Ульяновский Государственный Технический Университет Кафедра вычислительной техники Нейроинформатика. Архитектуры фон Неймана и нейрокомпьютера реферат
| Вид материала | Реферат |
- Ульяновский Государственный Технический Университет Кафедра вычислительной техники, 162.58kb.
- Нейроинформатика. Архитектуры фон Неймана и нейрокомпьютера, 87.88kb.
- Новосибирский Государственный Технический Университет. Факультет автоматики и вычислительной, 2544.79kb.
- Новосибирский Государственный Технический Университет. Факультет автоматики и вычислительной, 1650.9kb.
- Ульяновский Государственный Технический Университет Кафедра вычислительной техники, 320.99kb.
- Образования Республики Молдова Колледж Микроэлектроники и Вычислительной Техники Кафедра, 113.64kb.
- Кафедра «Автоматизированные системы обработки информации и управления» доклад по дисциплине, 114.1kb.
- Красноярский Государственный Технический Университет Усть-Илимский филиал реферат, 389.47kb.
- Петербургский Государственный Университет Информационных Технологий, Механики и Оптики, 196.71kb.
- Ульяновский Государственный Технический Университет Цикл: «Прикладная лингвистика», 204.62kb.
Министерство образования Российской Федерации
Ульяновский Государственный Технический Университет
Кафедра вычислительной техники
Нейроинформатика. Архитектуры фон Неймана и нейрокомпьютера.
Реферат по инженерии знаний
студента группы МЭВд-51
Салмова А.А.
Научный руководитель
Соснин Петр Иванович
Ульяновск
2003
Оглавление
Оглавление 2
Нейронная сеть. Компоненты и связи. 3
Краткий обзор нейронных сетей 4
Выделение компонентов 6
Запросы компонентов нейрокомпьютера 10
Запросы к задачнику 11
Запрос к предобработчику 12
Запрос к исполнителю 12
Запросы к учителю 12
Запрос к контрастеру 13
Запрос к оценке 13
Запрос к интерпретатору ответа 13
Запросы к сети 13
Классическая архитектура (архитектура фон Неймана) 15
Устройства компьютера 15
Принципы работы компьютера 16
Сравнение архитектур 17
Литература 23
Нейронная сеть. Компоненты и связи.
Многолетние усилия многих исследовательских групп привели к тому, что к настоящему моменту накоплено большое число различных «правил обучения» и архитектур нейронных сетей, способов оценивать и интерпретировать их работу, приемов использования нейронных сетей для решения прикладных задач.
До сих пор эти правила, архитектуры, системы оценки и интерпретации, приемы использования и другие интеллектуальные находки существуют в виде «зоопарка» сетей. Каждая сеть из нейросетевого зоопарка имеет свою архитектуру, правило обучения и решает конкретный набор задач, аналогично тому, как каждое животное в обычном зоопарке имеет свои голову, лапы, хвост и питается определенной пищей. В данном курсе проводится систематизация «зоопарка» и превращение его в «технопарк». То есть переход от разнообразия организмов к разнообразию деталей – это и эффективнее, и экономнее. Процесс накопления зоопарка и последующего преобразования его в технопарк вполне закономерен при возникновении всего нового. Хорошим примером может послужить процесс развития персональных компьютеров. В семидесятых годах, когда они только появились, происходил процесс накопления зоопарка. В то время существовало множество абсолютно несовместимых друг с другом персональных компьютеров (IBM PC, Apple, PDP, HP и др.). В восьмидесятых и начале девяностых годов происходил процесс систематизации и преобразования зоопарка персональных компьютеров в технопарк. Сейчас, придя в хороший магазин, торгующий компьютерами, вы можете из имеющейся в наличии комплектации собрать такой персональный компьютер, какой вам нужен. Вы можете сами выбрать процессор, память, принтер, аудио и видео карты и т.д.
Для представления всего разнообразия нейрокомпьютеров в виде небольшого набора деталей полезен такой подход: каждая нейронная сеть из зоопарка должна быть представлена как реализованная на идеальном нейрокомпьютере, имеющем заданную структуру. В пределах данной структуры вы можете сами выбирать комплектующие – архитектуру сети, предобработчик, интерпретатор ответа и другие компоненты. Несомненно, структура этого идеального нейрокомпьютера со временем будет эволюционировать. Однако преимущества даже от первых шагов стандартизации несомненны.
Эта глава посвящена выделению функциональных компонентов, составляющих универсальный нейрокомпьютер. Основные компоненты нейрокомпьютера выделяются по следующим признакам:
- Относительная функциональная обособленность: каждый компонент имеет четкий набор функций. Его взаимодействие с другими компонентами может быть описано в виде небольшого числа запросов.
- Возможность реализации большинства используемых алгоритмов.
- Возможность взаимозамены различных реализаций любого компонента без изменения других компонентов.
Однако, прежде чем приступать к выделению компонент, опишем рассматриваемый набор нейронных сетей и процесс их обучения.
Краткий обзор нейронных сетей
Можно по разному описывать «зоопарк» нейронных сетей. Приведем классификацию нейронных сетей по решаемым ими задачам.
- Классификация без учителя или поиск закономерностей в данных. Наиболее известным представителем этого класса сетей является сеть Кохонена, реализующая простейший вариант решения этой задачи. Наиболее общий вариант решения этой задачи известен как метод динамических ядер.
- Ассоциативная память. Наиболее известный представитель – сети Хопфилда. Эта задача также позволяет строить обобщения. Наиболее общий вариант описан в.
- Аппроксимация функций, заданных в конечном числе точек. К сетям, решающим эту задачу, относятся персептроны, сети обратного распространения ошибки.
В центре нашего внимания будут сети, предназначенные для решения третьей задачи, однако предложенная структура нейрокомпьютера позволяет описать любую сеть. Конечно, невозможно использовать учитель, предназначенный для построения ассоциативной памяти, для решения задачи классификации без учителя и наоборот.
Среди сетей, аппроксимирующих функции, необходимо выделить еще два типа сетей – с дифференцируемой и пороговой характеристической функцией. Дифференцируемой будем называть сеть, каждый элемент которой реализует непрерывно дифференцируемую функцию. Вообще говоря, альтернативой дифференцируемой сети является недифференцируемая, а не пороговая, но на практике, как правило, все недифференцируемые сети являются пороговыми. Отметим, что для того, чтобы сеть была пороговой, достаточно вставить в нее один пороговый элемент.
Основное различие между дифференцируемыми и пороговыми сетями состоит в способе обучения. Для дифференцируемых сетей есть конструктивная процедура обучения, гарантирующая результат, если архитектура сети позволяет ей решит задачу. Следует заметить, что при использовании обучения по методу двойственности так же возникают сложности, типа локальных минимумов. Однако существует набор регулярных процедур, позволяющих с ними бороться. Для обучения пороговых сетей используют правило Хебба или его модификации. Однако, для многослойных сетей с пороговыми элементами правило Хебба не гарантирует обучения. (В случае однослойных сетей – персептронов, доказана теорема о достижении результата в случае его принципиальной достижимости). С другой стороны, в работе (raft.ru/neuro/ni/prl.shtml#L146) доказано, что многослойные сети с пороговыми нейронами можно заменить эквивалентными двухслойными сетями с необучаемыми весами первого слоя.
Выделение компонентов
Первым основным компонентом нейрокомпьютера является нейронная сеть. Относительно архитектуры сети принцип двойственности предполагает только одно – все элементы сети реализуют при прямом функционировании характеристические функции из класса C1(E) (непрерывно дифференцируемые на области определения E, которой, как правило, является вся числовая ось).
Для обучения нейронной сети необходимо наличие задачника. Однако чаще всего, обучение производится не по всему задачнику, а по некоторой его части. Ту часть задачника, по которой в данный момент производится обучение, будем называть обучающей выборкой. Для многих задач обучающая выборка имеет большие размеры (от нескольких сот до нескольких десятков тысяч примеров). При обучении с использованием скоростных методов обучения (их скорость на три-четыре порядка превышает скорость обучения по классическому методу обратного распространения ошибки) приходится быстро сменять примеры. Таким образом, скорость обработки обучающей выборки может существенно влиять на скорость обучения нейрокомпьютера. К сожалению, большинство разработчиков аппаратных средств не предусматривает средств для быстрой смены примеров. Таким образом, задачник выделен в отдельный компонент нейрокомпьютера.
При работе с обучающей выборкой удобно использовать привычный для пользователя формат данных. Однако, этот формат чаще всего непригоден для использования нейросетью. Таким образом, между обучающей выборкой и нейросетью возникает дополнительный компонент нейрокомпьютера – предобработчик. Из литературных источников следует, что разработка эффективных предобработчиков для нейрокомпьютеров является новой, почти совсем не исследованной областью. Большинство разработчиков программного обеспечения для нейрокомпьютеров склонно возлагать функции предобработки входных данных на обучающую выборку или вообще перекладывают ее на пользователя. Это решение технологически неверно. Дело в том, что при постановке задачи для нейрокомпьютера трудно сразу угадать правильный способ предобработки. Для его подбора проводится серия экспериментов. В каждом из экспериментов используется одна и та же обучающая выборка и разные способы предобработки входных данных сети. Таким образом, выделен третий важный компонент нейрокомпьютера – предобработчик входных данных.
Заметим, что если привычный для человека способ представления входных данных непригоден для нейронной сети, то и формат ответов нейронной сети часто малопригоден для человека. Необходимо интерпретировать ответы нейронной сети. Интерпретация зависит от вида ответа. Так, если ответом нейронной сети является действительное число, то его, как правило, приходится масштабировать и сдвигать для попадания в нужный диапазон ответов. Если сеть используется как классификатор, то выбор интерпретаторов еще шире. Большое разнообразие интерпретаторов при невозможности решить раз и навсегда вопрос о преимуществах одного из них над другими приводит к необходимости выделения интерпретатора ответа нейронной сети в отдельный компонент нейрокомпьютера.
С интерпретатором ответа тесно связан еще один обязательный компонент нейрокомпьютера – оценка. Невнимание к этому компоненту вызвано практикой рассматривать метод обратного распространения ошибки в виде алгоритма. Доминирование такой точки зрения привело к тому, что, судя по публикациям, большинство исследователей даже не подозревает о том, что «уклонение от правильного ответа», подаваемое на вход сети при обратном функционировании, есть ни что иное, как производная функции оценки по выходному сигналу сети (если функция оценки является суммой квадратов уклонений). Возможно (и иногда очень полезно) конструировать другие оценки. Нашей группой в ходе численных экспериментов было выяснено, что для обучения сетей-классификаторов функция оценки вида суммы квадратов, пожалуй, наиболее плоха. Использование альтернативных функций оценки позволяет в несколько раз ускорить обучение нейронной сети.
Шестым необходимым компонентом нейрокомпьютера является учитель. Этот компонент может меть множество реализаций.
Принцип относительной функциональной обособленности требует выделения еще одного компонента, названного исполнителем запросов учителя или просто исполнителем. Назначение этого компонента не так очевидно, как всех предыдущих. Заметим, что для всех учителей, обучающих сети по методу обратного распространения ошибки, и при тестировании сети характерен следующий набор операций с каждым примером обучающей выборки:
- Тестирование решения примера
- Взять пример у задачника.
- Предъявить его сети для решения.
- Предъявить результат интерпретатору ответа.
- Оценивание решения примера
- Взять пример у задачника.
- Предъявить его сети для решения.
- Предъявить результат оценке.
- Оценивание решения примера с вычислением градиента.
- Взять пример у задачника.
- Предъявить его сети для решения.
- Предъявить результат оценке с вычислением производных.
- Предъявить результат работы оценки сети для вычисления градиента.
- Оценивание и тестирование решения примера.
- Взять пример у задачника.
- Предъявить его сети для решения.
- Предъявить результат оценке.
- Предъявить результат интерпретатору ответа.
Заметим, что все четыре варианта работы с сетью, задачником, интерпретатором ответа и оценкой легко объединить в один запрос, параметры которого позволяют указать последовательность действий. Таким образом, исполнитель исполняет всего один запрос – обработать пример. Однако выделение этого компонента позволяет исключить необходимость в прямых связях таких компонентов, как контрастер и учитель, с компонентами оценка и интерпретатор ответа, а их взаимодействие с компонентом сеть свести исключительно к запросам связанным с модификацией обучаемых параметров сети.
Последним компонентом, которого необходимо выделить, является контрастер нейронной сети. Этот компонент является надстройкой над учителем. Его назначение – сводить число связей сети до минимально необходимого или до «разумного» минимума (степень разумности минимума определяется пользователем). Кроме того, контрастер, как правило, позволяет свести множество величин весов связей к 2-4, реже к 8 выделенным пользователем значениям. Наиболее важным следствием применения процедуры контрастирования является получение логически прозрачных сетей – сетей, работу которых легко описать и понять на языке логики.
Для координации работы всех компонент нейрокомпьютера вводится макрокомпонента Нейрокомпьютер. Основная задача этого компонента – организация интерфейса с пользователем и координация действий всех остальных компонентов.
Запросы компонентов нейрокомпьютера
В этом разделе приводится основной список запросов, которые обеспечивают функционирование нейрокомпьютера. За редким исключением приводятся только запросы, которые генерируются компонентами нейрокомпьютера (некоторые из этих запросов могут поступать в нейрокомпьютер от пользователя). Здесь рассматривается только форма запроса и его смысл.

рис 1. Схема запросов в нейрокомпьютере.
На рис. 1. приведена схема запросов в нейрокомпьютере. При построении схемы предполагается, что на каждый запрос приходит ответ. Вид ответа описан при описании запросов. Стрелки, изображающие запросы, идут от объекта, инициирующего запрос, к объекту его исполняющему.
Запросы к задачнику
Запросы к задачнику позволяют последовательно перебирать все примеры обучающей выборки, обращаться непосредственно к любому примеру задачника и изменять обучающую выборку. Обучающая выборка выделяется путем «раскрашивания» примеров задачника в различные «цвета». Понятие цвета и способ работы с цветами описаны в разделе «Переменные типа цвет и операции с цветами».
Запросы последовательного перебора обучающей выборки:
«Инициировать выдачу примеров цвета К». По этому запросу происходит инициация выдачи примеров К-го цвета.
«Дать очередной пример». По этому запросу задачник возвращает предобработанные данные очередного примера и, при необходимости, правильные ответы, уровень достоверности и другие данные этого примера.
«Следующий пример». По этому запросу задачник переходит к следующему примеру обучающей выборки. Если такого примера нет, то возвращается признак отсутствия очередного примера.
Для непосредственного доступа к примерам задачника служит запрос «Дать пример номер N». Действия задачника в этом случае аналогичны выполнению запроса «Дать очередной пример».
Для изменения обучающей выборки служит запрос «Окрасить примеры в цвет К». Этот запрос используется редко, поскольку изменение обучающей выборки, как правило, осуществляется пользователем при редактировании задачника.
Запрос к предобработчику
Предобработчик сам никаких запросов не генерирует. Единственный запрос к предобработчику – «Предобработать пример» может быть выдан только задачником.
Запрос к исполнителю
«Обработать очередной пример». Вид ответа зависит от параметров запроса.
Запросы к учителю
«Начать обучение сети». По этому запросу учитель начинает процесс обучения сети.
«Прервать обучение сети». Этот запрос приводит к прекращению процесса обучения сети. Этот запрос требуется в случае необходимости остановить обучение сети до того, как будет удовлетворен критерий остановки обучения, предусмотренный в учителе.
«Провести N шагов обучения» – как правило, выдается контрастером, необходим для накопления показателей чувствительности.
Запрос к контрастеру
«Отконтрастировать сеть». Ответом является код завершения операции контрастирования.
Запрос к оценке
Оценка не генерирует никаких запросов. Она выполняет только один запрос – «Оценить пример». Результатом выполнения запроса является оценка примера и, при необходимости, вектор производных оценки по выходным сигналам сети.
Запрос к интерпретатору ответа
Интерпретатор ответа не генерирует никаких запросов. Он выполняет только один запрос – «Интерпретировать ответ». Ответом является результат интерпретации.
Запросы к сети
Сеть не генерирует никаких запросов. Набор исполняемых сетью запросов можно разбить на три группы.
Запрос, обеспечивающий тестирование.
«Провести прямое функционирование». На вход сети подаются данные примера. На выходе сети вычисляется ответ сети, подлежащий оцениванию или интерпретации.
Запросы, обеспечивающие обучение сети.
«Обнулить градиент». При исполнении этого запроса градиент оценки по обучаемым параметрам сети кладется равным нулю. Этот запрос необходим, поскольку при вычислении градиента по очередному примеру сеть добавляет его к ранее вычисленному градиенту по сумме других примеров.
«Вычислить градиент по примеру». Проводится обратное функционирование сети. Вычисленный градиент добавляется к ранее вычисленному градиенту по сумме других примеров.
«Изменить карту с шагами Н1 и H2». Генерируется учителем во время обучения.
Запрос, обеспечивающие контрастирование.
«Изменить карту по образцу». Генерируется контрастером при контрастировании сети.
Таким образом, выделено семь основных компонентов нейрокомпьютера, определены их функции и основные исполняемые ими запросы.
Классическая архитектура (архитектура фон Неймана)
В данной главе я кратко, обзорно остановлюсь на классической архитектуре (архитектуре фон Неймана).
В своем докладе Джон фон Нейман описал, как должен быть устроен компьютер для того, чтобы он был универсальным и эффективным устройством для обработки информации.
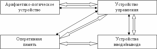
Устройства компьютера
Прежде всего компьютер должен иметь следующие устройства:
- арифметико-логическое устройство, выполняющее арифметические и логические операции;
- устройство управления, которое организует процесс выполнения программ;
- запоминающее устройство, или память, для хранения программ и данных;
- внешние устройства для ввода-вывода информации.
Память компьютера должна состоять из некоторого набора пронумерованных ячеек, в каждой из которых могут находиться или обрабатываемые донные, или инструкции программ. Все ячейки памяти должны быть одинаково легко доступны для других устройств компьютера.
Вот каковы должны быть связи между устройствами компьютера (одинарные линии показывают управляющие связи, двойные - информационные).

Принципы работы компьютера
В общих чертах работ компьютера можно описать так. Вначале с помощью какого-либо внешнего устройства в память компьютера вводится программа. Устройство управления считывает содержимое ячейки памяти, где находится первая инструкция программы, и организует ее выполнение. Эта команда может задавать выполнение арифметических или логических операций, чтение из памяти данных для выполнения арифметических или логических операций или запись их результатов в память, ввод данных из внешнего устройства в память или вывод данных из памяти на внешнее устройство.
Как правило, после выполнения одной команды устройство управления начинает выполнять команду из ячейки памяти, которая находится в памяти за только что выполненной командой. Однако этот порядок может быть изменен с помощью команд передачи управления (перехода). Эти команды указывают устройству управления, что ему следует продолжить выполнение программы, начиная с команды, содержащейся в некоторой другой ячейке памяти. Такой скачок, или переход, в программе может выполняться не всегда, а только при выполнении некоторых условий, например, если некоторые числа равны, если в результате предыдущей арифметической операции получили нуль и т.д. Это позволяет использовать одни и те же последовательности команд в программе много раз (то есть организовывать циклы), выполнять различные последовательности команд в зависимости от выполнения определенных условий и т.д., то есть создавать сложные программы.
Таким образом, управляющее устройство выполняет инструкции программы автоматически, то есть без вмешательства человека. Оно может обмениваться информацией с оперативной памятью и внешними устройствами компьютера. Поскольку внешние устройства работают, как правило, медленнее, чем остальные части компьютера, управляющее устройство может приостанавливать выполнение программы до завершения операции ввода-вывода с внешним устройством. Все результаты выполнения программы должны быть выведены на внешние устройства компьютера, после чего компьютер переходит в режим ожидания каких-либо сигналов от внешних устройств.
Сравнение архитектур
Интеллектуальные системы на основе искусственных нейронных сетей (ИНС) позволяют с успехом решать проблемы распознавания образов, выполнения прогнозов, оптимизации, ассоциативной памяти и управления. Известны и иные, более традиционные подходы к решению этих проблем, однако они не обладают необходимой гибкостью за пределами ограниченных условий. ИНС дают многообещающие альтернативные решения, и многие приложения выигрывают от их использования.
Длительный период эволюции придал мозгу человека много качеств, которые отсутствуют как в машинах с архитектурой фон Неймана, так и в современных параллельных компьютерах. К ним относятся:
- массовый параллелизм,
- распределенное представление информации и вычисления,
- способность к обучению и способность к обобщению,
- адаптивность,
- свойство контекстуальной обработки информации,
- толерантность к ошибкам,
- низкое энергопотребление.
Можно предположить, что приборы, построенные на тех же принципах, что и биологические нейроны, будут обладать перечисленными характеристиками.
Современные цифровые вычислительные машины превосходят человека по способности производить числовые и символьные вычисления. Однако человек может без усилий решать сложные задачи восприятия внешних данных (например, узнавание человека в толпе только по его промелькнувшему лицу) с такой скоростью и точностью, что мощнейший в мире компьютер по сравнению с ним кажется безнадежным тугодумом. В чем причина столь значительного различия в их производительности? Архитектура биологической нейронной системы совершенно не похожа на архитектуру машины фон Неймана (Таблица 1), существенно влияет на типы функций, которые более эффективно исполняются каждой моделью.
Таблица 1.
Машина фон Неймана по сравнению с биологической нейронной системой.
| | Машина фон Неймана | Биологическая нейронная система |
| Процессор | Сложный | Простой |
| Высокоскоростной | Низкоскоростной | |
| Один или несколько | Большое количество | |
| Память | Отделена от процессора | Интегрирована в процессор |
| Локализована | Распределенная | |
| Адресация не по содержанию | Адресация по содержанию | |
| Вычисления | Централизованные | Распределенные |
| Последовательные | Параллельные | |
| Хранимые программы | Самообучение | |
| Надежность | Высокая уязвимость | Живучесть |
| Специализация | Численные и символьные oперации | Проблемы восприятия |
| Среда функционирования | Строго определенная | Плохо определенная |
| Строго ограниченная | Без ограничений |
Подобно биологической нейронной системе ИНС является вычислительной системой с огромным числом параллельно функционирующих простых процессоров с множеством связей. Модели ИНС в некоторой степени воспроизводят "организационные" принципы, свойственные мозгу человека. Моделирование биологической нейронной системы с использованием ИНС может также способствовать лучшему пониманию биологических функций. Такие технологии производства, как VLSI (сверхвысокий уровень интеграции) и оптические аппаратные средства, делают возможным подобное моделирование.
Глубокое изучение ИНС требует знания нейрофизиологии, науки о познании, психологии, физики (статистической механики), теории управления, теории вычислений, проблем искусственного интеллекта, статистики/математики, распознавания образов, компьютерного зрения, параллельных вычислений и аппаратных средств (цифровых/аналоговых/VLSI/оптических). С другой стороны, ИНС также стимулируют эти дисциплины, обеспечивая их новыми инструментами и представлениями. Этот симбиоз жизненно необходим для исследований по нейронным сетям.
Представим некоторые проблемы, решаемые в контексте ИНС и представляющие интерес для ученых и инженеров.
Классификация образов. Задача состоит в указании принадлежности входного образа (например, речевого сигнала или рукописного символа), представленного вектором признаков, одному или нескольким предварительно определенным классам. К известным приложениям относятся распознавание букв, распознавание речи, классификация сигнала электрокардиограммы, классификация клеток крови.
Кластеризация/категоризация. При решении задачи кластеризации, которая известна также как классификация образов "без учителя", отсутствует обучающая выборка с метками классов. Алгоритм кластеризации основан на подобии образов и размещает близкие образы в один кластер. Известны случаи применения кластеризации для извлечения знаний, сжатия данных и исследования свойств данных.
Аппроксимация функций. Предположим, что имеется обучающая выборка ((x1,y1), (x2,y2)..., (xn,yn)) (пары данных вход-выход), которая генерируется неизвестной функцией (x), искаженной шумом. Задача аппроксимации состоит в нахождении оценки неизвестной функции (x). Аппроксимация функций необходима при решении многочисленных инженерных и научных задач моделирования.
Предсказание/прогноз. Пусть заданы n дискретных отсчетов {y(t1), y(t2)..., y(tn)} в последовательные моменты времени t1, t2,..., tn . Задача состоит в предсказании значения y(tn+1) в некоторый будущий момент времени tn+1. Предсказание/прогноз имеют значительное влияние на принятие решений в бизнесе, науке и технике. Предсказание цен на фондовой бирже и прогноз погоды являются типичными приложениями техники предсказания/прогноза.
Оптимизация. Многочисленные проблемы в математике, статистике, технике, науке, медицине и экономике могут рассматриваться как проблемы оптимизации. Задачей алгоритма оптимизации является нахождение такого решения, которое удовлетворяет системе ограничений и максимизирует или минимизирует целевую функцию. Задача коммивояжера, относящаяся к классу NP-полных, является классическим примером задачи оптимизации.
Память, адресуемая по содержанию. В модели вычислений фон Неймана обращение к памяти доступно только посредством адреса, который не зависит от содержания памяти. Более того, если допущена ошибка в вычислении адреса, то может быть найдена совершенно иная информация. Ассоциативная память, или память, адресуемая по содержанию, доступна по указанию заданного содержания. Содержимое памяти может быть вызвано даже по частичному входу или искаженному содержанию. Ассоциативная память чрезвычайно желательна при создании мультимедийных информационных баз данных.
Управление. Рассмотрим динамическую систему, заданную совокупностью {u(t), y(t)}, где u(t) является входным управляющим воздействием, а y(t) - выходом системы в момент времени t. В системах управления с эталонной моделью целью управления является расчет такого входного воздействия u(t), при котором система следует по желаемой траектории, диктуемой эталонной моделью. Примером является оптимальное управление двигателем.
В заключении своего реферата я хотел бы выделить те параллели, которые условно можно провести в двух рассмотренных нами структурах:
1. Предобработчик = устройство ввода
2. Интерпретатор ответа = устройство вывода
3. Исполнитель + контрастер = устройство управления
4. Задачник = запоминающее устройство
5. Нейронная сеть = элемент памяти (так как сохраняет настройки весов) + арифметико-логическое устройство (так как выполняет основную обработку данных)
Приходится констатировать тот факт, что поставленные выше равенства носят лишь условный характер. Условный потому, что полной параллели провести невозможно – слишком различные архитектуры, но логическое назначение или реализация тех или иных компонентов позволяет их в некоторой мере соотнести между собой. Так, например, нейронная сеть содержит в себе элементы запоминающего устройства, так как хранит в себе информацию о настройки весовых коэффициентов сети (более того, каждый нейрон в отдельности представляет собой объединение память и процессора) и тем саамы позволяет себя сопоставить с блоком «память» в архитектуре фон Неймана. Но в то же время, являясь основной вычислительной компонентой нейрокомпьютера, соотносится с арифметико-логическим устройством фон Неймана, хотя и принцип действия и задачи их очень сильно различаются.
Литература
- В. Фигурнов. IBM PC для пользователя
- Нейроинформатика. Учебное пособие. (ссылка скрыта)
- Нейронные сети (ссылка скрыта)
- Нейросетевые агенты в Интернете (ссылка скрыта)
- Архитектура и структура компьютера (ссылка скрыта)
