Программа и контрольные задания по учебной дисциплине «эконометрика» для студентов заочной
| Вид материала | Программа |
- Программа и контрольные задания по учебной дисциплине «трудовое право» для студентов, 805.51kb.
- Программа и контрольные задания по учебной дисциплине «отечественная культура» для, 729.22kb.
- Программа и контрольные задания по учебной дисциплине «отечественная история» для студентов, 583.38kb.
- Программа, контрольные задания и тематика курсовых работ по учебной дисциплине основы, 557.3kb.
- Программа, методические указания и контрольные задания по учебной дисциплине «риторика», 1732.52kb.
- Программа и контрольные задания по учебной дисциплине «история экономики» для студентов, 1395.27kb.
- Программа, контрольные задания и задания по курсовому проектированию по учебной дисциплине, 1167.34kb.
- Программа, методические указания и контрольные задания по учебной дисциплине "оценка, 1129.32kb.
- Программа, контрольные задания и тематика курсовых проектов по учебной дисциплине «мировая, 1098.09kb.
- Программа и контрольные задания по учебной дисциплине, 858.36kb.

Министерство образования Российской Федерации
Государственное образовательное учреждение
высшего профессионального образования
ГОСУДАРСТВЕННЫЙ УНИВЕРСИТЕТ УПРАВЛЕНИЯ
Институт заочного обучения
Институт информационных систем управления
Кафедра прикладной математики
У т в е р ж д е н о
первым проректором ГУУ
проф. Ю.Л. Старостиным
14 февраля 2003 г.
ПРОГРАММА И КОНТРОЛЬНЫЕ ЗАДАНИЯ
по учебной дисциплине
«ЭКОНОМЕТРИКА»
для студентов заочной формы обучения специальностей
«Бухгалтерский учет, анализ и аудит»
«Национальная экономика»
«Мировая экономика»
«Финансы и кредит»
«Статистика»
Москва – 2003
УДК 51 (07)
6
Н1Программа и контрольные задания по учебной дисциплине “Эконометрика” / Сост. В.А. Колемаев; ГУУ. – М., 2003. – 12 с.
С о с т а в и т е л ь
заведующий кафедрой прикладной математики,
доктор экономических наук, профессор,
В.А. КОЛЕМАЕВ
О б с у ж д е н о
на заседании кафедры прикладной математики
23 сентября 2002 г.
О б с у ж д е н о и о д о б р е н о
на заседании методического совета
Института информационных систем управления ГУУ
26 сентября 2002 г.
© В.А. Колемаев, 2003
© ГОУВПО Государственный университет управления, 2003
1. ОрганизационнО-методические указания
Программа составлена в соответствии с требованиями Государственного образовательного стандарта высшего профессионального образования по специальностям “Бухгалтерский учет, анализ и аудит”, “Национальная экономика”, “Статистика”.
Целью преподавания дисциплины являются обучение студентов построению, идентификации и применению эконометрических моделей.
Дисциплина состоит из трех разделов (“Линейная множественная регрессия”, “Статистический анализ экономических временных рядов” и “Системы одновременных уравнений”) и изучается в течение одного семестра; минимальный объем учебного времени, необходимый для освоения дисциплины, – 114 часов.
В первом разделе изучается модель множественной линейной регрессии (методы получения оценок параметров, свойства оценок, точечное и интервальное прогнозирования по уравнению регрессии, особенности практического применения моделей регрессии, нелинейная регрессия и ее линеаризация).
Второй раздел посвящен анализу экономических временных рядов (методы выделения тренда, прогнозирование по тренду).
В третьем разделе изучаются собственно эконометрические модели как системы одновременных уравнений (структурная и приведенная формы, условия идентифицируемости, методы идентификации, прогнозирование по эконометрической модели).
Преподавание строится на сочетании лекций, консультаций и самостоятельной работы студентов. Промежуточный контроль – контрольное задание, итоговый контроль – зачет.
Для освоения дисциплины необходимо иметь фундаментальную математическую подготовку в объеме курса “Высшая математика”, прикладную математическую подготовку в объеме одноименного курса, включающего “Теорию вероятностей и математическую статистику” и “Математические методы принятия решений в экономике”, а также экономическую подготовку в объеме дисциплины “Макроэкономика”.
2. РАСПРЕДЕЛЕНИЕ ЧАСОВ ПО ТЕМАМ И ВИДАМ УЧЕБНЫХ ЗАНЯТИЙ
| Раздел и тема программы учебной дисциплины | Количество аудиторных часов | |||||||||
| Всего | по срокам обучения | |||||||||
| 3 года | 4 года | 6 лет | ||||||||
| лекции | консульт. | самост. работа | лекции | консульт. | самост. работа | лекции | консульт. | самост. работа | ||
1 | 2 | 3 | 4 | 5 | 6 | 7 | 8 | 9 | 10 | 11 |
Тема 1. Введение в эконометрику | 7/4 | 1/1 | | 6/3 | 1/1 | | 6/3 | 1/1 | | 4/2 |
| Раздел 1. Линейная множественная регрессия | ||||||||||
| Тема 2. Модель множественной линейной регрессии | 5/2 | | | 5/2 | | | 5/2 | | | 5/2 |
| Тема 3. Оценка параметров с помощью метода наименьших квадратов. Свойства МНК – оценок | 11/6 | | | 10/5 | | | 10/5 | | | 10/5 |
| Тема 4. Проверка гипотез о параметрах регрессии и модели в целом | 10/5 | | | 10/5 | | | 10/5 | | | 10/5 |
Продолжение
1 | 2 | 3 | 4 | 5 | 6 | 7 | 8 | 9 | 10 | 11 |
| Тема 5. Прогноз по регрессионной модели | 5/2 | | | 5/2 | | | 5/2 | | | 5/2 |
| Тема 6. Обобщенный метод наименьших квадратов | 5/2 | | | 5/2 | | | 5/2 | | | 5/2 |
| Тема 7. Особенности практического применения регрессионных моделей | 6/4 | | | 5/3 | | | 5/3 | | | 5/2 |
| Раздел 2. Статистический анализ экономических временных рядов | ||||||||||
| Тема 8. Выделение тренда | 8/4 | | | 8/4 | | | 8/4 | | | 8/4 |
| Тема 9. Анализ случайной составляющей, прогноз по тренду | 7/4 | | | 6/3 | | | 6/3 | | | 6/3 |
| Тема 10. Экспоненциальное сглаживание | 7/4 | | | 6/3 | | | 6/3 | | | 6/3 |
| Раздел 3. Системы одновременных уравнений | ||||||||||
| Тема 11 Эконометрическая модель | 8/4 | | | 8/4 | | | 8/4 | | | 8/4 |
| Тема 12. Условия идентифицируемости эконометрической модели | 8/4 | | | 8/4 | | | 8/4 | | | 8/4 |
| Тема 13. Идентификация эконометрической модели | 9/5 | | | 8/4 | | | 8/4 | | | 8/4 |
| Тема 14. Прогноз по эконометрической модели | 9/5 | | | 8/4 | | | 8/4 | | | 8/4 |
| Тема 15. Особенности практического применения эконометрических моделей | 9/5 | | | 8/4 | | | 8/4 | | | 8/4 |
| Итого | 114/60 | 4/4 | 2/4 | 106/52 | 6/4 | 2/2 | 106/52 | 6/8 | 4/4 | 104/50 |
| Формы контроля: промежуточный – контрольное задание, итоговый – зачет. | ||||||||||
П р и м е ч а н и е: в числителе указаны часы для специальности 060700, в знаменателе – для специальностей 060500 и 061700.
3. РЕКОМЕНДУЕМАЯ Литература
- Айвазян С.А., Мхитарян В.С. Прикладная статистика и основы эконометрики. – М.: ЮНИТИ, 1998.
- Магнус Я.Р., Катышев П.К., Пересецкий А.А. Эконометрика. Начальный курс. – М.: Дело, 2001.
- Маленво Э. Статистические методы эконометрии. – М.: Статистика, 1976.
- Колемаев В.А., Калинина В.Н. Теория вероятностей и математическая статистика. – М.: ИНФРА-М, 2001.
- Фишер Ф. Проблема идентификации в эконометрии. – М.: Статистика, 1978.
4. СОДЕРЖАНИЕ ТЕМ ПРОГРАММЫ
Тема 1. Введение в эконометрику
Задачи, объект, предмет и метод эконометрики. Эконометрическая модель Клейна. Типы уравнений и переменных модели. Свойства случайных составляющих.
Литература: [2: с. 187-209].
Вопросы для самоконтроля
- Каков экономический смысл уравнений и коэффициентов модели Клейна?
- Какие уравнения модели балансовые?
- Какие переменные модели эндогенные, экзогенные, предопределенные?
Раздел 1. Линейная множественная регрессия
Тема 2. Модель множественной линейной регрессии
Зависимая и независимые переменные, детерминированная и случайная составляющие. Коэффициенты регрессии как предельные эффективности ресурсов. Способы линеаризации нелинейных детерминированных составляющих.
Литература: [4: с. 206-230].
Вопросы для самоконтроля
- В чем причины возникновения случайной составляющей?
- Каков содержательный смысл коэффициентов регрессии?
- Приведите пример линеаризации нелинейных зависимостей в экономике.
Тема 3. Оценка параметров с помощью метода наименьших
квадратов. Свойства МНК – оценок
Пространственная и временная выборки. Метод наименьших квадратов. Система нормальных уравнений. Решение нормальных уравнений в матричной форме. Несмещенность и состоятельность МНК – оценок. Оценка дисперсии случайной составляющей.
Литература: [4: с. 206-230].
Вопросы для самоконтроля
- В чем суть метода наименьших квадратов (МНК)?
- Что такое нормальные уравнения и как их записать в матричной форме?
- Какие оценки называются состоятельными, несмещенными?
- Почему МНК – оценки несмещены?
- Как оценивается дисперсия случайной составляющей?
Тема 4. Проверка гипотез о параметрах регрессии и модели в целом
Значимость оценок коэффициентов регрессии. Последовательное уточнение модели путем исключения переменных с незначимыми оценками. Интервальные оценки коэффициентов регрессии. Оценка качества модели в целом с помощью коэффициента детерминации и F – отношения.
Литература: [4: с. 206-230].
Вопросы для самоконтроля
- Что такое расчетная и теоретическая значимости оценок?
- В чем заключается процесс последовательного уточнения модели?
- Когда модель множественной регрессии признается удовлетворительной?
Тема 5. Прогноз по регрессионной модели
Прогноз детерминированной составляющей. Несмещенность прогноза и его дисперсия. Интервальный прогноз.
Литература: [4: с. 206-230].
Вопросы для самоконтроля
- Как выполняется прогноз по регрессионной модели?
- Смещен ли точечный прогноз, какова его точность?
- Как определяется интервальный прогноз по модели?
Тема 6. Обобщенный метод наименьших квадратов
Применение обобщенного метода наименьших квадратов в случае коррелированности остатков. Свойства ОМНК – оценок.
Литература: [4: с. 228-229].
Вопросы для самоконтроля
- В чем отличие обобщенного метода наименьших квадратов от обычного?
2. Смещены ли ОМНК – оценки?
Тема 7. Особенности практического применения регрессионных
моделей
Пространственно-временная выборка. “Засоренность” наблюдений. Мультиколлинеарность и гребневая регрессия. Ложная корреляция. Авторегрессия. Регрессионно-авторегрессионные модели.
Литература: [4: с. 231-235].
Вопросы для самоконтроля
- Что такое мультиколлинеарность наблюдений?
- В чем причина ложной корреляции?
- Что Вы понимаете под “засоренностью” наблюдений?
- Как записываются авторегрессионая, регрессионно-авторегрессионная модели?
Раздел 2. Статистический анализ экономических временных рядов
Тема 8. Выделение тренда
Модель временного ряда. Эволюторная, циклическая, сезонная и случайная составляющие временного ряда. Линеаризация тренда. Полиномиальный и гармонический тренды. Оценка коэффициентов тренда по методу наименьших квадратов.
Литература: [4: с. 237-259].
Вопросы для самоконтроля
- Что такое тренд?
- Как оцениваются коэффициенты тренда определенного аналитического вида?
- Как определить коэффициенты линейного тренда?
Тема 9. Анализ случайной составляющей, прогноз по тренду
Стационарные случайные последовательности. Ковариационная функция. Оценка ковариационной функции по выборке. Критерий Дарбина-Уотсона. Точечный и интервальный прогноз по тренду с учетом свойств случайной составляющей.
Литература: [4: с. 237-259].
Вопросы для самоконтроля
- Что такое ковариационная функция?
- Как оценить ковариационную функцию стационарного случайного временного ряда?
- В чем суть критерия Дарбина-Уотсона?
- Как прогнозировать будущие значения временного ряда?
Тема 10. Экспоненциальное сглаживание
Экспоненциальное сглаживание как адаптивный метод прогноза экономических временных рядов. Оператор сглаживания. Оценка коэффициентов прогнозирующего полинома с помощью дисконтированного метода наименьших квадратов.
Литература: [4: с. 262-268].
Вопросы для самоконтроля
- Что такое оператор сглаживания?
- Как отражается на временном ряде применение оператора сглаживания?
- Что такое прогнозирующий полином?
- Можно ли определить коэффициенты прогнозирующего полинома по сглаженным значениям временного ряда?
- Как осуществляется прогноз будущих значений временного ряда с помощью метода экспоненциального сглаживания?
Раздел 3. Системы одновременных уравнений
Тема 11. Эконометрическая модель
Типы уравнений и переменных эконометрической модели. Структурная и приведенная формы. Проблема идентифицируемости. Идентификация модели и ее применение для анализа и прогнозирования.
Литература: [2: с. 187-209].
Вопросы для самоконтроля
- Какие виды уравнений и переменных эконометрической модели Вы знаете?
- Почему необходимо переходить от структурной формы к приведенной?
- В чем отличие идентифицируемости от идентификации?
- Что и как прогнозировать с помощью эконометрической модели?
Тема 12. Условия идентифицируемости эконометрической модели
Исключение балансовых равенств. Условия идентифицируемости модели в целом (условия на матрицу коэффициентов при эндогенных переменных и на матрицу наблюдений предопределенных переменных). Условия идентифицируемости отдельного уравнения.
Литература: [2: с. 187-209].
Вопросы для самоконтроля
- Каковы условия идентифицируемости модели в целом?
- Каковы условия идентифицируемости отдельного уравнения?
Тема 13. Идентификация эконометрической модели
Косвенный метод наименьших квадратов. Двухшаговый и трехшаговый методы наименьших квадратов. Свойства оценок параметров приведенной и структурной форм.
Литература: [2: с. 187-209].
Вопросы для самоконтроля
- В чем суть косвенного МНК и двухшагового МНК?
- Когда следует применять трехшаговый МНК?
Тема 14. Прогноз по эконометрической модели
Точечный прогноз по эконометрической модели с учетом свойств случайных остатков. Несмещенность прогноза и его точность. Интервальный прогноз.
Литература: [2: с. 187-209].
Вопросы для самоконтроля
- Как осуществляется точечный прогноз по эконометрической модели?
- Какова точность прогноза?
Тема 15. Особенности практического применения
эконометрических моделей
Этапы эконометрического моделирования. Уточнение модели по результатам выполнения каждого из этапов.
Литература: [2: с.187-209].
Вопросы для самоконтроля
- Каковы основные этапы эконометрического моделирования?
- В чем состоит уточнение модели?
5. КонтрольнОе заданиЕ
Исходные данные для выполнения работы приведены в Приложении. Номер варианта контрольного задания определяется по последней цифре номера зачетной книжки (табл. 1), что соответствует номеру страны в исходных данных. Исходные данные для выполнения контрольного задания приведены в табл. 2.
Контрольная работа включает 4 задания.
Задание 1. Идентификация парной линейной регрессионной зависимости между ВВП(Y) и капиталом.(К).
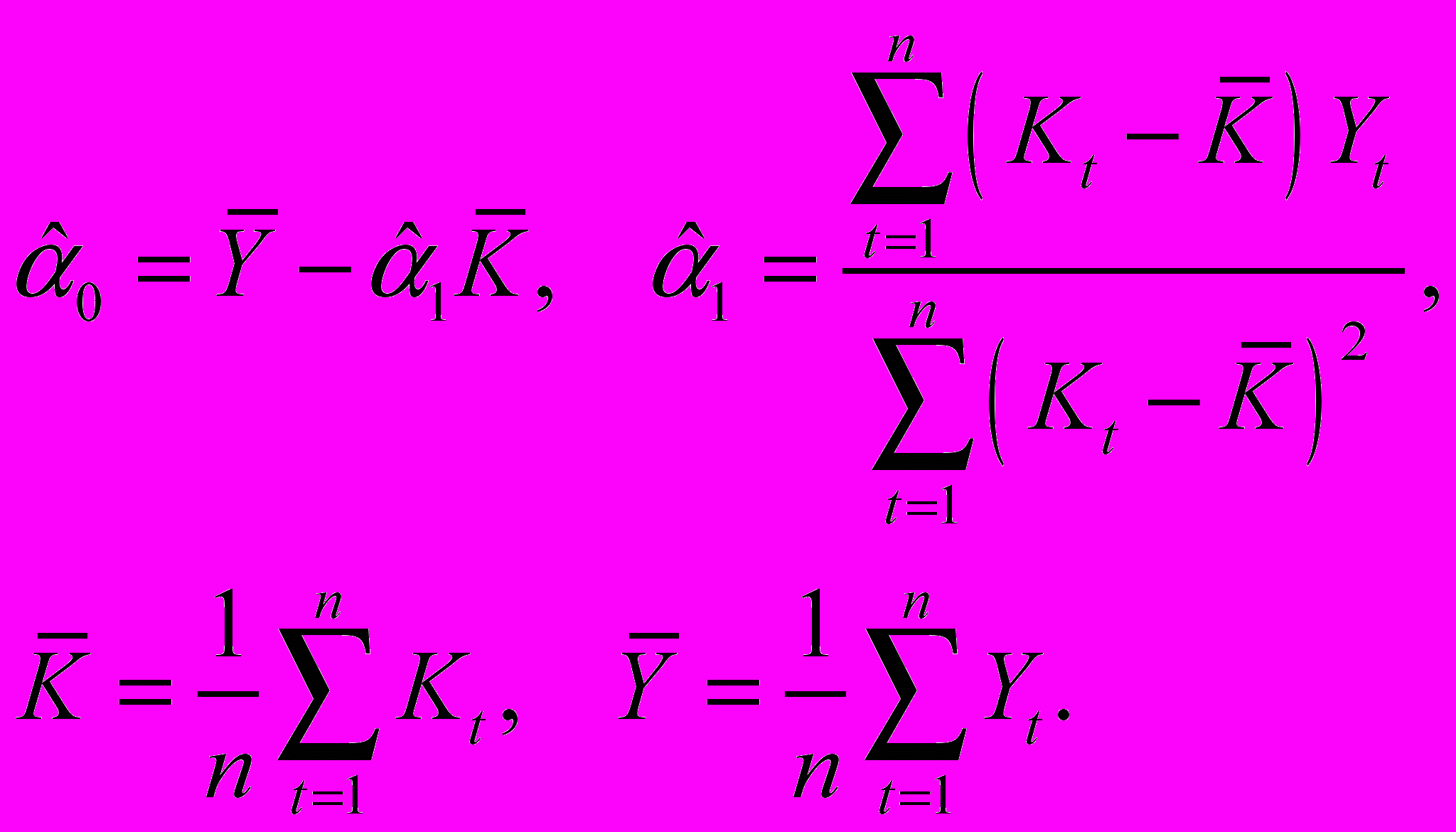
Найти оценки


коэффициентов парной линейной регрессионной модели
МНК-оценки
определяются либо с помощью компьютера путем использования научных программных продуктов (Статистика, STATGRAF и т.п.), либо путем прямого счета по формулам (n=21)
Задание 2. Идентификация линейных трендовых моделей ВВП(Y), капитала (К) и числа занятых (L) и прогноз по этим моделям.
Сначала надо найти оценки коэффициентов трендовых моделей

МНК-оценки определяются либо с помощью компьютера, либо прямым счетом по формулам

Затем с помощью найденных оценок определяются прогнозы ВВП, капитала и числа занятых на один-два года вперед

Задание 3. Идентификация функции Кобба-Дугласа и использование ее для прогноза ВВП.
Вначале надо по исходным данным найти оценки параметров производственной функции Кобба-Дугласа

При наложении на реальные данные имеем

где
– корректировочный коэффициент, колеблющийся вокруг единицы.В относительных показателях это же соотношение запишется следующим образом

где
– ВВП в расчете на одного занятого,
– фондовооруженность.В логарифмах последнее соотношение запишется как уравнение парной регрессии

Находим оценки с помощью компьютера, либо прямым счетом по формулам

Прогноз ВВП на год-два вперед получаем путем подстановки в производственную функцию найденных в задании 2 прогнозных значений капитала и числа занятых

Сравните теперь прогноз по производственной функции с прогнозами
1) по уравнению парной регрессии (задание 1)

2) по уравнению тренда (задание 2)

Все прогнозы собрать в единую таблицу:
Прогноз валового внутреннего продукта
| Способы Годы | по уравнению парной регрессии | по тренду | по производственной функции |
| на 2001 г. | | | |
| на 2002 г. | | | |
Задание 4. Характеристика эконометрической модели
Задана следующая эконометрическая модель

Дайте ответы на следующие вопросы относительно этой модели:
- Какие уравнения модели являются балансовыми?
- Какие переменные модели являются эндогенными, а какие – экзогенными?
- Есть ли в этой модели лаговые эндогенные переменные?
- Идентифицируема ли эта эконометрическая модель и, если идентифицируема, то почему?
- Как Вы бы стали применять косвенный МНК для идентификации модели?
Приложение
Таблица 1
| Последняя цифра № зачетной книжки | 1 | 2 | 3 | 4 | 5 | 6 | 7 | 8 | 9 | 0 |
| № варианта | 5 | 1 | 2 | 3 | 1 | 4 | 2 | 5 | 4 | 3 |
Исходные данные*/ для выполнения контрольного задания
Y – валовой внутренний продукт (ВВП) в млрд. долл. в ценах и по паритету покупательной способности 1995 г.,
K – основные производственные фонды, млрд. долл.,
L – численность занятых в материальном производстве, млн.чел.
Таблица 2
| № стра-ны Годы | США | КНР | Япония | РФ | Великобритания | ||||||||||
| Y | K 1992 | L | Y | K | L | Y | K | L | Y | K млрд. руб. 1983 | L | Y | K 1985 | L | |
| 1980 | 4970 | 923 | 99,3 | 675 | 110 | 423,6 | 1800 | 533 | 55,4 | 1650 | 698 | 73,3 | 800 | 446 | 22,5 |
| 1981 | 5049 | 823 | 100,4 | 682 | 118 | 430,2 | 1865 | 546 | 55,8 | 1666 | 748 | 73,6 | 869 | 460 | 22,7 |
| 1982 | 4933 | 744 | 99,5 | 753 | 141 | 435,3 | 1924 | 545 | 56,4 | 1657 | 801 | 74,0 | 893 | 470 | 22,7 |
| 1983 | 5120 | 782 | 100,8 | 859 | 169 | 446,8 | 1975 | 540 | 57,3 | 1674 | 857 | 74,4 | 917 | 474 | 22,6 |
| 1984 | 5431 | 889 | 105,0 | 259 | 201 | 458,1 | 2060 | 565 | 57,7 | 1686 | 911 | 74,8 | 898 | 480 | 22,5 |
| 1985 | 5582 | 920 | 107,2 | 1186 | 241 | 475,9 | 2163 | 594 | 58,1 | 1682 | 963 | 74,9 | 888 | 488 | 21,4 |
| 1986 | 5739 | 926 | 109,6 | 1286 | 256 | 476,3 | 2280 | 624 | 58,5 | 1667 | 1014 | 75,0 | 904 | 501 | 20,9 |
| 1987 | 5908 | 937 | 112,4 | 1536 | 338 | 484,1 | 2311 | 683 | 59,1 | 1640 | 1063 | 75,1 | 938 | 517 | 20,6 |
| 1988 | 6141 | 975 | 115,0 | 1834 | 411 | 492,6 | 2454 | 762 | 60,1 | 1663 | 1119 | 75,2 | 957 | 538 | 20,7 |
| 1989 | 6310 | 998 | 117,3 | 1908 | 478 | 501,2 | 2570 | 832 | 61,3 | 1693 | 1178 | 75,2 | 969 | 566 | 20,8 |
| 1990 | 6415 | 985 | 117,9 | 1984 | 543 | 639,1 | 2675 | 907 | 62,5 | 1725 | 1232 | 75,3 | 1050 | 601 | 20,9 |
| 1991 | 6383 | 887 | 116,9 | 2152 | 608 | 649,7 | 2787 | 946 | 63,7 | 1752 | 1274 | 73,9 | 1048 | 637 | 20,9 |
| 1992 | 6577 | 905 | 117,6 | 2443 | 675 | 660,5 | 2818 | 940 | 64,4 | 1254 | 1298 | 72,1 | 1096 | 645 | 21,1 |
| 1993 | 6639 | 976 | 119,3 | 2736 | 746 | 671,5 | 2812 | 925 | 64,5 | 1516 | 1301 | 70,9 | 1136 | 708 | 21,7 |
| 1994 | 6907 | 1039 | 122,2 | 2917 | 822 | 678,5 | 2827 | 915 | 64,5 | 1317 | 1297 | 68,5 | 1162 | 754 | 23,7 |
| 1995 | 7091 | 1054 | 125,2 | 3060 | 904 | 685,7 | 2934 | 934 | 64,6 | 1186 | 1300 | 66,4 | 1169 | 800 | 26,6 |
| 1996 | 7344 | 1103 | 127,5 | 3366 | 980 | 692,8 | 3008 | 959 | 65,2 | 1180 | 1299 | 66,0 | 1156 | 848 | 26,0 |
| 1997 | 7588 | 1126 | 130,6 | 3635 | 1056 | 625,9 | 3082 | 984 | 65,8 | 1135 | 1293 | 64,6 | 1151 | 899 | 25,5 |
| 1998 | 7913 | 1159 | 134,0 | 3908 | 1131 | 699,6 | 3156 | 1008 | 66,4 | 119 | 1287 | 63,6 | 1175 | 951 | 25,1 |
| 1999 | 8236 | 1203 | 136,9 | 4182 | 1213 | 706,5 | 3078 | 1032 | 67,0 | 1093 | 1271 | 64,2 | 1221 | 1011 | 25,3 |
| 2000 | 8585 | 1256 | 139,9 | 4425 | 1295 | 710,0 | 3000 | 1061 | 67,2 | 1085 | 1255 | 65,2 | 1230 | 1046 | 25,3 |
*/ Опорные значения ВВП за 1980, 1990, 2000 гг. взяты из книги “Мир на рубеже тысячелетий”. – М.: Изд. дом “Новый век”, 2001, остальные данные только приближенно соответствуют реальным, поскольку пересчитывались в ценах 1995 г. с помощью недостаточно точно заданных дефляторов и паритетов покупательной способности.
О
тветственность за сведения, представленные в издании, несет составитель.ПРОГРАММА И КОНТРОЛЬНЫЕ ЗАДАНИЯ
по учебной дисциплине
«ЭКОНОМЕТРИКА»
Владимир Алексеевич КОЛЕМАЕВ
Редактор Е.М. Калачева
Компьютерная верстка
и техническое редактирование А.Н. Воропаева
Тематический план изданий ГУУ 2003 г.
Подп. в печ. 14.02.2003. Формат 60х90/16. Объем 0,75 п.л.
Бумага офисная. Печать трафаретно-цифровая. Гарнитура Arial.
Уч.-изд.л. 0,43. Изд.№ 181/2003. Тираж 100 экз. Заказ № 993.
ГОУВПО Государственный университет управления
Издательский центр ГОУВПО ГУУ
109542, Москва, Рязанский проспект,99, Учебный корпус, ауд. 106
тел./факс (095) 371-95-10, e-mail: ic@guu.ru
www.guu.ru
Оригинальная версия данного документа находится на сайте www.izo.guu.ru. Документ получен из открытых источников, реквизиты правообладателей сохранены. Материалы представлены исключительно для ознакомления в учебных целях.
