Великий новгород
| Вид материала | Контрольные вопросы |
Содержание2.4. Ценностный аспект нововведений и развитие конкуренции. Интеллектуальная собственность 2.4.2. Формирование конкуренции в инновационной деятельности Наукоемкость продукции |
- Отделения сбербанка, где Вы можете произвести оплату за обучение по квитанции, 6.57kb.
- Встреча туристов на ж/д вокзале г. Великий Новгород (поезд №41, прибытие в 06. 10), 135.92kb.
- В г. Великий новгород гаричева Елена Алексеевна информационная эвристика учебное пособие, 1040.61kb.
- Сообщение об опубликовании на сайте в сети Интернет годовой бухгалтерской отчетности, 18.94kb.
- Методические указания Великий Новгород 2002 удк 621. 396. 62 Печатается по решению, 191.27kb.
- Турфирма «авис» валдай великий новгород, 57.72kb.
- Н. Н. Подосокорский (Великий Новгород) Об аналогии «Наполеон-Магомет», 173.05kb.
- «Выставка Сюне Йонсона в Карелии», 62.13kb.
- Конкурс школьных сочинений «Нижегородский Кремль», 43.59kb.
- Научно-практические конференции, семинары с участием сотрудников кгкм, 72.93kb.
2.4. Ценностный аспект нововведений и развитие конкуренции.
2.4.1. Практика как определитель ценности. Интеллектуальная собственность.
Наука прямо или косвенно через технику, производство или быт влияет на человеческие потребности. Она меняет цели, идеалы и интересы людей и тем самым содействует развитию новых ценностей. В то же время наука сама относится к сфере ценностей интеллектуально развитого человека и общества в целом. Она вовлекается во все сферы практической деятельности.
Естественно, что оценить можно только вещественные проявления результатов научного поиска, которые имеют практический характер и обеспечивают конкурентоспособность продукции путем, например, использования новейших изобретений.
Интеллектуальная собственность на изобретения закрепляется патентами и лицензиями, что позволяет творческому индивидууму иметь определенные дивиденды. Именно здесь происходит слияние рационального и эмоционально-иррациональных начал, когда обладатели интеллектуальной собственности соединяют свободу выбора занятий научной и научно-практической деятельностью с трезвым расчетом экономической целесообразности. Роль интеллекта в инновационной деятельности постоянно возрастает, так как конкурентоспособность продукции все чаще зависит от ее наукоемкости. В стоимости товара увеличивается доля затрат интеллектуального, а не физического труда.
Материально-вещественную основу интеллектуальной собственности составляет интеллектуальный продукт как результат творческих усилий его создателей (отдельной личности или научного коллектива), выступающий в различных формах.
- научные открытия и изобретения;
- результаты научно-исследовательских, конструкторских, технологических и проектных работ;
- образцы новой продукции, новой техники и материалов, полученных в процессе НИОКР, а также оригинальные научно-производственные услуги;
- оригинальные консалтинговые услуги научного, технического, экономического, управленческого характера, включая сферу маркетинга;
- новые технологии, патенты и т. д.
Смысл и предназначение правового регулирования интеллектуальной собственности в широком смысле заключается в охране и стимулировании развития интеллектуального потенциала страны. Учитывая разнообразие объектов интеллектуальной собственности и требований по их охране, правовое регулирование подразделяется на ряд самостоятельных функциональных сфер: авторское право, промышленная собственность, научная собственность и др.
Авторское право представляет собой совокупность норм права, регулирующих правоотношения, связанные с созданием и использованием определенного интеллектуального продукта.
Авторское право предусматривает исключительное право автора оригинальных научных, литературных, художественных и других произведений размножать их любыми методами и продавать.
Авторское право принадлежит автору пожизненно и действует не менее 50 лет после его смерти.
Авторское право распространяется на любые творческие результаты независимо от формы, назначения и достоинств интеллектуального продукта. Это могут быть: технические описания, книги и брошюры, инструкции по эксплуатации, программная продукция, фирменные обозначения и т. д., т. е. все то, что подлежит защите против возможного недобросовестного использования и конкуренции. Сюда относятся также авторские права создателей интеллектуального продукта, добровольно переданные ими предприятию (организации, учреждению, фирме и т. д.) для использования в полную собственность.
Согласно авторскому праву объекты интеллектуальной собственности в различных формах (патентные права, ноу-хау, программная продукция и т. д.) являются предметом купли-продажи, а также могут служить паевым вкладом или частью уставного фонда предприятий (финансово-инвестиционных корпораций).
Для целей правового регулирования в законодательстве выделяются виды и типы объектов интеллектуальной собственности, требующие правовой защиты и особых форм ее осуществления. Специфика отдельно взятого объекта интеллектуальной собственности и механизм ее правовой защиты в значительной мере определяются сущностью созданного интеллектуального продукта и фазой инновационного цикла (научные исследования — разработки — производство — сбыт — потребление), на которой этот продукт был получен.
Так, интеллектуальная собственность на стадии фундаментальных и поисковых исследований выступает в форме новых научных знаний, теорий, научных открытий и т. п., объединенных понятием результата научной деятельности.
Специфическими признаками научной деятельности являются:
♦ самостоятельность, предполагающая непосредственное участие субъекта этой деятельности в создании ее результата;
♦ творческий характер, обозначающий, что данная деятельность создает результат, не имеющий на данный момент аналогов. Например, теория как интеллектуальная собственность может быть представлена в виде системы новых идей в данной области знаний. Научное открытие — это установление неизвестных ранее объективно существующих закономерностей, свойств и явлений в той или иной жизненно важной области деятельности. Прикладные исследования направлены на использование результатов фундаментальных исследований для решения практических задач. На этой стадии интеллектуальная собственность выступает в форме разнообразной научно-технической продукции.
Авторское право не распространяется на идеи, методы, процессы, системы, способы, концепции, принципы, открытия, факты (Закон РФ «Об авторском праве и смежных правах», статья 6, п. 4).
Авторское право распространяется на произведения, существующие в какой-либо объективной форме:
♦ письменной;
♦ устной;
♦ звуко- или видеозаписи;
♦ изображения (рисунок, эскиз, картина, план, чертеж и т. д.).
На письменные произведения авторское право закрепляется указанием в них знака У, после которого пишется фамилия, инициалы или наименование юридического лица, год (годы) издания. Регистрации этого знака в Российском авторском обществе не требуется (ст. 9 упомянутого Закона).
Правовое обеспечение инновационной деятельности, в том числе защита интеллектуальной собственности, осуществляется следующими нормативными актами:
1. Конвенция, учреждающая Всемирную организацию интеллектуальной собственности. Подписана в Стокгольме 14 июля 1967 г.
2. Об авторском праве и смежных правах. Закон РФ от 9 июля 1993 г. №5351-1.
3. О правовой охране программ для ЭВМ и баз данных. Закон РФ от 23 сентября 1992 г.
4. Устав Российского авторского общества (РАО). Принят 12 августа 1993 г.
5. Всемирная конвенция об авторском праве, пересмотренная в Париже 24 июля 1971 г.
6. Патентный Закон РФ от 23 сентября 1992 г. № 3517-1.
7. О товарных знаках, знаках обслуживания и наименованиях мест происхождения товаров. Закон РФ от 23 сентября 1992 г. № 3520-1.
8. О правовой охране топологий интегральных микросхем. Закон РФ от 23 сентября 1992 г. № 3526-1.
9. О порядке использования изобретений и промышленных образцов, охраняемых действующими на территории РФ авторскими свидетельствами на изобретение и свидетельствами на промышленный образец, и выплаты их авторам вознаграждения. Постановление Совета Министров — Правительства РФ от 12 июля 1993 г. № 648.
10. О порядке применения на территории РФ некоторых положений законодательства бывшего СССР об изобретениях и промышленных образцах. Постановление Совета Министров — Правительства РФ от 14 августа 1993 г. № 822.
11. Положение о порядке государственной регистрации субъектов предпринимательской деятельности. Утверждено Указом Президента РФ от 8 июля 1994 г. № 1482.
12. Положение о пошлинах за патентование изобретений, полезных моделей, промышленных образцов, регистрацию товарных знаков, знаков обслуживания, наименований мест происхождения товаров, предоставление права пользования наименованиями мест происхождения товаров. Утверждено Постановлением Совета Министров — Правительства РФ от 12 августа 1993 г. № 793.
13. Парижская конвенция по охране промышленной собственности. Принята в Париже 20 марта 1883 г., неоднократно пересматривалась, в последний раз — в Стокгольме 14 июля 1967 г. Ратифицировано Президиумом Верховного Совета СССР 19 сентября 1968 г.*
14. Законодательное обеспечение научной деятельности в РФ: Сб. нормативных актов. — М.: НЦ Госкомвуза, 1995.
15. Правовое регулирование инновационной деятельности в Высшей школе России: Методические рекомендации. — М.: НЦ Госкомвуза, 1995.
16. Проблемы творчества в сфере науки и научной деятельности. — М.: НЦ Госкомвуза, 1995.
*Права на результаты интеллектуальной деятельности. Авторское право. Патентное право. Другие исключительные права/Сборник нормативных актов. - М.: ДЕ-ЮРЕ, 1994. - 624 с.
17. Сборник нормативных актов (Рекомендации по применению порядка защиты авторских прав и прав собственности на научно-техническую продукцию в РФ при ее реализации). — Москва — Саратов: Изд-во «Росвузнаука», 1993.
2.4.2. Формирование конкуренции в инновационной деятельности
Формирование конкурентной среды в рыночных условиях хозяйствования тесно связано с дальнейшим развитием договорных отношений между субъектами инновационной деятельности. При этом конкуренция возникает в результате конкурсного выполнения исследований и разработок, когда оцениваются такие, например, составляющие инновационной деятельности, как неординарные изобретения или полезные модели.
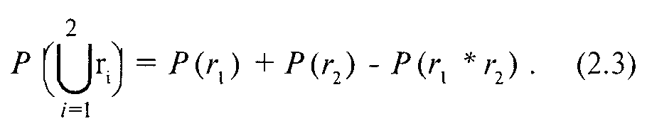
Вероятность получения положительных результатов при конкурсном решении проблемы рассчитывается по формуле сложения (объединения) событий, направленных на достижение общей цели. Так, при конкурсном выполнении работ двумя научно-техническими организациями с коэффициентами результативности r1 и r2 искомая вероятность определяется по формуле:

Расчеты показывают, что увеличение числа конкурирующих вариантов больше трех экономически нецелесообразно.
Развитие конкуренции на конкурсных началах в наукоемких отраслях промышленности дает возможность существенно повысить результативность инновационной деятельности. Организация конкурсного выполнения работ постепенно ликвидирует условия, при которых оплата труда в научно-технических организациях осуществлялась не по результатам работы, а по затратам. Конкурсы и связанная с ними конкуренция повышают наукоемкость научно-технических решений путем прямых инвестиций в создание полезных моделей и изобретательскую деятельность.
Наукоемкость продукции определяется количественно через удельный вес (долю) затрат на НИОКР в стоимости товара, а также через число изобретений, реализующих идею нового метода удовлетворения потребностей общественного производства.
В конечном итоге развитие конкуренции в инновационной деятельности приводит к горизонтальной интеграции НИОКР, что представляет собой одно из главных направлений организации инновационной активности на современном этапе развития общественного производства.
