Методика аналізу власного капіталу підприємства. 1 Загальна інформація про підприємство та економічний аналіз діяльності підприємства
| Вид материала | Документы |
- Формат опису модуля, 19.06kb.
- План вступ Сутність підприємства та його роль в економіці. Види підприємства та особливості, 394.96kb.
- Методика аналізу фінансового стану підприємства. Загальний аналіз фінансового стану, 1330.95kb.
- Методика аналізу фінансового стану підприємства. Загальний аналіз фінансового стану, 1343.99kb.
- Методика обліку операційних витрат та витрат від інших видів діяльності 54 Відображення, 122.37kb.
- Методичні рекомендації до виконання контрольної роботи та проведення практичних занять, 759.32kb.
- Ливою складовою навчального процесу, головним засобом якій підтверджує спосібність, 311.33kb.
- За переліком дисциплін програми підготовки бакалаврів з економіки підприємства дисципліна, 138.55kb.
- Стратегічний аналіз як генеральний план розвитку підприємства. Зміст та завдання стратегічного, 29.64kb.
- 2 Аналіз кредитного забезпечення підприємства, 93.45kb.
Показники адекватності розміщення залучених джерел капіталу ВАТ "Івано-Франківськцемент" за 2002 рік.
| Функціонуючий капітал | Сума, тис. грн. | Термін функціонування, днів | Джерела формування капіталу | Сума, тис. грн. | Сума, тис. грн. | Різниця | |
| по сумах | по термінах | ||||||
| Продуктивний | 20942 | | Власні джерела | 41597 | | 20655 | |
| У тому числі основний | 121 | 730 | | | | | |
| Оборотний | 20821 | 365 | | | | | |
| Непродуктивний | 69039 | | Залучені джерела | 48384 | | -20655 | |
| У тому числі основний | 33369 | 1,825 | у т.ч. короткострокові | 350 | 730 | -33019 | -1,095 |
| Оборотний | 35670 | 365 | довгострокові | 48034 | 127 | 12364 | -238 |
Таблиця 2.21
Ступінь впливу окремих факторів на зміну результатного показника капіталовіддачи ВАТ "Івано-Франківськцемент" за 2002 рік.
| № | Показники | На початок року | На кінець року | Зміна показника | Частка фактора, % |
| 1. | Обсяг виробленої продукції | 63088 | 87300 | +24,212 | 32.8 |
| 2. | Вартість джерел капіталу | 97744 | 89981 | -7,763 | 10.5 |
| 3. | Собівартість продукції | 49646 | 72966 | +23,320 | 31.7 |
| 4. | Вартість активної частини капіталу | 67769 | 86231 | +18,462 | 25.0 |
| 5. | Капіталовіддача | 0.93 | 1.01 | +0.08 | 100.0 |
Як бачимо на зміну результативного показника капіталовіддачи ВАТ „Івано-Франківськцемент” у 2002 році максимальний вплив завдав обсяг виробленої продукції На другому місті по впливу знаходиться собівартість виробленої продукції.
Таблиця 2.22
Аналіз впливу величини капіталу на показники фінансової стійкості ВАТ "Івано-Франківськцемент" за 2002 рік.
| Найменування коефіцієнтів | Порядок розрахунку коефіцієнтів | Фактичне значення коефіцієнтів | Установлений критерій | |
| на початок року | на кінець року | |||
| Мультиплікатор капіталу | Зобов'язання / Власні джерела капіталу | 1.17 | 1.16 | |
| Коефіцієнт автономії | Власні джерела капіталу / Загальна сума капіталу | 0.18 | 0.46 | › 0.5 |
| Коефіцієнт покриття інвестицій | Власні джерела капіталу + довгострокові зобов'язання / Загальна сума джерел капіталу | 0.66 | 0.47 | |
| Коефіцієнт забезпеченості поточних активів власними джерелами капіталу | Власний оборотний капітал / Поточні активи | 0.27 | 0.21 | › 0.1 |
| Коефіцієнт маневреності власного капіталу | Власний оборотний капітал / Власні джерела капіталу | 0.12 | 0.19 | |
| Коефіцієнт нагромадження амортизації | Амортизація основного капіталу і нематеріальних активів / Первісна вартість основного капіталу і нематеріальних активів | 0.037 | 0.042 | ‹ 0.25 |
| Коефіцієнт реальної вартості активів | Реальні активи / Загальна сума джерел капіталу | 0.69 | 0.95 | › 0.5 |
Як бачимо з наведеної таблиці підприємство є фінансово стійким, практично всі коефіцієнти знаходяться в допустимих межах. Як свідчить проведений раніше фінансово-економічний аналіз у підприємства спостерігається позитивна тенденція до покращення фінансових показників.
3. Шляхи підвищення ефективності управління власним капіталом підприємства.
3.1 Методологія аналізу структури капіталу та управління капіталом підприємства.
Як зазначалося, капітал підприємства будь-якої форми власності і виду діяльності по джерелах формування розділяється на власний і позиковий.
Під величинами власного і позикового капіталу найчастіше розуміють значення сальдо відповідних рахунків правої частини балансу. Такий "бухгалтерський" підхід до структури капіталу є традиційним серед більшості вітчизняних економістів. Дані з пасиву балансу використовуються в методиках теорії фінансового аналізу для визначення показників платоспроможності підприємства. Цей напрямок дослідження капіталу фірми досить глибоко теоретично пророблено у вітчизняній економічній науці і знайшов широке практичне використання в методах економічного аналізу.
Однак поряд зі згаданим вище підходом існує інший напрямок аналізу капіталу, що є складною і найважливішою частиною сучасної теорії фінансів. Даний напрямок пов'язаний з теоретичним дослідженням структури капіталу фірми і пошуком оптимального співвідношення власного і позикового капіталу.
Практично рішення будь-якої задачі керування капіталом фірми пов'язано з методологією аналізу структури капіталу.[42] Головними поняттями сучасної теорії фінансів є ціна і вартість капіталу. Необхідно відзначити, що наведені нижче визначення і теоретичні положення можуть застосуватися до підприємств, організованим у формі відкритих акціонерних товариств.
Ціною власного капіталу фірми називають добуток ринкової ціни акції на кількість акцій, що знаходяться в обігу:
E = S * Ns , (3.1)
де:
E - ціна власного капіталу фірми;
S - ринкова ціна однієї акції фірми;
Ns - кількість акцій фірми в обігу.
D = B * Nb , (3.2)
де:
D - ціна боргу фірми;
B - ціна 1-ої облігації, емітованої фірмою;
Nb - кількість облігацій у обігу.
Якщо визначення ціни боргу застосовувати до сучасної української дійсності, то виникають труднощі, пов'язані з тим, що практика запозичення капіталу шляхом продажу облігацій на фінансовому ринку поки дуже слабко поширена в українській економіці. Основну частину боргових зобов'язань відкритих акціонерних товариств складають банківські кредити. Тому ціною боргу можна вважати балансову вартість зобов'язань перед банком по отриманих позиках.
Загальною ціною фірми називають суму цін власного і позикового капіталу:
T = E + D , (3.3)
де:
T - загальна ринкова ціна фірми.
Коефіцієнтом структури капіталу називається відношення:
x = D / T (3.4)
де: x - коефіцієнт структури капіталу.
Крім ціни характеристикою кожного виду капіталу є вартість . Вартістю боргу називається процентна ставка, по якій нараховуються відсотки, що підлягають сплаті банку за користування кредитом. У випадку облігацій вартість боргу являє собою ставку прибутковості облігації (відмінну від купонної ставки). У загальному випадку ставка прибутковості облігації знаходиться шляхом рішення відповідного трансцендентного рівняння [42]. Припустимо, що борг корпорації складається з безстрокових облігацій і банківських позичок, тоді вартість боргу дорівнює:
kd = l / D , (3.5)
де:
kd - вартість боргу фірми;
І - величина щорічних відсотків по обслуговуванню боргу.
Вартість власного капіталу являє собою аналог процентної ставки, по якій нараховується доход чи дивіденди власникам акцій фірми. Вартість власного капіталу фірми, по визначенню, дорівнює:
ke = DІ / E , (3.6)
де:
ke - вартість власного капіталу фірми;
DІ- величина виплачених акціонерам дивідендів.
Вартість власного капіталу можна також визначити як величину очікуваного доходу (дивідендів) на 1грн. ринкової ціни акції. Щоб визначити середній доход на 1грн. ринкової ціни капіталу, що включає ціну акціонерного і позикового капіталів, необхідно знайти середньозважену із вартостей кожного виду капіталу, тобто:
ka = kd * D/T + ke * E/T. (3.7)
Показник ka називають середньою вартістю капіталу фірми. Поняття середньої вартості капіталу є одним з найголовніших у сучасній теорії фінансів.
Якщо передбачається, що весь прибуток корпорації після сплати податку на прибуток буде виплачений акціонерам у формі дивідендів на акції, то:
DІ = (1 - r) * P (3.8)
де:
P - величина прибутку корпорації;
r - ставка податку на прибуток.
Сумарний доход власників капіталу фірми буде складатися з дивідендів по акціях і відсотків, виплачених власникам боргових зобов'язань:
X = DІ + l = (1 - r) * P + l (3.9)
де: X - сумарний доход власників капіталу фірми.
Крім відсотків і дивідендів джерелом доходу власників капіталу фірми є зміни цін акцій чи боргу фірми , тобто DE і DD.
Якщо і - величини негативні, то в цьому випадку вони являють собою збиток власників капіталу.
Головною метою керування капітало фірми в капіталістичній економіці є максимізація добробуту (доходу) власників капіталу. Існують два джерела збільшення добробуту власників капіталу фірми:
1) максимізація щорічного доходу Х;
2) максимізація ціни капіталу фірми E і D.
На перший погляд вимога максимізації доходу еквівалентна умові максимізації величини X. Однак проблема полягає в тім, що X є величиною випадкової.
Капітал фірми розглядається як джерело випадкових різночасних величин:
X(1), X(2), ... X(t), ... ,
де X(t) - сумарний доход власників капіталу в році t.
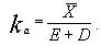
Випадкова величина X описується відповідним законом розподілу F(X) і має характеристики: математичне чекання X і дисперсію Dx. Якщо символом X позначити математичне чекання сукупного доходу після сплати податку, то з огляду на співвідношення (3.3), (3.4), (3.5), (3.6), (3.9) рівняння (3.7) можна представити в наступному виді:

Чи
(3.10) Як видно з формули (3.10), максимізація ринкової ціни капіталу еквівалентна мінімізації показника ka - середньої вартості капіталу.
Таким чином, мінімізація середньої вартості капіталу прямо випливає з критерію ефективного керування фірмою.
Мінімальна середня вартість капіталу називається оптимальної, а структура капіталу, що відповідає оптимальній середній вартості капіталу, - оптимальною структурою капіталу фірми.
Задача визначення оптимальної структури капіталу фірми полягає в перебуванні такого коефіцієнта структури капіталу x, при якому показник ka приймає мінімальне значення.
Перші роботи, присвячені проблемам визначення оптимальної структури капіталу, з'явилися в 50-і роки. Лідерами в цій області дослідження стали американські економісти. Самими яскравими по своїй оригінальності і теоретичній аргументації з'явилися статті американських учених Модільяні і Міллера - лауреатів Нобелівської премії по економіці 1986 р.
Новаторські статті Модільяні і Міллера викликали оживлену реакцію серед економістів-теоретиків і стали причиною появи багатьох робіт, у яких використовувалися положення і логіка міркувань цих учених [26,29,42]. Незважаючи на критику і зауваження, загальновизнані слабості окремих висновків теорії Модільяні і Міллера, їхні роботи 50-х років залишилися найбільш цікавими і науково аргументованими в області дослідження структури капіталу і управління ним.
В даний час сформувалися два напрямки в теорії структури капіталу: традиційний і так називаний підхід ММ (Модільяні - Міллера).
Традиційна концепція структури капіталу відрізняється ясністю і простотою теоретичних припущень, а також раціональною несуперечністю кінцевих висновків. Недоліком традиційного підходу є слабка теоретична база, що робить дану теорію слабко аргументованої в порівнянні з альтернативною коцепцією Модільяні і Міллера.
Традиційна теорія аналізу структури капіталу і теорія ММ, незважаючи на відмінність початкових положень і кінцевих висновків, засновані на сучасній теорії ціноутворення капіталу CAPM (capіtal asset prіcіng model).
Відповідно до теорії CAPM вартість (ставка прибутковості) будь-якого капіталу можна представити в наступному виді:
R = Rf + Rp , (3.11)
де:
R - вартість (ставка прибутковості) капіталу;
Rf - вартість безризикових активів;
Rp - премія за ризик.
Як вартість безризикових активів звичайно береться ставка прибутковості по державних короткострокових боргових зобов'язаннях. Премія за ризик пов'язана з властивій ринковій економіці невизначеністю у величині результату фінансово-господарської діяльності, тобто невизначеності значення одержуваного доходу. Ризик інвестицій у виробничу фірму розділяється на ризик операційний і фінансовий. Операційний ризик пов'язаний з невизначеністю обсягу продажів продукції фірми. У свою чергу фінансовий ризик виникає внаслідок наявності позикових засобів у пасивах фірми і пов'язаний з коливаннями одержуваного доходу до сплати відсотків і податку [29]. Очевидно, що з ростом боргу в зобов'язаннях фірми росте ризик неплатоспроможності і, як наслідок, буде зростати вартість боргу й акціонерного капіталу. Це буде відбиватися в рості значення премії за ризик, тобто величини . Крім поділу складових ризику з причин виникнення існує також поділ на ризик систематичний і ризик несистематичний, тобто:
Rp = Rs + Rn , (3.12)
де:
Rs - премія за систематичний ризик;
Rn - премія за несистематичний ризик.
Відповідно до визначення, систематичний ризик не усувається диверсифікованістю портфеля активів, тому називається ризиком недиверсифікуємим. Диверсифікованість портфеля активів припускає, що капітал утвориться з декількох складових. У випадку виробничої фірми активи будуть представлені капітальним майном для виробництва різних видів товарів. Кожному активу чи виду виробництва, крім систематичного, присущий ризик. Чим вище ступінь диверсифікованості чи набір вироблених товарів і послуг, тим менше буде вплив несистематичного ризику. При досить великому ступені диверсифікованості несистематичний ризик можна не враховувати. Несистематичний ризик також називають ризиком диверсифікованим, тобто ризиком, що усувається шляхом диверсифікованості.
Недиверсифікуємий (систематичний) ризик виникає внаслідок залежності ставки прибутковості капіталу фірми від руху всього ринку в цілому. Чисельно це виражається в позитивній кореляції ставки прибутковості акції й усередненої ставки прибутковості всіх акцій на ринку. Ставка прибутковості, обумовлена шляхом усереднення ставки прибутковості акцій по всім акціях, що обертаются на фондовому ринку, називається ставкою прибутковості "середньої акції" чи ставкою прибутковості ринкового портфеля. Існування систематичного ризику означає, що при зміні ставки прибутковості ринкового портфеля відбувається взаємна й односпрямована зміна ставки прибутковості акції.
Відповідно до теорії CAPM, премія за систематичний ризик визначається по формулі:
Rcі = bі * (Rm - Rf) , (3.13)
де:
Rcі - премія за систематичний ризик фірми і;
Rm - cтавка прибутковості "середньої акції";
bі - коефіцієнт, що є ризиковою характеристикою акції фірми і.
Значення коефіцієнта bі, рівне 1, означає, що і з формул (3.11), (3.12) випливає:
Rі = Rf + Rm - Rf + Rnі = Rm + Rnі,
де:
Rі- cтавка прибутковості (вартість) акціонерного капіталу фірми і;
Rnі- премія за несистематичний ризик фірми і.
Якщо номенклатура фірми досить диверсифікована, то можна зневажити несистематичним ризиком, тоді Rnі = 0 і Rі = Rm. Необхідно відзначити, що в цьому випадку bі буде являти собою середньозважену коефіцієнтів b усього портфеля активів фірми і [3]. Нехай загальні активи фірми й утворяться з активів чи проектів числом m і bіj коефіцієнт b проекту j. У цьому випадку bі буде обчислюватися по формулі:

де: kі - коефіцієнт вагомості j-ого проекту.

Як коефіцієнт вагомості j-ого проекту можна покласти відношення:
, де:
- величина активів проекту j;
- загальні активи фірми і.
Значення коефіцієнта b обчислюється на підставі статистичних даних про ставки прибутковості акцій фірми і про середню ставку прибутковості ринку. Недоліком такого методу визначення b є, по-перше, точність (оскільки погрішність оцінки неминуча) і, по-друге, стійкість результату в часі (b може сильно змінюватися в часі, тому використання раніше обчисленого значення стає практично марним). Спроби знайти аналітичне вираження для коефіцієнта b поки не принесли серйозних результатів [42].
Як було показано вище, при b=1 і достатньої диверсифікованості справедливе співвідношення Rі = Rm. Також можна показати, що при b<1 виконується нерівність Rі

Рис. 3.1. Взаємозв'язок коефіцієнта структури капіталу і вартості капіталу
При b<1 систематичний ризик фірми менше середньоринкового, при b>1 систематичний ризик фірми більше ризику "середньої акції".
Коефіцієнт структури капіталу
є показником ступеня фінансового ризику. Зі збільшенням значення x вартість позикового і власного капіталу росте. Дослідники, що розділяють традиційні погляди стверджують, що вартість (ставка прибутковості) власного капіталу фірми різко росте, починаючи з деякого значення xm (див. рис3.1). Основне припущення традиційного підходу полягає в тому, що існує таке значення коефіцієнта структури капіталу x, при якому середня вартість капіталу досягає яскраво вираженого мінімуму ( на рис.3.1 ). Відсотки по боргу відносяться на собівартість продукції і тим самим зменшують базу податку на прибуток. Наприклад, відсотки по боргу величиною І зменшують значення податку на прибуток на значення r*І. Таке зменшення податку на прибуток, унаслідок наявності боргу в капіталі фірми, називають ефектом "податкового захисту". Щоб аналітично відбити ефект "податкового захисту" з відсотків І віднімають величину зменшення податку на прибуток r*І, тобто І-r*І. Тоді вартість боргу з урахуванням ефекту "податкового захисту" буде дорівнювати:

де: krd - вартість боргу з урахуванням ефекту "податкового захисту".
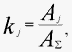
Вартість власного (акціонерного) капіталу, відповідно до традиційної теорії, визначається як відношення величини виплачених дивідендів до поточної ринкової ціні акціонерного капіталу, тобто по формулі (3.6).
Формула (3.6) застосовується за умови напрямку на виплату дивідендів усього прибутку. Якщо ж фірма утворить із прибутку фонди нагромадження, тобто не весь прибуток розподіляється на дивіденди акціонерам, то , обчислена по формулі (3.6), являє собою дуже грубу оцінку вартості акціонерного капіталу фірми.
Середня вартість капіталу визначається по формулі:
(3.14) З врахуванням формули (3.4) з (3.14) одержуємо:
(3.15) 3.2 Управління капіталом підприємства з використанням методології аналізу структури капіталу.
Розглянемо деякі приклади застосування теорії традиційного підходу до аналізу структури капіталу та управління ним, використовуючи вищенаведені формули.
Приклад №1. Припустимо, ВАТ „Івано-Франківськцемент” має розмір ринкової капіталізації Е= 700000 грн., при цьому число акцій підприємства в обігу Ns = 100000 шт. Величина боргових зобов'язань підприємства складає D=800000 грн. при середній вартості боргу kd=25%. Весь річний прибуток після сплати податків - 300000 грн. був виплачений акціонерам, тобто DІ=300000 грн. Ставка податку на прибуток r=30%.
Ціна однієї акції підприємства складає S1=E/Ns=700000/100000=7 грн.
Дивіденди на одну акцію Div1=DIV/Ns = 300000/100000 = 3 грн.
З огляду на, що DІ = (1 - r) * P1 , прибуток визначимо по формулі (3.8):
P1 = DIV / 1-r = 300000 / 1 – 0.30 = 428571 грн.
Загальна ринкова ціна підприємства складає по формулі (3.3):
Т1=E1 + D1 = 700000+800000=1500000 грн.
Вартість власного капіталу визначимо по формулі (3.6):
ka1 = DIV / E1 = 300000 / 700000 = 0.43 чи 0,43%
Відповідно до співвідношення (3.5) знайдемо відсотки по боргу:
I1 = ka1 * D1 = 0.25 * 800000 = 200 000 грн.
Коефіцієнт структури капіталу підприємства визначимо по формулі (3.4):
X1 = D1 / D1 + E1 = 800 000 / 700 000 + 800 000 = 0.53
Використовуючи формулу (3.15), знайдемо середню вартість капіталу підприємства:
ka1 = 0.43 * (1-0.53)+(1-0.35)*0.53*0.25 = 0.29
чи 29%.
Результати розрахунку прикладу №1 проілюстровані на рис.3.2 (крапка x1). Розглянемо як зміняться показники підприємства при зміні структури капіталу.
Припустимо, що правління підприємства прийняло рішення зробити емісію акцій у кількості DN=30000 шт., при цьому переслідуючи наступні цілі:
1) розширити коло акціонерів фірми;
2) скоротити частку боргу в капіталі фірми;
3) зменшити середню ставку відсотка по позикових засобах шляхом погашення більш "дорогих" кредитів за рахунок виручених від емісії акцій засобів.
Визначимо можливі результати від додаткової емісії акцій.
Доход фірми до сплати податку і відсотків дорівнює сумі прибутку і відсотків по боргу:
EBІ=P+І,
де: EBІ - очікуваний доход фірми до сплати податку і відсотків.
Припустимо, що EBІ підприємства в наступні періоди не зміниться.
Якщо - EBІ1 очікуваний доход фірми до сплати податку і відсотків у початковий момент (до додаткової емісії акцій) і EBІ2 - очікуваний доход фірми до сплати податку і відсотків у наступний момент (після додаткової емісії акцій), то EBІ1 = EBІ2 . Звідси випливає: P1 + І1 = P2 + І2.
Використовуючи дані приклада №1, знайдемо :
EBІ1 = P1 + І1 = 428571 + 200000 = 628571 (грн.).
Обсяг виручених засобів після продажу додаткової емісії акції:
Q = DN*S1 = 30000*7 = 210000 (грн.),
де S1: = 7 грн. - ринкова ціна акції.
Величина боргу після емісії акцій:
D2 = D1 - Q = 800000 - 210000 = 590000 (грн.).
Після погашення боргових зобов'язань з найвищими процентними ставками вартість боргу зменшилася до = Кd2 0,23.
Тоді відсотки по боргу складуть:
І2 = Kd2 * D2 = 0,23*590000 = 135700 (грн.).
Використовуючи рівняння EBІ2 = P2 + І2, знайдемо прибуток
P2 = EBІ2 - І2= 628571 - 135700 = 492871 (грн.).
Оскільки весь прибуток після сплати податку направляється на виплату дивідендів, то: DІ2 = (1 -r) * P2 = (1 - 0,35) * 492871 = 320366 грн.
Величина дивіденду на одну акцію підприємства після емісії:
Div2 = DIV2 / Ns1 + ∆N = 320366 / 100 000 + 30 000 = 2.46 грн.
Припустимо, що при збільшенні частки власного капіталу в загальному капіталі підприємства и як наслідок скорочення ступеня фінансового ризику, вартість власного капіталу зменшилася на 2% у порівнянні зі значенням вартості власного капіталу до емісії, тобто ke2 = ke1 - 0,02 = 0,43 - 0,02 = 0,41.
Ціну акції підприємства після емісії знайдемо з вираження:
S2 = Div2 / Ka2 = 2.46 / 0.41 = 6 грн.
Ринкова ціна акціонерного капіталу після емісії:
Е2 = S2 * (Ns1 + ∆N ) = 6 * (100 000 + 30 000) = 780 000 грн.
Загальна ціна капіталу фірми після емісії:
T2 = D2 + E2 = 780 000 + 590000 = 1370000 (грн.).
Коефіцієнт структури капіталу:
X2 = D2 / T2 = 590 000 / 1370 000 = 0.43
Cередня вартість капіталу підприємства після емісії акцій:
ka2 = 0.41 * (1-0.42) + (1-0.35)*0.42*0.23 = 0.3
чи 30%.
Результатам розрахунку приклада №2 відповідає крапка x2 на рис 3.2

Рис. 3.2 Ілюстрація конкретного приклада взаємозв'язку вартості капіталу і коефіцієнта структури капіталу
Зіставляючи значення результатів цих прикладів, можна зробити наступний прогноз про можливу зміну фінансових показників:
1. Збільшення частки власного капіталу в структурі капіталу підприємства зменшило значення коефіцієнта структури капіталу з x1 = 0,53 до x2 = 0,43. Оскільки коефіцієнт структури капіталу є показником фінансового ризику фірми, то можна сказати про скорочення фінансової складової загального ризику.
2. Зменшення фінансового ризику викликає зниження вартості боргу з kd1=0,25 до kd2= 0,23, а також зменшиться вартість власного капіталу з ke1= 0,43 до ke2= 0,41.
3. Додаткова емісія акцій і заміщення боргу власним капіталом приведе до зменшення значення дивідендів на акцію з Dіv1= 3 грн. до Dіv2= 2,46 грн. Скорочення дивідендів приведе до падіння цін на акції підприємства з P1=7 грн. до P2= 6,0 грн. чи на 8,6%.
4. Cередня вартість капіталу підприємства після емісії збільшиться з ka1= 0,29 до ka2= 0,3.
Таким чином, незважаючи на скорочення фінансового ризику і, отже, поліпшення показників платоспроможності, емісія акцій і скорочення боргу можуть викликати падіння цін на акції підприємства. У тому числі середня вартість капіталу підприємства виросте на 1%.
Правління підприємства перш ніж приймати остаточне рішення про додаткову емісію акцій повинне ознайомитися з прогнозом можливих наслідків і оцінити всі переваги і недоліки даного кроку. Звичайно, крім економічної ефективності існують політичні фактори, що впливають на прийняття рішень, і проте необхідно визначити "ціну" політичного вибору.
Безумовно, результати приведеного розрахунку носять наближений характер. У дійсності буде існувати погрішність обчислених оцінок, що буде визначати точність прогнозу. Крім того, зміна показників характеризується деяким тимчасовим процесом. На динаміку цього процесу і кінцевий результат будуть впливати різні фактори, до числа яких відносяться: політична ситуація, діяльність спекулянтів на фондовій біржі, державна податкова і кредитно-грошова політика, чекання інвесторів, ринкова кон'юнктура й ін.
Однак незважаючи на оцінний характер отриманих результатів, використана методика розрахунку вірно відбиває тенденцію зміни і дає науково обґрунтований прогноз про значення фінансових показників у майбутньому.
Висновок.
Для логічного завершення дипломної роботи зробимо й узагальнимо висновки з проблем теми, порушених у тексті роботи.
Якщо прямо відповідати на запитання "Яка роль власного капіталу у фінансовому забезпеченні діяльності підприємства?" - то відповідь буде тільки одна – власний капітал відіграє першочергову роль у фінансовому забезпеченні підприємства.
Власні фінансові ресурси для кожного підприємства є тієї життєво необхідною частиною, без якої неможлива ні робота, ні подальше існування підприємства. Не даремно, серед класифікації загального капіталу, саме розподіл на власний і позиковий капітал стоїть на першому місці.
Наявні власні засоби дозволяють підприємству використовувати їх як за своїм розсудом, так і в окремих випадках по законодавчо встановлених напрямках. Усе залежить від джерела такого фінансування за рахунок елементів власного капіталу. Розглядаючи джерела фінансування можна помітити, що:
- За рахунок статутного капіталу можна формувати ряд необоротних засобів, тобто він повинний завжди знаходитися в розпорядженні організації. Його збільшення і зменшення твердо закріплено законодавчо. Як джерело фінансування статутний капітал працює в двох випадках:
- При становленні підприємства;
- При додатковій емісії акцій чи залучення додаткових паїв.
Це означає, що як джерело фінансування статутний капітал працює досить рідко. Якщо при становленні підприємства він є основою для його організації і початку господарської діяльності, то залучення засобів на вже працюючому підприємстві переслідує визначені цілі:
- Залучення додаткового капіталу (у випадку, якщо ціна залучення засобів з інших джерел робить їх недоступними, або потрібно залучити значну кількість засобів для фінансування інвестиційного проекту);
- Зміна структури капіталу.
В останньому випадку перед керівництвом може виникнути проблема, що при новому випуску акцій (паїв) можуть відбутися істотні зміни в структурі власників, і не завжди ці зміни можуть позитивно відбитися на подальшому положенні підприємства.
- Додатковий капітал узагалі складно вважати джерелом фінансування діяльності підприємства, тому що він утвориться в основному за рахунок майна, придбаного підприємством за рахунок прибутку чи його переоцінки, а також різних надходжень, закріплених законодавством України. В основному додатковий капітал додає різницю вартості вже наявного майна і статутним капіталом. Витрату цих засобів також жорстко закріплено.
- Резервний капітал також складно розглядати як джерело фінансування, тому що напрямки його використання для окремих організацій законодавчо закріплені, для всіх інших - закріплюються установчими документами. В основному, резервний капітал використовується на покриття непередбачених збитків, втрат і виконання своїх зобов'язань, у випадку, якщо їх виконання за рахунок інших джерел неможливо.
- Фонди спеціального призначення в основному спрямовані на акумулювання коштів за рахунок чистого прибутку для фінансування цільових заходів. Вони утворяться по нормах і видам, затверджуваним власниками, вони ж затверджують і напрямки використання. Так як ці фонди, як і резервний капітал, утворяться за рахунок прибутку, те їх необхідно вважати похідними джерелами.
- Нерозподілений прибуток, як видно, є самим великим і ефективним джерелом власних засобів на підприємстві, яким воно може оперувати у своїй господарській діяльності. Однак його розмір також залежить від ряду зовнішніх і внутрішніх факторів.
- У складі резервів по залученню власного капіталу в даний час як основний елемент можна виділити доход від здачі майна в оренду. Найбільш широке застосування орендних відносини знайшли на підприємствах, на балансі яких знаходиться численне нерухоме майно, що підходить для цієї мети. Це досить негативне явище, тому що найчастіше, здача майна в оренду ведеться за рахунок скорочення виробництва і демонтажу устаткування, що знаходиться в приміщенні яке здається. Напевно керівництво таких підприємств або не бачить інших можливостей у використанні виробничих площ і устаткування, або в погоні за матеріальною вигодою завдають шкоди виробництву.
У підсумку, самим головним джерелом фінансування діяльності підприємства можна назвати нерозподілений прибуток.
Для нових підприємств головним джерелом фінансування є статутний капітал. Однак не завжди його величина реально відповідає потребі підприємства для початку своєї діяльності
Для фінансування, призначень для різних цілей, використовуються спеціальні цільові фінансові фонди, а в окремих випадках і резервний капітал.
Хотілося б виразити надію на те, що законодавчо будуть зроблені зміни реєстрації, що спрощують процедуру як, підприємства, так і додаткового залучення засобів у статутний капітал.
Приведення величини статутного капіталу до реально необхідного рівня також може допомогти створюваному підприємству почати свою статутну діяльність і підвищити довіру третіх осіб до підприємства, і як наслідок, до можливості залучення необхідних ресурсів по більш низьких цінах.
Список використаної літератури.
- Закон України „Про акціонерні товариства”
- Положення (стандарт) бухгалтерського обліку 5 "Звіт про власний капітал"
- Абалкин Л. Бегство капитала: природа, формы, методы борьбы.// Вопросы экономики, № 7, 1998 г.
- Антология экономической классики. Состав. А. Столяров. — М.: Эконов- Ключ, 1993 г.
- Афанасьев А.А. Кругооборот капитала в предприятии. — Л.: Экономическое образование, 1999 г.
- Баканов М.И., Шеремет А.Д. Теория экономического анализа. 4-е изд. -М.: Финансы и статистика, 1997 г.
- Бахчисарайцев Г.А. Первые уроки бухгалтерии на началах моей балансовой теории. –М.: МАКИЗ, 1996 г.
- Глейх Е.И. Краткий курс бухгалтерского (балансового) учета. –М.: ВСЕКЗО, 1939 г.
- Ефимов О.В. Анализ собственного капитала //Вопросы экономики, № 8, 1998 г.
- Даль В.И. Толковый словарь живого великорусского языка., т. 2, — М.: Русский язык, 1989 г.
- Дранко О. Управление капиталом. //Финансовая газета, № 42, 1998 г.
- Кальмес А. Фабричная бухгалтерия (ретроспективное издание). –М.:, МАКИЗ, 1995 г.
- Карлин Г., Макмин А. Анализ финансовых отчетов (на основе GAAP). –М.: ИНФРА-М, 1998 г.
- Ковалев В.В. Методы оценки инвестиционных проектов. –М.: Финансы и статистика, 1998 г.
- Кондраков Н.П. Бухгалтерский учет. – К., Экспо, 1998г.
- Ле-Кутре В. Основы балансоведения. –М.: МАКИЗ, 1995 г.
- Лемківський Л.М. Управління капіталом підприємства // Фінанси України, №7, 1997
- Леонтьев В. Межотраслевая экономика. –М.: Экономика, 1997 г.
- Любушин Н.А., Лещева В.Б., Дьякова В. Г. Анализ финансово-экономической деятельности предприятия. –М.: ЮНИТИ-ДАНА, 1999 г.
- Маевский В. Эволюционная теория и макроэкономика. // Вопросы экономики, № 3, 1997 г.
- Марковський С.Н. Аналіз діяльності підприємств // Економіка України, №2, 1999.
- Маркович В.М. Функціонування підприємницького капіталу // Вісник НБУ, №5, 2001
- Мун С.В Теория капитала // Экономический вестник № 2, 2000 г.
- Международный бухгалтерский учет GAAP и JAS. Справочник бухгалтера от А до Я. –М.: Дело и Сервис, 1998 г.
- Метьюс М.Р., Перера М.Х. Теорія бухгалтерського обліку. пер. с англ. — К.: Діло, 1999 г.
- Новодворский В.Д., Хорин А.Н. Балансовое обобщение как метод бухгалтерского учета. //Бухгалтерский учет, 1995 г., № 3.
- Овсійчук М.Ф., Сидельникова Л.Б. Фінансовий менеджмент: методи інвестування капіталу. - К.: Либіль, 1994 г.
- Платон. Собрание сочинений. т. 4, книга 5. – М.: Мысль, 1994 г.
- Погостинская Н.Н., Погостинский Ю.А. Системный анализ финансовой отчетности. –С.-П.: Изд. Михайлова В.А., 1999 г.
- Рощаховский А.К. Балансы акционерных обществ. С.-П., Якорь, 1995 г.
- Рудановский А.П. Построение баланса. –М.: МАКИЗ, 1966 г.
- Рудановский А.П. Теория балансового учета. –М.: МАКИЗ, 1998 г.
- Самуэльсон П. Экономика. — М.: МГП Алгон ВНИИСИ, 1992 г.
- Система бухобліку на підприємстві. Пер. с франц. –К.: Либідь, 1995 г.
- Смит А. Исследование о природе и причинах богатства народов. –М.: Экономика, 1962 г.
- Сэй Ж.-Б. Трактат политической экономии. — М.: 1896 г.
- Финансовый анализ деятельности фирмы. — М.: Ист-Сервис, 1995 г.
- Хеддервік К. Фінансово-економічний аналіз діяльності підприємств. Пер. с англ. –К.: Либідь, 1996 г.
- Хелферт Э. Техника финансового анализа. Пер. с англ. –М.: ЮНИТИ, 1996 г.
- Черняков А., Бирюкова М. Чистые активы предприятий: Учетный и оценочный подходы. //Финансовая газета, № 49, 1996 г.
- Шеремет А.Д. Комплексный экономический анализ деятельности предприятия. –М.: Экономика, 1974 г.
- Четыркин Е.М. Методы финансовых и коммерческих расчетов - М.: Финансы и статистика, 1996
Додатки.

Рис.1.2 Склад основних джерел формування власних фінансових ресурсів підприємства.

Схема 1.1





ЗАГАЛЬНІ ЗБОРИ
АКЦІОНЕРІВ ТОВАРИСТВА
ГОЛОВНИЙ
ІНЖЕНЕР
НАЧАЛЬНИК
ВИРОБНИЦТВА
ГОЛОВНИЙ
БУХГАЛТЕР
НАЧАЛЬНИК
ПЕВ.
ВІДДІЛ
МАТ. ТЕХ.
ЗАБЕСПЕЧЕННЯ
СКЛАДИ
ПОСТАЧАННЯ
ЛАБОРАТОРІЯ
ТЕХНОЛОГИ
ВИРОБНИЦ-ТВА
ГОЛОВНИЙ
ЕНЕРГЕТИК
ГОЛОВНИЙ
МЕХАНІК
МЕХАНІК
ТРАНС.
ДІЛЬНИЦІ
ІНЖЕНЕР ПО
ОП.

ГОЛОВА
ПРАВЛІННЯ
РЕВІЗІЙНА
КОМІСІЯ
СПОСТЕРЕЖНА
РАДА
НАЧАЛЬНИК
ВТЛ.
НАЧАЛЬНИК
ЗБУТУ
ТОРГІВЛЯ
ЕКСПЕДИЦІЇ
1>