 6,84; tr3 = 6,75; tr4 = 7,59 подтверждают адекватность полученных обобщенных регрессионных уравнений.
По разработанным режимам ИК-обработки кусковых полуфабрикатов из говяжьей вырезки и модельных фаршевых систем, включающих компоненты растительного происхождения, были проведены физико-химические исследования, результаты которых приведены в табл. 2 – 5.
Определение аминокислотного состава проводили у 4-х образцов кускового мяса из вырезки говяжьего мяса 1 категории, влажностью 66,6 %, имеющей широкое кулинарное назначение: 1-й образец – воздействие ИК-энергии на расстоянии 20 см от излучателей; 2-й – 10 см; 3-й – 5 см; 4-й – СВЧ-нагрев.
Таблица 2
Аминокислотный состав белков мяса, % от белка
| Аминокислота | I вариант ИК-нагрев 20 см до излучателя | II вариант ИК-нагрев 10 см до излучателя | III вариант ИК-нагрев 5 см до излучателя | IV СВЧ-нагрев (µ=2450 МГц) |
| Аспарагин | 2,21 | 2,13 | 1,86 | 0,44 |
| Тирозин | 5,39 | 2,61 | 6,26 | 1,74 |
| Серин | 0,79 | 1,87 | 1,18 | 0,41 |
| Глутамин | 8,94 | 1,90 | 1,53 | 0,60 |
| Пролин | 2,69 | 3,07 | 5,18 | 0,61 |
| Глицин | 1,36 | 1,29 | 3,62 | 0,50 |
| Аланин | 1,13 | 1,73 | 3,20 | 0,40 |
| Цистин | - | 2,12 | 1,75 | 0,53 |
| Гистидин | 1,13 | 4,15 | 1,71 | 1,46 |
| Аргинин | 3,93 | 3,92 | 19,98 | 2,00 |
| Заменимые аминокислоты | 27,57 | 24,79 | 46,27 | 8,69 |
| Валин | 1,22 | 3,81 | 2,76 | 1,47 |
| Метионин | 0,49 | 2,08 | 2,01 | 1,14 |
| Изолейцин | 1,15 | 2,14 | 1,66 | 0,92 |
| Лейцин | 2,9 | 2,08 | 1,96 | 1,03 |
| Фенилаланин | 3,83 | 2,92 | 6,14 | 1,59 |
| Лизин | 1,34 | 1,9 | 5,58 | 0,86 |
| Треонин | 0,49 | 1,88 | 1,43 | 0,42 |
| Незаменимые аминокислоты | 11,42 | 16,81 | 21,54 | 7,43 |
| Всего | 38,99 | 41,6 | 67,81 | 16,12 |
Из табл. 2 следует, что сумма незаменимых аминокислот составляет: 1 образец – 11,42 %; 2 – 16,81 % ; 3 – 21,54 % ; 4 – 7,43 % , в III варианте содержание незаменимых аминокислот таких как лизин, фенилаланин больше; во II – сохраняются из незаменимых аминокислот больше треонин – 1,88 %, по сравнению с другими режимами, валин – 3,81 %, метионин – 2,08 %, изолейцин – 2,14 %, лейцин – 2,08 %, фенилаланин – 2,92 %. Таким образом, оптимальным, с точки зрения сохранения незаменимых аминокислот, является третий вариант ИК-нагрева.
Таблица 3
Состав жирных кислот, %
| Кислота | Образец 1 Жировая ткань говяжьего мяса до тепловой обработки | Образец 2 ИК-нагрев | Образец 3 СВЧ-нагрев |
| Лауриновая 12:0 Миристиновая 14:0 Миристолеиновая14:1 Изомиристиновая14:0 Пентадекановая 15:0 Пальмитиновая 16:0 Пальмитоминовая16:1 Маргариновая 17:0 Гептадеценовая 17:1 Изомаргариновая 17:0 Стеариновая 18:0 Олеиновая 18:1 Линолевая 18:2 Линоленовая 18:3 Другие кислоты Насыщенные Ненасыщенные | 0,3 3,2 0,9 0,9 0,4 24,1 2,3 2,2 1,7 0,8 21,7 33,7 5,4 1,9 0,5 53,6 45,9 | 1,0 3,2 1,6 1,6 0,5 19,4 3,8 2,9 2,8 1,7 19,7 28,5 7,0 5,9 0,4 50,0 49,6 | 0,4 3,2 1,0 1,0 сл, 23,3 2,5 2,3 1,6 1,2 22,4 31,2 6,1 3,6 0,2 53,8 46,0 |
Анализируя и сопоставляя результаты содержания жирных кислот до и после тепловой обработки, приведенные в табл. 3, отмечаем, что при ИК-нагреве происходит увеличение гептадеценовой, маргариновой, пальмитоминовой, изомиристиновой и лауриновой, изомаргариновой. В обоих вариантах наблюдается увеличение содержания ненасыщенных жирных кислот: линолевой и линоленовой, разница при этом составляет линолевой 0,7 % при СВЧ-нагреве, при ИК – 1,6 %, линоленовой 1,7 % при СВЧ-нагреве и 4 % – при ИК-нагреве, уменьшение олеиновой кислоты на 2,5 и 5,2 % соответственно.
Таким образом, для практической реализации наиболее приемлем ИК- нагрев в предлагаемом режиме. Готовое говяжье мясо сохраняет в максимальной степени пищевую ценность и биологические компоненты, необходимые организму человека.
Пищевая ценность продуктов характеризуется содержанием в них не только белков, жиров, углеводов, витаминов, но и макро- и микроэлементов. Анализируя результаты по определению минеральных веществ, отметим, что при ИК-нагреве содержание железа составляет 0,000648 г/100 г, при СВЧ-нагреве – 0,000626, до нагрева 0,00076; при ИК-нагреве микро- и макроэлементы сохраняются лучше, чем при СВЧ-нагреве.
С целью изучения гистологических изменений при ИК-нагреве в кусковом мясе из говяжьей вырезки были исследованы четыре образца: 1-й образец – до обработки; 2-й – после ИК-облучения в течении 5 мин; 3-й –после ИК-облучения в течении 10 мин; 4-й – после СВЧ-энергии.
В образцах до тепловой обработки (рис. 5) мышечные волокна имеют преимущественно спрямленную форму, реже встречаются волокна с умеренной низкоамплитудной извилистостью. На поперечном срезе мышечные волокна имеют более или менее округлую форму. Большинство мышечных волокон характеризуется достаточно четко выраженной поперечной исчерченностью, однако встречаются участки с преобладанием продольной исчерченности. Ядра в мышечных волокнах располагаются субсарколеммально, имеют овальную форму и отчетливо выраженный хроматин. Мышечные волокна преимущественно сохраняют свою целостность и количество поперечных трещин в них незначительное.
Между отдельными мышечными волокнами располагается нежная сеть соединительнотканных волокон и клеточный элемент эндомизий – первичный компонент каркаса мышцы. Ядра клеток соединительной ткани характеризуются преимущественно вытянутой формой. Группы мышечных волокон формируют первичные пучки, окруженные более толстой прослойкой соединительной ткани – перимизием, выраженность его в анализируемых образцах небольшая.
Форма мышечных волокон 2-го и 3-го образцов (рис. 6, 7) сохраняется аналогичной исходному контрольному образцу и может быть как линейной, так и слабо извитой. В одних участках (преимущественно) может выявляться поперечная исчерченность, в то время как в других – продольная. Количество поперечно-щелевидных нарушений целостности мышечных волокон увеличивается в прямой зависимости от близости к элементам термического воздействия. Увеличение времени воздействия также приводит к интенсификации деструктивных процессов в мышечной ткани. Ядра мышечных волокон и клеток соединительной ткани сохраняют структурные особенности кускового мяса до тепловой обработки.

Рис. 5. Мышечная ткань вырезки говяжьего мяса до тепловой обработки
Рис. 6. Воздействие Ик–энергии на мышечную ткань (q=7,8 ÷8,2 кВт/м 2, λ =1,1 мкм), увеличение – х25
Форма мышечных волокон в образце спрямленная или извитая, причем деформированных волокон больше, чем в предыдущих образцах.
Ядерные структуры практически не проявляются. Значительная часть мышечных волокон фрагментируется и характеризуется большим количеством нарушений целостности сарколеммы, поперечно-щелевидных разрывов и образованием коротких фрагментов. Длина этих фрагментов нередко меньше диаметра самих мышечных волокон.
В 4-м образце (рис. 8) элементы соединительнотканного каркаса мышцы также реагируют на тепловое воздействие: волокнистый коллагеновый компонент набухает, клеточные структуры практически исчезают и не обнаружива-
ются при исследовании в световом микроскопе. Значимого разрыхления пучков коллагена и разрывов отдельных коллагеновых волокон не обнаружено. Значительная часть мышечных волокон фрагментируется и характеризуется значительным количеством нарушений целостности сарколеммы. Таким образом, технологические температурные воздействия во 2- й и 3- й экспериментальной группах (рис. 6, 7) носят более щадящий характер по сравнению с СВЧ-воздействием.

Рис. 7. Воздействие Ик-энергии на мышечную ткань
(q=12 кВт/м2, λ =1,1 мкм), увеличение – х40, продольный срез
Рис. 8. Воздействие СВЧ-нагрева на мышечную ткань (частота 2450 мГц) (увеличение – х25)
Были исследованы микроструктура модельной фаршевой системы, включающая компоненты растительного происхождения. При качественном анализе системы были выявлены мышечные волокна умеренно изогнутые, с отчетливо выраженной исчерченностью, с редкими поперечными трещинами и разрывами. Клеточные ядра достаточно дифференцированы и имеют типичную структуру. Жировая ткань обнаруживается в незначительном количестве ассоциировано с фрагментами рыхлой соединительной ткани. Помимо животных компонентов в составе фарша присутствуют растительные добавки, крупные частицы слоев ламинарии, фрагменты моркови, клюквы и частицы вкусо-ароматических растительных компонентов (рис. 9).
Частицы ламинарии характеризуются различной клеточной структурой в зависимости от того, где данный фрагмент был локализован. Основными микроструктурными признаками являются наличие целлюлозных стенок, узкоцилиндрическая форма клеток и то, что они собраны в вытянутые пучки.
В более глубоких слоях клетки мелкие, вытянуто эллиптические. В центральной зоне встречаются крупные, плохо окрашиваемые клетки с центрально расположенным достаточно плотным цитоплазматическим материалом, содержащим белковые и углеводные компоненты. Добавленные в фарш частицы ламинарии и, в меньшей степени, моркови в условиях жарки котлет изменяют свои микроструктурные характеристики, что происходит за счет значительного содержания в них растительных оболочек, осуществляющих в готовом продукте роль пищевых волокон.
В процессе ИК-обработки котлет (рис. 10,11) происходят деструктивные изменения в элементах мышечной, жировой и соединительной тканях, в меньшей степени в растительных компонентах. При этом наблюдается набухание мышечных волокон, их фрагментация и частично гомогенизация при распаде ядерных структур и фибриллярных белковых комплексов. Из продуктов деструкции образуются мелкозернистые белковые массы. Однако их количество в фаршевой системе недостаточно высокое. Образование этих масс способствует формированию характерной общей структурной компоновки. Сравнительный анализ готовых продуктов, приготовленных в разработанном режиме и СВЧ-нагревом (рис. 12) показывает, что разработанный ИК-режим носит щадящий характер.



Рис. 12. Микроструктура модельной фаршевой системы после СВЧ-нагрева (увеличение х25, частота 2450мГц)
В табл. 4 приведены результаты исследований физико-химических показателей модельных фаршевых систем, включающие компоненты растительного происхождения при технологическом режиме: начальная температура продукта 20 ºС; плотность лучистого потока q = 7,8 кВт/м². Анализируя экспериментальные данные табл. 4, можно отметить, что содержание лизина по сравнению с СВЧ-нагревом увеличивается на 0,67 % , гистидина на 0,64 % , потери глутаминовой кислоты составляет при ИК-нагреве 0,01 %, а при СВЧ-нагреве – 1,44 %, потери глицина при ИК-нагреве 0,14 % и при СВЧ-нагреве – 0,42 %, потери аспарагиновой кислоты и валина при ИК-нагреве –0,01 и 0,02 %, при СВЧ-нагреве – 0,62 и 0,45 %, потери цистина при ИК-нагреве меньше, чем при СВЧ-нагреве – 0,01 %, а при СВЧ – 0,08 %, потери триптофана остаются одинаковыми.
Исследование процесса обработки пищевых продуктов в режиме ИК- нагрева позволяет получить готовый продукт высокого качества при учете целого ряда особенностей, присущих данному виду энергоподвода.
Таблица 4
Сравнительный анализ аминокислотного состава белкового компонента модельных фаршевых систем с добавками растительного происхождения
| Аминокислота | До тепловой обработки | После СВЧ-нагрева (2450 мГц) | После ИК-нагрева q= 7,8 кВт/м², λ =1,1 мкм, Тк=180 ºС |
| Лизин | 8,48 | 7,91 | 8,58 |
| Аргинин | 3,94 | 3,72 | 3,87 |
| Гистидин | 6,24 | 5,48 | 6,12 |
| Аспарагиновая кислота | 7,91 | 7,29 | 7,90 |
| Треонин | 4,87 | 4,56 | 4,77 |
| Серин | 4,16 | 3,82 | 4,04 |
| Глутаминовая кислота | 19,11 | 17,67 | 19,10 |
| Пролин | 3,62 | 3,26 | 3,32 |
| Глицин | 4,47 | 4,05 | 4,33 |
| Аланин | 5,64 | 5,70 | 6,08 |
| Цистин | 1,16 | 1,08 | 1,15 |
| Валин | 5,15 | 4,70 | 5,13 |
| Метионин | 2,96 | 2,62 | 2,90 |
| Изолейцин | 4,85 | 4,65 | 4,87 |
| Лейцин | 8,21 | 7,66 | 8,23 |
| Тирозин | 3,49 | 3,24 | 3,50 |
| Фенилаланин | 3,99 | 3,80 | 4,08 |
| Триптофан | 0,31 | 0,30 | 0,30 |
| Массовая доля влаги,% | 76,0 | 69,80 | 68,0 |
| Массовая доля белка,% на асв | 60,4 | 66,0 | 59,7 |
