Реферата по математической статистике
| Вид материала | Реферат |
СодержаниеВычисление выборочного среднего По группированной выборке |
- Дифференцированное обучение теории вероятностей и математической статистике студентов-социологов, 317.89kb.
- Обзор рекомендуемой литературы по дисциплине, 82.08kb.
- Программа дисциплины «Психогенетика» для направления 521000 Психология подготовки бакалавра, 165.5kb.
- Задачи и виды группировок Статистические ряды распределения Абсолютные показатели, 18.57kb.
- Рекомендации по структуре и содержанию реферата, 16.77kb.
- Требования к оформлению реферата, 23.11kb.
- Доклад Председателя Агентства рк по статистике А. Смаилова на расширенной коллегии, 348.3kb.
- Элементы математической логики, 189.46kb.
- Агентства Республики Казахстан по статистике обеспечить в установленном закон, 71.87kb.
- К написанию реферата для поступающих в аспирантуру, 436.81kb.
Методический материал для выполнения реферата по математической статистике
Часть I. Моделирование выборки
- Из таблицы случайных чисел выбираем 51 значение:
(2 блока + 1 число). Имеем равномерное распределение на промежутке (0;1).
- По рекуррентной формуле получаем новые значения (стандартное нормальное распределение):

- Задаем два числа, это условие: “ m= ” “= ” (>0).
Впоследствии: m – это математическое ожидание Х, а
- это дисперсия Х. Наша выборка:
,где i=1,2,...,50. Х – генеральная совокупность- Контроль: по выборке необходимо вычислить:
- выборочное среднее
- выборочная дисперсия
(исправленная дисперсия) [
]
-центрированная дисперсия
Если
, то можно продолжать работу. В противном случае, необходимо заменить начальные значения.Часть II. Обработка выборки. Группированный статистический ряд
- Составляем вариационный ряд
- Находим медиану. В нашем случае – это среднее арифметическое 25го и 26го членов вариационного ряда.
- Находим размах выборки:

- Отрезок [
] делим на «k» равных частей. [k=1+3,31*lg(n)] [k=8 в нашем случае]
- Длина каждого интервала:

- Н
айдите середины интервалов: 
- Разделите вариационный ряд в соответствии с границами интервалов и определите частоту (абсолютную) попаданий значений Х в соответствующие интервалы.
- Заполните следующую таблицу (группированный статистический ряд)
| N | Интервал | штрихи | Ni(абс.частота) | Zi(серед.инт) | Pi*(отн.част.) | Накопл. Част. |
| 1 | [Xmin;a1) | || | n1 | z1 | | ![]() |
| 2 | [a1;a2) | || | n2 | z2 | | ![]() |
| 3 | [a2;a3) | |||||| | n3 | z3 | | ![]() |
| 4 | [a3;a4) | |||||||||| | n4 | z4 | | |
| 5 | | | | | | |
| 6 | | | | | | |
| 7 | | | | | | |
| 8 | [a7;Xmax) | || | n8 | z8 | | 1 |
| | | | ![]() | | ![]() | |
- Статистический ряд
| Zi | Z1 | z2 | z3 | z4 | z5 | z6 | z7 | z8 |
| Pi* | ![]() | ![]() | ![]() | ![]() | ![]() | ![]() | ![]() | ![]() |
О
пределяем моду: 
- Полигон частот:
- Статистическая функция распределения:

-приближенная функция распределения исследуемой генеральной совокупности Х
- Г
истограмма выборки (оценка кривой функции плотности генеральной совокупности Х). Строим дополнительную таблицу:
| N | 1 | 2 | 3 | 4 | 5 | 6 | 7 | 8 |
| Hi=Pi*/ Высота прямоугольника | ![]() | ![]() | ![]() | ![]() | ![]() | ![]() | ![]() | ![]() |


Часть III. Вычисление выборочных характеристик
- Линейное преобразование выборки.
Введем новую случайную величину:
. Пусть Мо=
(например, k=5).| | z1 | z2 | z3 | z4 | z5 | z6 | z7 | z8 |
![]() | -4 | -3 | -2 | -1 | 0 | 1 | 2 | 3 |
![]() | ![]() | ![]() | ![]() | ![]() | ![]() | ![]() | ![]() | ![]() |
Замечание:

- Вычисление выборочного среднего:

Необходимо сравнить
с первоначальным вычислением по всей выборке.- Вычисление выборочных дисперсий:
:
- Выборочная дисперсия генеральной совокупности Х:
- сравнить с числом 
- Исправленная выборочная дисперсия:

- Центрированная выборочная дисперсия:
- раньше была
- Выборочная дисперсия генеральной совокупности Х:
- Вычисление выборочного С.К.О.:

- Результаты занести в таблицу:
| Числовые характеристики | По выборке | По группированной выборке |
![]() | | |
![]() | | |
![]() | | |
![]() | | |
![]() | | |
![]() | | |
![]() | | |
Глава IV. Построение доверительных интервалов
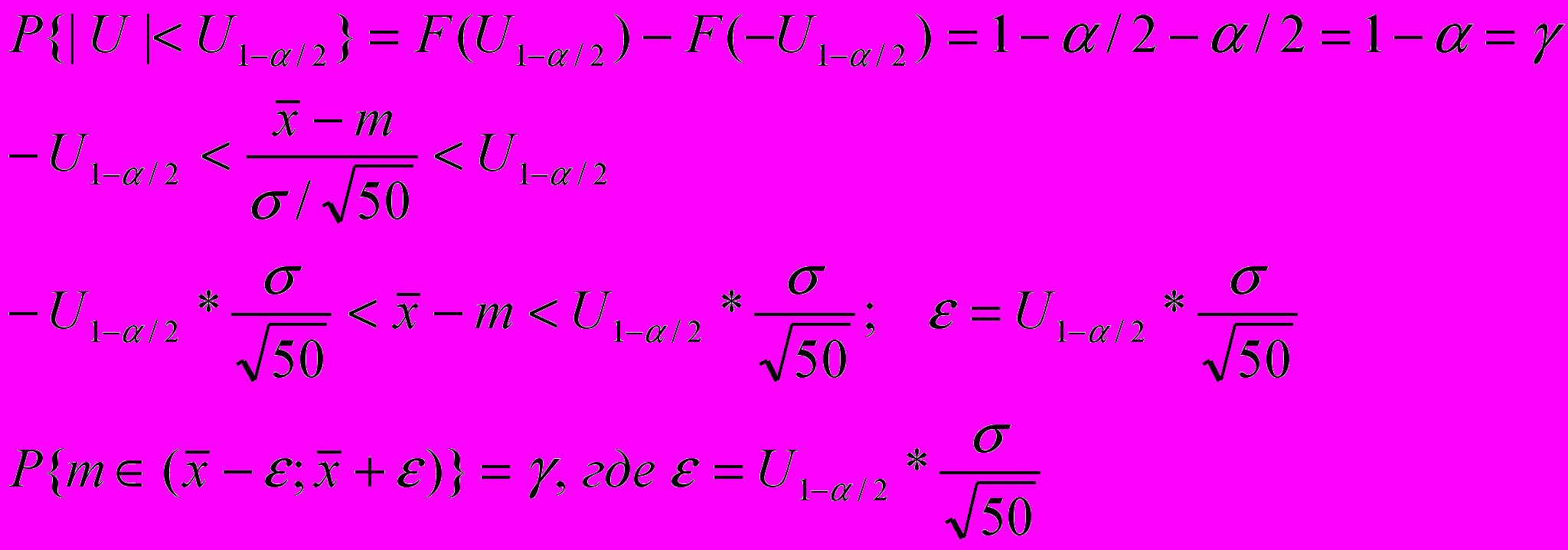
- Построение доверительного интервала для математического ожидания при известной дисперсии.
Дано:
нормальное распределение.
; n=50; 
- Доверительная вероятность:

Построить доверительный интервал для математического ожидания:

Решение:
- Рассмотрим стандартную нормальную величину :
; UN(0;1).
- Рассмотрим квантиль порядка
[значение функции распределения СВ U при х =
равно вероятности 1-/2, т.е. F(
)=1-/2 ]


Примечание: Поставьте вопрос: Каким должен быть объем выборки n, чтобы

Решение:

- Построение доверительного интервала для математического ожидания при неизвестной дисперсии
Дано:
нормальное распределение.
- Т.к неизвестна, то используем исправленную S; n=50;

- Доверительная вероятность:

Построить доверительный интервал для математического ожидания:

Решение:
- Рассмотрим случайную величину
- распределение Стьюдента, число степеней свободы k=n-1.
- Обозначим
- квантиль порядка 1-/2.


- Построение доверительного интервала для дисперсии, при условии, что математическое ожидание известно
Дано:
нормальное распределение.
- m – смотри условие; n=50;

- Доверительная вероятность:

Найти доверительный интервал для дисперсии:

Решение:
- Рассмотрим случайную величину:
(n степеней свободы)
- По таблице квантилей распределения найдем квантили:


- Построение доверительного интервала для дисперсии при неизвестном математическом ожидании.
Дано:
нормальное распределение.
- N=50;
(исправленная дисперсия)
- Доверительная вероятность:

Найти доверительный интервал для дисперсии:

Решение:
- Рассмотрим случайную величину
с (n-1) степенями свободы; k=n-1=49.
- По таблице квантилей распределения найдем квантили:

-


Часть V. Проверка статистических гипотез. Критерий значимости
Задача 1. Проверка гипотезы о значении математического ожидания при известном
Дано:
- XN(m;) – нормальное распределение
(смотри условие); 
- - уровень значимости [=0,1]
Ho – Нулевая гипотеза -

H1(1) – Альтернативная гипотеза (двусторонняя) -

Также нужно выбрать одну из односторонних гипотез, а именно: Если
то имеем правостороннюю гипотезу H1(2) -
. Если
то имеем левостороннюю гипотезу H1(3) - 
Решение:
- Статистика критерия:
- стандартно распределенная случайная величина
- Вычислим выборочное значение этой величины, используя условие задачи:

- Строим критическую область :
- Для двусторонней гипотезы H1(1) :
:

Заметим, что критические точки области, это:
квантили порядка 0,95.Правила принятия решения: Если
то гипотезу Но на уровне значимости =0,1 принимаем. А если
то мы попадаем в критическую область и гипотезу Но на уровне значимости =0,1 отвергаем.- Для правосторонней гипотезы H1(2):
:
Правило принятия решения: Если выборочное значение
(квантиль порядка 0,9), то гипотезу Но на уровне значимости =0,1 принимаем. А если
то мы попадаем в критическую область и гипотезу Но на уровне значимости =0,1 отвергаем.- Д
ля левосторонней гипотезы H1(3):
:
.

Правило принятия решения: Если
, то гипотезу Но на уровне значимости =0,1 принимаем. А если
то мы попадаем в критическую область и гипотезу Но на уровне значимости =0,1 отвергаем.Задача №2. Проверка гипотезы о значении математического ожидания (генеральной средней) при неизвестном
Дано:
- XN(m;) – нормальное распределение

- - уровень значимости [=0,1]
Нулевая гипотеза : Но:

Альтернативные гипотезы:
- H1(1):
(двусторонняя)
- H1(2):
(правосторонняя, если
)
- H1(3):
(левосторонняя, если
)
Решение:
- Статистика критерия:
- распределение Стьюдента, число степеней свободы k=n-1.
- Вычисляем выборочное значение на основании исходных данных:

- Строим критическую область:
- Для двусторонней гипотезы H1(1) :
:
- квантиль распределения Стьюдента с числом степеней свободы k=49.

Правило принятия решения: Если
то гипотезу Но на уровне значимости =0,1 принимаем. А если
то мы попадаем в критическую область и гипотезу Но на уровне значимости =0,1 отвергаем- Для правосторонней гипотезы H1(2):
:
- квантиль распределения Стьюдента с числом степеней свободы k=49.

Правило принятия решения: Если
то гипотезу Но на уровне значимости =0,1 принимаем. А если
то мы попадаем в критическую область и гипотезу Но на уровне значимости =0,1 отвергаем.- Для левосторонней гипотезы H1(3):
:
- квантиль распределения Стьюдента с числом степеней свободы k=49.


Правило принятия решения: Если
то гипотезу Но на уровне значимости =0,1 принимаем. А если
то мы попадаем в критическую область и гипотезу Но на уровне значимости =0,1 отвергаемЗадача №3. Проверка гипотезы о числовом значении дисперсии генеральной совокупности при известном значении математического ожидания генеральной совокупности
Дано:
- XN(m;) – нормальное распределение
- центрированная выборочная дисперсия
- - уровень значимости [=0,1]
Нулевая гипотеза Но:

Альтернативные гипотезы:
- H1(1):
(двусторонняя)
- H1(2):
(правосторонняя, если
)
- H1(3):
(левосторонняя, если
)
Решение:
- Статистика критерия:
- распределение
с числом степеней свободы n=50/
- Вычисляем выборочное значение

- Строим критические области:
- Д
ля двусторонней гипотезы: H1(1):
:
- квантили распределения 
- Д
Правило принятия решения: Если
, то гипотезу Но на уровне значимости =0,1 принимаем. А если,
, то гипотезу Но отвергаем на уровне значимости =0,1.- Для правосторонней гипотезы: H1(2):
: 

Правило принятия решения: Если
, то гипотезу Но на уровне значимости =0,1 принимаем. А если,
, то гипотезу Но отвергаем на уровне значимости =0,1.- Для левосторонней гипотезы: H1(3):
: 

Правило принятия решения: Если
, то гипотезу Но на уровне значимости =0,1 принимаем. А если,
, то гипотезу Но отвергаем на уровне значимости =0,1.Задача №4. Проверка гипотезы о числовом значении дисперсии генеральной совокупности при неизвестном значении математического ожидания
Дано:
- XN(m;) – нормальное распределение
- исправленная выборочная дисперсия
- - уровень значимости [=0,1]
Нулевая гипотеза Но:

Альтернативные гипотезы:
- H1(1):
(двусторонняя)
- H1(2):
(правосторонняя, если
)
- H1(3):
(левосторонняя, если
)
Решение:
- Статистика критерия:
- распределение
с числом степеней свободы n=49.
- Далее решение аналогично решению задачи №3
Часть VI. Проверка гипотезы о нормальном распределении. Критерий

- Нулевая гипотеза
: Генеральная совокупность имеет нормальное распределение. Т.к. параметры m и неизвестны, то в качестве:
(исправленное С.К.О.)
.
- Зададим уровень значимости (например, =0,1).
- Выборочная статистика критерия
вычисляется по формуле:
;
- абсолютная частота попадания в «i» интервал;
- вероятность попадания Х (нормально распределенная случайная величина) в “i” интервал.
Правило принятия решения: Если
, то на уровне значимости =0,1 гипотезу Но принимаем:-
- это квантиль порядка 0,9 с числом степеней свободы s=r-l-1, где r- это число интервалов, а l – число неизвестных параметров (в нашем случае l=2). Как правильно найти число интервалов и вычислить соответствующее выборочное значение поясним далее.

Шаг 1: В качестве начальной таблицы возьмем таблицу группированной выборки
| № | интервалы | ![]() | ![]() | n ![]() | ![]() |
| 1 | [-∞; ) | ![]() ![]() | ![]() | ![]() ![]() | |
| 2 | [ ; ) | ![]() | ![]() | ![]() | |
| 3 | [ ; ) | ![]() | ![]() | ![]() | |
| 4 | [ ; ) | ![]() | ![]() | ![]() | |
| 5 | [ ; ) | ![]() | ![]() | ![]() | |
| 6 | [ ; ) | ![]() | ![]() | ![]() ![]() | |
| 7 | [ ; ) | ![]() | ![]() | ![]() | |
| 8 | [ ;+∞) | ![]() | ![]() | ![]() | |
| | | ![]() | ![]() | ![]() | ![]() |
Шаг 2: Вычисляем теоретические вероятности:



- ------------------------------------


Примечание: обратите внимание, что

Шаг 3: Критерий
использует тот факт, что случайная величина
(i=1,2..k) имеет распределение близкое к нормальному N(0;1). Чтобы это утверждение было достаточно точным необходимо, чтобы для всех интервалов выполнялось условие
. Если в некоторых интервалах это условие не выполняется, то их следует объединить с соседними и только потом заполнять последний столбик. 






























)




)


)


)


)


)



)







