Книга первая Дж. Эдвард Морган-мл. Мэгид С. Михаил Перевод с английского
| Вид материала | Книга |
- Книга вторая Дж. Эдвард Морган-мл. Мэгид С. Михаил Перевод с английского, 11784.54kb.
- А. Конан-Дойль новоеоткровени е перевод с английского Йога Рàманантáты, 2314.23kb.
- Copyright Сергей Александровский, перевод с английского Email: navegante[a]rambler, 619.61kb.
- "книга непрестанности осириса " 177, 7373.41kb.
- Н. М. Макарова Перевод с английского и редакция, 4147.65kb.
- Трудового Красного Знамени гупп детская книга, 2911.61kb.
- Трудового Красного Знамени гупп детская книга, 2911.77kb.
- Перевод с английского: Ф. Веревин, А. и Г. Беляевы, Л. Морозова, 12365.61kb.
- Уайнхолд Б., Уайнхолд Дж. У 67 Освобождение от созависимости / Перевод с английского, 11462.2kb.
- Малиновской Софьи Борисовны Специальность: журналистика Специализация: художественный, 969.08kb.
Глава 11 М-холиноблокаторы
Ранее были рассмотрены недеполяризующие миорелаксанты, которые блокируют главным образом никотиночувствительные холинорецепторы (н-хо-линорецепторы) скелетных мышц. Эта глава посвящена фармакологии веществ, которые блокируют мускариночувствительные холинорецепторы (m-холинорецепторы). Хотя по умолчанию под холи-ноблокаторами подразумевают именно препараты последней группы, все же предпочтительно использовать точный термин — "м-холиноблокаторы". В данной главе описан механизм действия и клиническая фармакология трех наиболее распространенных м-холиноблокаторов: атропина, скопол-амина и гликопирролата. Для анестезиолога важно знание действия этих препаратов на системы кровообращения, дыхания, ЦНС и ЖКТ (табл. 11-1).
Механизм действия
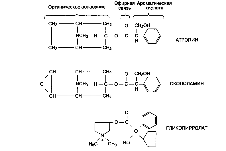
М-холиноблокаторы представляют собой сложные эфиры органического основания и ароматической кислоты (рис. 11-1). М-холиноблокаторы — конкурентные антагонисты ацетилхолина, благодаря эфирной связи в молекуле они эффективно связываются с м-холинорецепторами, препятствуя их активации. Блокада м-холинорецепторов устраняет клеточные эффекты ацетилхолина, опосредуемые вторичными мессенджерами, например циклическим гуанозинмонофосфатом (цГМФ). М-холино-рецепторы не представляют собой гомогенной
группы (так, обнаружены м1- и м2-подтипы рецепторов), поэтому их чувствительность к действию м-холиноблокаторов в разных тканях варьируется.
Клиническая фармакология
Основные сведения
При введении в обычных дозах описанные ниже м-холиноблокаторы блокируют только м-холино-рецепторы. Степень блокады зависит от исходного тонуса блуждающего нерва. М-холиноблокаторы влияют на многие системы органов.
А. Сердечно-сосудистая система. Блокада м-холинорецепторов синоатриального узла вызывает тахикардию, поэтому м-холиноблокаторы эффективно устраняют рефлекторную брадикардию при стимуляции блуждающего нерва (например, барорецепторный рефлекс, окулокардиальный рефлекс, раздражение брюшины). М-холиноблокаторы в низких дозах вызывают преходящее замедление сердечного ритма, потому что они не являются чистыми антагонистами и могут в незначительной степени стимулировать периферические м-холинорецепторы. М-холиноблокаторы облегчают проведение через атриовентрикулярный (AB) узел, что проявляется укорочением интервала P-R на ЭКГ и используется для лечения АВ-блокад на фоне повышенной активности блуждающего нерва, но иногда вызывает предсердные
ТАБЛИЦА 11-1. Эффекты м-холиноблокаторов
| | Атропин | Скополамин | Гликопирролат |
| Тахикардия Бронходилатация Седативный эффект Подавление секреции слюнных желез | +++ ++ + ++ | + + +++ +++ | ++ ++ О +++ |
| Примечание: О — нет эффекта; + — незначительный эффект; ++ — умеренный эффект; +++ — выраженный эффект. | |||

Рис. 11-1. Структуры м-холиноблокаторов
аритмии и узловые ритмы. М-холиноблокаторы очень незначительно влияют на функцию желудочков и тонус периферических сосудов, поскольку несмотря на достаточное количество холино-рецепторов эти области практически лишены прямой холинергической иннервации. В больших дозах м-холиноблокаторы вызывают расширение сосудов кожи (атропиновый прилив).
Б. Система дыхания. М-холиноблокаторы ин-гибируют секрецию желез слизистой оболочки дыхательных путей от носа до бронхов; до появления мало раздражающих слизистую оболочку ингаляционных анестетиков этот эффект был особенно важен. М-холиноблокаторы расслабляют гладкие мышцы бронхов, что снижает сопротивление дыхательных путей и увеличивает анатомическое "мертвое пространство". Этот феномен наиболее выражен при наличии хронического обструктив-ного заболевания легких и бронхиальной астмы.
В. Центральная нервная система. Различные м-холиноблокаторы в зависимости от дозы могут вызвать широкий спектр психических отклонений — от депрессии до стимуляции. Стимуляция проявляется психомоторным возбуждением, беспокойством и галлюцинациями, депрессия — седа-тивным эффектом и амнезией. Физостигмин, проникающее через гематоэнцефалический барьер антихолинэстеразное средство, устраняет действие м-холиноблокаторов на ЦНС.
Г. Желудочно-кишечный тракт. М-холиноблокаторы подавляют секрецию слюнных желез. Они также ингибируют желудочную секрецию, но для этого требуются большие дозы препаратов. Снижая двигательную и перистальтическую активность ЖКТ, м-холиноблокаторы замедляют опорожнение желудка и снижают тонус нижнего пищеводного сфинктера. М-холиноблокаторы не имеют особых преимуществ перед другими средствами при использовании их с целью профилактики аспираци-онной пневмонии (см. "Случай из практики", гл. 15).
Д. Глаза. М-холиноблокаторы вызывают мид-риаз (расширение зрачка) и циклоплегию (паралич аккомодации, глаз устанавливается на дальнюю точку видения); при системном применении острый приступ закрытоугольной глаукомы обычно не возникает.
E. Мочеполовая система. М-холиноблокаторы снижают тонус гладких мышц мочеточников и мочевого пузыря, что может привести к задержке мочи, особенно у пожилых мужчин с гипертрофией предстательной железы.
Ж. Терморегуляция. Подавление секреции потовых желез вызывает повышение температуры тела (атропиновая лихорадка).
3. Иммунологическая гиперчувствительность. Снижение внутриклеточного цГМФ создает теоретические предпосылки для применения м-холиноблокаторов для лечения реакций гиперчувстви-
тельности (аллергии), но клинически эти препараты неэффективны.
Отдельные м-холиноблокаторы
Атропин Структура
Атропин — это третичный амин, представляющий собой сложный эфир троповой кислоты (ароматическая кислота) и тропина (органическое основание). Активна натуральная левовращающая форма (L-форма), но на практике применяют синтетическую рацемическую смесь.
Доза и форма выпуска
Для премедикации атропин вводят в/м или в/в в дозе 0,01-0,02 мг/кг, обычная доза для взрослых составляет 0,4-0,6 мг. При лечении тяжелой бра-дикардии может потребоваться до 2 мг. В табл. 10-3 указаны дозы для уменьшения побочных эффектов антихолинэстеразных средств при устранении действия антидеполяризующих миорелаксантов. Атропина сульфат выпускают в растворах различной концентрации.
Применение
Атропин оказывает сильное влияние на сердце и гладкие мышцы бронхов, из всех м-холиноблокато-ров он наиболее эффективен для лечения бради-аритмий. При ИБС тахикардия, вызванная введением атропина, усугубляет ишемию миокарда из-за повышения потребности миокарда в кислороде и снижения доставки кислорода. Производное атропина, ипратропиум бромид, выпускаемое в форме дозированного аэрозоля для ингаляций, применяют для лечения бронхоспазма. Раствор ипратропиума для ингаляций (0,5 мг в 2,5 мл) особенно эффективен для лечения и профилактики приступов бронхоспазма при ХОЗЛ в сочетании с β-адреномиметиком (например, албутеролом). Несмотря на то что атропин (третичный амин) легко проникает через гематоэнцефалический барьер, в стандартных дозах он мало влияет на ЦНС. После применения атропина в послеоперационном периоде может наблюдаться легкая амнезия, а его передозировка чревата психомоторным возбуждением. В дозе 0,01-0,02 мг/кг внутримышечно атропин подавляет секрецию слюнных желез. При закрытоугольной глаукоме, гипертрофии предстательной железы и обструкции шейки мочевого пузыря атропин применяют с особой осторожностью.
Скополамин Структура
Скополамин отличается от атропина наличием дополнительного кислородного мостика в составе органического основания, которое называется скопином.
Доза и форма выпуска
Доза скополамина для премедикации идентична дозе атропина, препарат вводят в/м. Скополамина бромид выпускают в растворах, содержащих 0,3 мг, 0,4 мг и 1 мг в 1 мл.
Применение
Скополамин по сравнению с атропином сильнее подавляет секрецию слюнных желез и выраженнее действует на ЦНС. При использовании в клинических дозах обычно возникает сонливость и амнезия, хотя в некоторых случаях препарат вызывает беспокойство и делирий. Седативный эффект является дополнительным преимуществом для применения с целью премедикации, но при коротких операциях препарат затрудняет пробуждение. Скополамин используют также для профилактики укачивания в транспорте. Липофильность скополамина позволяет использовать его в виде трансдер-мальных лекарственных форм. Скополамин значительно затрудняет отток жидкости из передней камеры глаза, поэтому его не следует применять при закрытоугольной глаукоме.
Гликопирролат Структура
Гликопирролат — это синтетическая четвертичная аммониевая соль, где место троповой кислоты занимает миндальная.
Доза и форма выпуска
Гликопирролат назначают в дозах, составляющих половину от дозы атропина. Например, для премедикации вводят 0,005-0,01 мг/кг, обычная доза для взрослых равна 0,2-0,3 мг. Гликопирролат для инъекций выпускают в виде раствора, содержащего 0,2 мг/мл.
Применение
Так как четвертичная аммониевая соль не проникает через гематоэнцефалический барьер, глико-пирролат практически не оказывает влияния на
центральную нервную систему и глаза. Из всех м-холиноблокаторов гликопирролат является самым мощным ингибитором секреции слюнных желез и желез слизистой оболочки дыхательных путей. Тахикардия возникает при введении препарата в/в, но не в/м. Гликопирролат имеет большую продолжительность действия, чем атропин (2-4 ч и 30 мин после в/в инъекции соответственно).
Случай из практики: центральный антихолинергический синдром
Пожилого больного готовили к плановой энуклеации слепого болезненного глаза. Для премедикации использовали 0,4 мг скополамина в/м. В предоперационной больной стал возбужденным и дезориентированным. Из других медикаментов больной получал только глазные капли 1 % раствора атропина.
Сколько мг атропина содержится в 1 капле 1 % раствора?
В 100 мл 1 % раствора содержится 1 г растворенного вещества, в 1 мл — 10 мг. Глазные пипетки разных фирм имеют различный диаметр сопла, но в среднем 20 капель составляют 1 мл. Следовательно, в 1 капле содержится 0,5 мг атропина.
Каким образом глазные капли попадают в кровь?
Скорость всасывания через сосуды конъюнкти-вального мешка идентична скорости всасывания при подкожной инъекции. Через слизистую оболочку носослезного протока всасывание происходит еще быстрее.
Какова клиническая картина отравления м-холиноблокаторами?
При отравлении м-холиноблокаторами поражается несколько систем органов. Центральный антихолинергический синдром представляет собой расстройства со стороны ЦНС — от потери сознания до галлюцинаций. Психомоторное возбуждение и делирий у пожилого больного вполне укладываются в картину синдрома. Помимо психических отклонений наблюдаются сухость во рту, тахикардия, покраснение кожи ("атропиновый прилив"), лихорадка и нарушения зрения.
Какие препараты потенцируют действие м-холиноблокаторов и способствуют развитию центрального антихолинергического синдрома?
Трициклические антидепрессанты, противогиста-минные средства и нейролептики могут потенцировать побочные эффекты м-холиноблокаторов.
Какой препарат является специфическим антидотом при передозировке м-холиноблокаторов?
Антихолинэстеразные средства опосредованно повышают количество ацетилхолина, который конкурирует с м-холиноблокаторами за м-холинорецеп-торы. Неостигмин, пиридостигмин и эдрофоний — это четвертичные аммониевые соли, которые не проникают через гематоэнцефалический барьер. Физо-стигмин, напротив, представляет собой жирорастворимый третичный амин, легко проникающий через гематоэнцефалический барьер, поэтому его применяют для лечения центрального антихолинергического синдрома. Начальная доза составляет 0,01-0,03 мг/кг, через 15-30 мин ее можно повторить.
Отменять ли операцию в этом случае?
Энуклеация болезненного слепого глаза — это достаточно простая операция, выполняемая в плановом порядке. Одним из важнейших для плановых вмешательств является вопрос, насколько оптимально состояние больного к моменту операции. Другими словами, возможно ли, отменив операцию, назначить какое-либо лечение, которое улучшит состояние больного. Например, если передозировка м-холиноблокаторов сопровождается выраженной тахикардией, разумным будет отложить операцию. В то же время, если соматические симптомы отсутствуют, а физостигмин устранит психические расстройства, то операцию можно выполнить.
Избранная литература
Brown J. H. Atropine, scopolamine and related anti-muscarinic drugs. Chapter 8. In: Goodman and Gilman's The Pharmacological Basis of Therapeutics, 8th ed. Gilman A. G. et al. (eds). Pergamon, 1990. Механизм действия, соотношение между структурой и активностью и применение.
Katzung B. G. Cholinoreceptors-blocking drugs. Chapter 8. In: Basic and Clinical Pharmacology, 5th ed. Katzung B. G. (ed.). Appleton & Lange, 1994.
Stocking R. K. Pharmacology and Physiology in Anesthetic Practice, 2nd ed. Lippincot, 1991. -
