Конспект лекций Москва 2008 Часть 1 Элементная база цифровой схемотехники условия работы и выбор элементной базы
| Вид материала | Конспект |
- Конспект лекций москва Издательство Российского университета дружбы народов 2008, 1192.83kb.
- Конспект лекций 2008 г. Батычко В. Т. Административное право. Конспект лекций. 2008, 1389.57kb.
- 1. Реферат, 12.42kb.
- Программа курса лекций (3 курс, 6 сем., 32 часа, экзамен) Ассистент Талышев Алексей, 25.29kb.
- Конспект лекций славянск-на-Кубани 2008 ббк 88., 1882.61kb.
- Программа спецкурса "Практическая полупроводниковая электроника", 52.59kb.
- О развитии элементной и конструктивно технологической базы ЭВМ, 205.3kb.
- Учебная программа по дисциплине электротехника и электроника лахтина, 44.8kb.
- Конспект лекций 2010 г. Батычко В. Т. Уголовное право. Общая часть. Конспект лекций., 3144.81kb.
- Конспект лекций бурлачков в. К., д э. н., проф. Москва, 1213.67kb.
МИНИСТЕРСТВО ОБЩЕГО И ПРОФЕССИОНАЛЬНОГО
ОБРАЗОВАНИЯ РОССИЙСКОЙ ФЕДЕРАЦИИ
_________________________
МОСКОВСКИЙ АВИАЦИОННЫЙ ИНСТИТУТ
(ГОСУДАРСТВЕННЫЙ ТЕХНИЧЕСКИЙ УНИВЕРСИТЕТ)
_________________________
Ю.В.Шаповалов
Схемотехника ЭВМ
Конспект лекций
Москва
2008
Часть 1 Элементная база цифровой схемотехники
- УСЛОВИЯ РАБОТЫ И ВЫБОР ЭЛЕМЕНТНОЙ БАЗЫ
- ТРЕБОВАНИЯ, ПРЕДЪЯВЛЯЕМЫЕ К ЭЛЕМЕНТАМ
И УСТРОЙСТВАМ БЦВМ
Основой для составления тактико-технического задания (ТТЗ) на проектирование и разработку элементов и устройств БЦВМ могут быть:
1. Условия работы. В ТТЗ указывают диапазон рабочих температур, наличие и величину температурных толчков, максимальную влажность воздуха, частоту и амплитуду вибраций, величину динамических нагрузок. Оговаривают также устойчивость к запылению, агрессивным средам и т.д.
2. Источники питания. Источники питания современных БЦВМ занимают значительную часть общего объема оборудования. Поэтому в ТТЗ
указывают вид тока, частоту, напряжение и потребляемую мощность. Оговаривают необходимость применения стабилизаторов и их тип, а также количество используемых номиналов напряжений и допустимый их разброс.
З. Конструктивные требования. Конструктивное оформление элементов БЦВМ весьма разнообразно. Для удобства монтажа и наладки устройств элементы должны компоноваться на типовом элементе замены (ТЭЗ). Конструкция элементов и устройств должна обеспечивать их взаимозаменяемость. Кроме того, конструктивное исполнение, способ монтажа, выбранный тип разъемных соединений должны обеспечивать минимальную величину монтажных емкостей, требуемый температурный режим, заданную ремонтоспособность. При выборе конструкции необходимо учитывать также технологичность изготовления, габариты и требуемую степень герметизации.
4. Быстродействие. Быстродействие системы элементов характеризуется следующими параметрами:
а) рабочей частотой, т .е. максимальной частотой входных сигналов в наихудших, но допустимых условиях эксплуатации;
б) временем переключения td , которое определяется временем включения tdl и выключения td2 схемы:

5. Совместимость входных и выходных сигналов. Это требование означает, что электрические характеристики входных и выходных сигналов должны быть выбраны таким образом, чтобы обеспечить возможность непосредственной работы элементов один на другой без применения специальных согласующих элементов.
6. Полнота системы элементов. Выбор функционально—полной системы переключательных функций с технической точки зрения эквивалентен выбору типов элементов, из которых может быть построена любая схема БЦВМ. Поэтому при выборе функционально-полных систем переключательных функций следует исходить из технических соображений.
7. Эффективное использование элементов. При проектировании модулей БЦВМ для предварительной оценки эффективности использования оборудования необходимо знать:
а) коэффициент объединения по входу М;
б) коэффициент разветвления по выходу N;
в) добротность схемы Q;
г) произведение частоты переключения на количество компонентов в кристалле f n;
д) статические и динамические характеристики.
8. Помехозащищенность и помехоустойчивость. Эти параметры являются одними из важнейших, так как не только показывают, какую величину помехи допускает схема, но и характеризуют качество системы элементов в целом. Чем выше допустимая величина помехи, тем уже область существования передаточной характеристики, т.е. тем меньше разброс характеристик элемента.
9. Разброс параметров. Современная промышленность выпускает схемы, большинство параметров которых отличается от номинальных на ±5, ±10, ±15% в зависимости от класса точности аппаратуры.
Устройства БЦВМ необходимо рассчитывать таким образом, чтобы при их изготовлении не требовался индивидуальный отбор.
10. Удельная производительность модуля B:

где n - количество компонентов; V — объем модуля.
11. Надежность. Надежность БЦВМ определяется надежностью устройств и их элементов.
1.2. СРАВНИТЕЛЬНАЯ ОЦЕНКА ЭФФЕКТИВНОСТИ ПРИМЕНЕНИЯ
ЭЛЕМЕНТОВ БЦВМ
Для сравнительного анализа элементной базы целесообразно использовать методику оценки эффективности применения элементов БЦВМ, по которой выбирается и анализируется ряд параметров каждой схемы рассматриваемой серии, таких, например, как надежность, объем, масса, мощность рассеяния, помехозащищенность, быстродействие, нагрузочная способность, количество источников питания и т .п. Каждый из этих параметров подсчитывается по формуле

где Bi - тип схемы; Ci - процентное содержание схем в устройстве; Pi-параметр выбранной серии; Р - параметр упрощенной модели.
По вычисленным параметрам составляют матрицу обобщенных параметров Р

и матрицу нормированных параметров
относительно наихудших значений условной серии 
где
в случае максимального наихудшего значения;
в случае минимального наихудшего значения.Из этих матриц определяют коэффициенты функциональных единиц φ:

где λj - весовой коэффициент, отображающий степень важности рассматриваемых параметров в проектируемой БЦВМ и их
При расчете схем обычно принимают следующие степени важности параметров: надежность – λ1 = 0,4; масса – λ2 = 0,15; объем – λ3 = 0,1; мощность рассеяния – λ4 = 0,1; помехозащищенность – λ5 = 0, I; нагрузочная способность – λ6 = 0,05; быстродействие – λ7 = 0,05; количество источников питания – λ8 = 0,05.
Поясним примером методику выбора элементной базы, наиболее часто используемых на борту летательных аппаратов. В табл.2 приведены основные сравнительные характеристики некоторых физических параметров элементов (на примере реализации одноразрядного комбинационного сумматора). По рассматриваемой методике определены коэффициенты функциональных единиц для данных систем элементов, для чего составлена нормированная матрица условных элементов(табл.3).
Из анализа табл. З можно сделать вывод, что наиболее оптимальными элементами, удовлетворяющими требованиям летательных аппаратов, являются интегральные схемы, обладающие наивысшим критерием эффективности ( φ = 0,45).
Таблица 1
Основные сравнительные характеристики элементов БЦВМ
| Параметры схемы | Типы схем | |||||
| тонко- пленоч- ные до- мены | магни- то-маг- нитные | полу- провод- никовые | интеграль- ные | оптико- электрон- ные | электро- механи- ческие | |
| Объем, см³ Масса, г Потребляе- мая мощ- ность, Вт Средняя за- держка на каскад, нс Частота от- казов на 1000ч рабо- ты | 1 2 1 100 0,05 | 20 10 1,5 1000 0,1 | 15 5 0,75 10 0,05 | 0,02 0,35 0,01 2…10 0,02 | 10 5 12 100 0,1 | 1,2 3,2 0,4 1000 0,06 |
Таблица 2
Нормированная матрица условных элементов
| Параметры схемы | Типы схем | |||||
| тонко- пленоч- ные до- мены | магни- то-маг- нитные | полу- провод- никовые | интеграль- ные | оптико- электрон- ные | электро- механи- ческие | |
| Объем χ3 =0,15 Масса χ2 =0,2 Мощность χ4 =0,15 Быстродейст-вие χ7 =0,1 Надежность χ1 =0,4 Критерий Эффектив- ности φ | 0,14 0,16 0,05 0,09 0,24 0,36 | 0 0 0 0 0 0 | 0,037 0,04 0,065 0,095 0,2 0,22 | 0,15 0,19 0,15 0,1 0,36 0,45 | 0,065 0,4 0,03 0,09 0 0,12 | 0,13 0,06 0,055 0 0,3 0,28 |
2. БАЗОВЫЕ ЭЛЕМЕНТЫ
2.1. БАЗОВЫЙ ЭЛЕМЕНТ ДИОДНО-ТРАНЗИСТОРНОЙ ЛОГИКИ
Диодно-транзисторная логическая схема (ДТЛ) изображена на рис. 1. Схема состоит из диодно-вентильной схемы (резистор R0 и диоды VD1) и инвертора на транзисторе VT1 и резисторе R1.
В этой схеме резистор R0 определяет потребляемую мощность и среднюю задержку, так как он задает ток, включающий транзистор и заряжающий емкости входных диодов и транзистора. Диоды смещения VD2 предназначены для понижения напряжения на
базе транзистора в закрытом состоянии в целях Рис. 1. Базовый элемент увеличения порога запирания и помехозащи-
диодно-транзисторной щенности схемы. Резистор R2 обеспечивает в
логики закрытой схеме достаточно большой ток через
смещающие диоды и повышает порог запирания схемы. Резистор R1 в статическом режиме служит для увеличения порога запирания схемы и уменьшения выходного сопротивления схемы в закрытом состоянии. Резистор R1 часто отсутствует в схеме.
Проиллюстрируем работу схемы, предположив, что логический нуль соответствует низкому потенциалу, а логическая единица - высокому потенциалу (положительная логика) и что хотя бы на один вход схемы подается низкий потенциал. В этом случае входной диод открыт, и ток через резистор R0 и этот диод вытекает из схемы. На базе транзистора VT1 создается низкий потенциал, и он находится в закрытом состоянии. При этом напряжение на коллекторе возрастает до величины E1-Ik0 R1≈E1 , соответствующей уровню логической единицы. Теперь предположим, что на все входы схемы поданы высокие потенциалы. В этом случае все входные диоды включены в обратном направлении и ток через резистор R0 и диоды VD2 поступает в базу транзистора, открывая его, и на выходе схемы
Рис. 2. Передаточная характеристика
логического элемента
устанавливается нулевой сигнал. Следовательно, схема при положительной логике выполняет операцию штрих Шеффера (И-НЕ).
Рассмотрим более подробно алгоритм анализа ДТЛ ИС для определения следующих параметров: уровней логического сигнала U0 и U1 (рис. 2 ), ширины активной области передаточной характеристики D, размаха логического сигнала активной области передаточной характеристики D, размаха логического сигнала UЛ , запаса функциональной устойчивости S, максимального коэффициента разветвления по выходу N, средней мощности рассеяния Р и величин задержки сигнала td .
1. Уровни сигналов, соответствующие логической единице и нулю, равны

где rП.К – сопротивление “подложка-коллектор”; UП.К –напряжение “подложка-коллектор”; UО.Э –напряжение перехода “база-эмиттер”.
Максимально допустимая величина входного нулевого сигнала

а минимально допустимая величина единичного сигнала

где k –постоянная Больцмана; Т –температура, К; q—заряд электрона.
2. Ширина активной области передаточной характеристики
3. Размах логического сигнала
4. Запас функциональной устойчивости:
для уровня логического нуля

для уровня логической единицы

5. Максимальный коэффициент разветвления по выходу.
Для насыщения транзистора требуется, чтобы выполнялось условие
β IБ >-IК . Если принять, что сопротивление rП.К очень мало, и , кроме того, пренебречь током, текущим через резистор R2 , то

Отсюда для выполнения условий насыщения потребуем, чтобы

6. Средняя мощность рассеяния.
В закрытой схеме мощность рассеивается только в резисторе R0 и на входных диодах VD1 :

В открытой схеме учитываются мощности, рассеиваемые в резисторах R0 , R1 и R2 :
Выражение для средней мощности, рассеиваемой ДТЛ-схемой, имеет вид
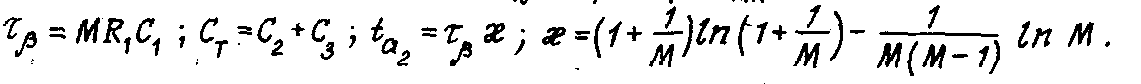
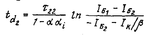
7. Задержка сигнала схемой.
Время установления при включении схемы определяется суммой времени задержки
и времени спада

где

Время установления при выключении схемы также определяется суммой времени задержки

и времени нарастания tn = 0,7 R1 C1 ,
где
τ22 – постоянная времени.
Добротность схемы

Данный тип интегральной схемы имеет два существенных недостатка: во-первых, в закрытом состоянии у нее довольно большое выходное сопротивление, определяемое величиной R1; во-вторых, в процессе выключения она не может обеспечить большого выходного тока для заряда нагрузочной емкости, в результате чего при увеличении емкостной нагрузки ее быстродействие резко уменьшается.
Эти недостатки можно устранить, если использовать в схеме сложный инвертор (более подробно о нем говорится в следующем параграфе) или диоды и транзистор Шоттки.
Диод, выполненный в виде перехода металл—полупроводник , называется диодом Шоттки. Так как у разных материалов работа выхода электронов неодинакова, поверхностный слой одного из материалов будет беднее электронами, чем поверхностный слой другого. Возникает разность потенциалов между металлом и полупроводником в зоне их контакта. Разность потенциалов создает барьер (барьер Шоттки) для перехода электронов в материал с более отрицательным поверхностным зарядом. Диод Шоттки является прибором, работающим на основных носителях заряда. Вследствие этого время рассасывания носителей в диоде Шоттки равно нулю, и его быстродействие определяется только барьерной емкостью. Включение диода Шоттки параллельно переходу коллектор - база транзистора типа p—n—p позволило получить транзистор Шоттки, отличающийся малым временем рассасывания носителей и улучшенной помехоустойчивостью в наихудших условиях—при большой нагрузке и высокой температуре.
Использование указанных свойств диодов и транзисторов Шоттки дало возможность создать логические ДТЛ ИС, способные конкурировать с ТТЛ-схемами. По сравнению с обычными ДТЛ-схемами ИС на приборах Шоттки обладают лучшими помехоустойчивостью (1,5 В) и задержкой на каскад (20 нс) . Кроме того, ДТЛ ИС на приборах Шоттки имеют большой коэффициент объединения по входу и за счет высокой скорости переключения и изменяющихся сопротивлений нагрузки в цепях коллекторов транзисторов потребляют в динамическом режиме значительно меньшую мощность, чем обычные ДТЛ—схемы.
2.2. БАЗОВЫЙ ЭЛЕМЕНТ ТРАНЗИСТОРНО-ТРАНЗИСТОРНОЙ ЛОГИКИ
Интегральные схемы транзисторно-транзисторной логики (ТТЛ ИС ) и транзисторно-транзисторной логики на приборах Шоттки (ТТЛШ) являются в настоящее время самыми распространенными логическими схемами, используемыми в устройствах вычислительных машин.
Основная ТТЛ ИС представляет собой многовходовую переключатель-
ную схему, электрическое (или логическое) состояние на выходе которой определяется логической комбинацией электрических состояний ее входа. ТТЛ ИС всех серий электрических совместимы друг с другом, и вычислительные устройства, выполненные на основе одной из них, могут быть непосредственно соединены с узлами, выполненными на основе другой, при условии соблюдения требований к нагрузочной способности схем.
Все ТТЛ работают от источников питания ЕП =5 В. Каждая схема на выходе может иметь два состояния: с низким выходным потенциалом (логический нуль), составляющим примерно 0,4 В, и с высоким выходным потенциалом (логическая единица), составляющим 2,4...4,5 В.
ТТЛ ИС обладают высоким быстродействием. Фронты сигналов их равны 4…6 нс, а задержки распространения сигналов - 8…20 нс. Диапазон входных напряжений схемы, при котором ее выходное состояние не определено, достаточно узок; выходной импеданс ТТЛ ИС мал (менее 80 Ом), что обеспечивает хорошую помехоустойчивость. Потребляемая мощность (около 20 МВт) относительно невелика. ТТЛ ИС имеют высокую нагрузочную способность. Количество входов схем ТТЛ, которое может быть подключено к выходу ТТЛ—схемы, для разных серий неодинаково, однако максимальная нагрузочная способность для серии 10 (мощная ТТЛ ИС позволяет подключить до 30 схем). Обычно ТТЛ ИС выпускаются в стандартных корпусах с количеством выводов 14, 16, 24 и предназначаются для работы в температурном диапазоне от -55 до +125 ºС.

Рис. 3. Базовый элемент транзисторно-транзисторной логики:
а - схема И-НЕ; б – тристабильная схема; в – схема ИЛИ
Схема базового элемента ТТЛ ИС приведена на рис. 3,а. Она содержит три основных каскада: входной, реализующий функцию И на транзисторе VT1, фазоразделительный с возможностью реализации на нем функции ИЛИ на транзисторе VT2 и резисторах R2, R3 и выходной инвертор на транзисторах VT3 и VT4.
Количество эмиттеров у многоэмиттерного транзистора VT1 может быть различным. Обычно максимальное число эмиттеров равно тринадцати. На рис. 3,а показано только три входа, поскольку трехвходовая схемы является базовой, используемой при построении большинства ИС.
При низком потенциале хотя бы на одном из входов схемы соответствующий эмиттерный переход многоэмиттерного транзистора VT1 открыт, и на базе транзистора VT2 поддерживается низкое напряжение, недостаточное для его отпирания.
При подаче высокого потенциала на все входы схемы эмиттерные переходы VT1 закрыты, и ток через коллекторный переход VT1 поступает в базу транзистора VT2 и открывает его. Это означает, что входной транзистор выполняет логическую функцию И для положительной логики.
В трехвходовой схеме, показанной на рис. 3, а, второй транзистор VT2 представляет собой фазоразделительный каскад, обеспечивающий парафазный сигнал для управления транзисторами VT3 и VT4. Сопротивления резисторов R2 и R3 примерно одинаковы и составляют 0,25…0,33 от сопротивления R1, и поэтому для насыщения транзистора VT2 от него не требуется большого усиления по току.
В том случае, когда транзистор VT1 пропускает в базу VT2 управляющий ток (т.е. когда на все входы схемы поданы высокие потенциалы), напряжение на эмиттере VT2 (в точке Э) может возрасти только до величины UБ.Э3 , а напряжение на коллекторе VT2 (в точке К) снизится до величины UБ.Э3 + UК.Э.Н2. Когда транзистор VT1 отключает управляющий базовый ток транзистора VT2, через резисторы R2 и R3 протекает только ток утечки, поэтому напряжение в точках Э и К близки соответственно нулю и напряжению питания.
Логическая встроенная функция ИЛИ может быть выполнена при параллельном соединении двух и более подобных фазоразделительных каскадов. Если на все входы хотя бы одного из многоэмиттерных транзисторов подано высокое напряжение, то соответствующий ему фазоразделительный транзистор будет открыт. Для выключения фазоразделительного каскада необходимо на все его входы подать нулевое или близкое к нулю напряжение. Количество подключаемых схем И в такой схеме ИЛИ ограничено величиной тока утечки каждого из фазоразделительных транзисторов. При большом их количестве суммарный ток утечки может вызвать такое возрастание напряжения в точке Э, при котором выходной транзистор VT4 будет находиться на грани отпирания, что приведет к неправильному функционированию каскада.
Рассмотрим работу выходного каскада, выполняющего функцию инвертора. При низком потенциале хотя бы на одном из входов схемы соответствующий эмиттерный переход транзистора VT1 открыт, и на базе транзистора VT2 поддерживается низкое напряжение, недостаточное для его отпирания. Транзисторы VT2 и VT3 закрыты, транзистор VT4 и диод VD1 открыты и обеспечивают на выходе высокое напряжение. При высоком потенциале на всех входах схемы эмиттерные переходы VT1 закрыты, и ток через коллекторный переход поступает в базу транзистора VT2. Транзисторы VT2 и VT3 открыты, и на выходе схемы устанавливается низкое напряжение. Транзистор VT4 и диод VD1 при этом закрыты, так как разность потенциалов между коллекторами VT2 и VT3 недостаточна для отпирания цепи VT4 – VD1.
Резистор R4 служит для ограничения тока выходного каскада во время выключения схемы, когда транзистор VT3 еще находится в режиме насыщения, а транзистор VT4 уже открылся. Диод VD1 включается в выходной каскад для того, чтобы обеспечить запирание транзистора VT4 при низком напряжении на выходе. В противном случае эммиттерный ток транзистора VT4 вызвал бы повышение низкого напряжения на выходе.
Tак как в базовом элементе ТТЛ ИС низкое напряжение появляется на выходе схемы при подаче на все входы высоких потенциалов, то он выполняет операцию И-НЕ для положительной логики, т . е.

Рассмотрим алгоритм расчета базового элемента:
I. Задаемся типовыми значениями параметров диодов, транзисторов и резисторов.
2. Задаемся близкими к оптимальным значениям R1 / R2 = 2.. .4 и
R2 / R3 = 1…2.
3. По заданному значению S0 с помощью выражения

определяем U0max , т.е. получаем ограничения
.4. По заданному значению S1 с помощью выражения

определяем U1min и , используя зависимость
находим напряжение Е. При известном Е уточняем величину R2 / R3.5. Из выражений
по заданному значению Р и выбранным отношениям R1 / R2 и R2 / R3 определяем номиналы резисторов R1 , R2, R3 (с учетом
). 6. Из соотношений

находим максимальные и минимальные значения токов открытых транзисторов.
7. C помощью
и выбранного значения S3=1,2…1,3 определяем сопротивление rк3. 8. Из условия Uk2 < Uэн+UDз+U0 находим ограничения на величину Uк.н.2.
9. При заданных N, Т и Е и выбранных значениях и находим ограничения на величины β2min и β3min:

10. Из выражения
получаем значения β1max и Iвх 1у.11. Полагаем, что величина предельно допустимого тока транзистора VT3 в импульсном режиме Iк3min не должна превышать величины максимального тока Iк3 в статическом режиме более чем в три раза. При выбранном значении R2 считается, что rD ≈ rк3 ≈ rк4 . С помощью выражений
определяем номинальное значение R4.12. В соответствии с результатом статического расчета выбираем структуру и геометрию элементов схемы—транзисторов и резисторов. Для выбранных структур определяем параметры элементов τ0 , τр , Сэ, Ск, β, оцениваем величины паразитных емкостей в различных узлах схемы СП1, СП2, СП3, СП4, СП вых. Если параметры элементов оказываются существенно отличными от принятых в пунктах 1…11, необходимо произвести повторный расчет с уточненными их значениями.
13. В соответствии с выражениями td1 = t'd1 + tc и td2 =t'd2 +tн получаем величины задержки сигнала в схеме. Если найденные значения не удовлетворяют заданию, следует произвести соответствующую коррекцию параметров элементов и повторить расчет.
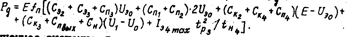
14. Определяем величину динамической мощности Рg:

Если полученное значение Pg превышает заданное, то уменьшают ток Iэ4max, путем увеличения сопротивления R4.
Одним из недостатков рассматриваемой схемы является то обстоятельство, что их нельзя объединять по выходу, поскольку они имеют низкое выходное сопротивление в обоих состояниях.
Чтобы осуществить объединение по выходу; можно использовать схемы ТТЛШ с тремя состояниями (рис. 3, б). Особенность их заключается в том, что все транзисторы, кроме VT4, являются транзисторами Шоттки и, кроме того, имеется управляющий вход, который удерживает VT1 в состоянии насыщения в прямом направлении, благодаря чему закрыт VT2, а следовательно, и VT5. В то же время управляющий вход шунтирует коллекторную цепь VT2, в результате чего транзистор VT4 также закрыт. В этом случае выход находится в третьем состоянии — в состоянии, высокого выходного сопротивления.
ТТЛШ с тремя состояниями позволяют производить некоторые весьма полезные операции, связанные с коммутацией. Заметим, что в этой схеме для обеспечения большого тока нагрузки плечо выход- кого каскада выполнено по схеме Дарлингтона. В этом случае диод в выходном каскаде не требуется, так как пара составных транзисторов создает падение напряжения на двух переходах “база – эмиттер” . Поскольку в транзисторах Шоттки отсутствует накопление носителей, они могут иметь большой коэффициент усиления по сравнению с обычными схемами. Однако переход Шоттки имеет собственную емкость, поэтому соответствующая постоянная времени RС должна быть минимизирована за счет тщательной разработки конструкции.
На рис. 3, в показана ТТЛШ ИС, выполняющая логическую операцию ИЛИ и состоящая из трех каскадов: входного, реализующего операцию ИЛИ на транзисторах VT1, фазоразделительного на транзисторе VT2 и выходного каскада на транзисторах VT3…VT6.
Рассмотрим работу схемы. Предположим, что в первоначальный момент на все входы схемы подаются низкие потенциалы. В этом случае входные диоды открыты и ток протекает через R0 и VD1 на вход схемы. На базах транзисторов VT1 устанавливается низкий потенциал, а на их выходах - высокий, который открывает фазоразделительный транзистор VT2; на коллекторе VT2 — низкий потенциал, недостаточный для открывания выходного транзистора VT4; на эмиттере VT2 - высокий потенциал, который открывает транзистор VT6 и еще больше подзапирает выходной транзистор VT4, и на выходе схемы устанавливается низкое напряжение.
В том случае, если хотя бы на один вход схемы подается высокий потенциал, то и на соответствующий вход транзистора VT1 также подается высокий потенциал (входной диод смещен в обратном направлении). Транзистор VT1 открыт, и на его коллекторе устанавливается низкий потенциал, транзистор VT2 закрыт, и на его выходе устанавливается высокий потенциал, который открывает соответственно транзисторы VT3 и VT4 и переводит схему в единичное состояние.
Рассматриваемая схема имеет дополнительные особенности, которые могут быть использованы в любых схемах ТТЛ. Входы зашунтированы диодами VD3 для защиты от высокочастотной генерации, а транзистор VT5 обеспечивает быстрое выключение VT6. Коэффициенты усиления транзисторов возрастают с повышением температуры, что приводят к увеличению времени закрывания VT6. Вместе с тем с ростом температуры увеличивается сопротивление резистора а его влияние уменьшается. В схему введен транзистор VT5, носящий название активного шунта. С повышением напряжения ток через этот транзистор возрастает и компенсирует температурные изменения.
Основные характеристики двухвходового базового элемента ТТЛ и ТТЛШ, выполняющего логические функции штрих Шеффера, ИЛИ и исключающая ИЛИ, приведены в табл. 3.
Таблица 3.
Основные характеристики схем ТТЛ и ТТЛШ
| Тип ИС | Логическая схема схема | Параметры | | ||||||||||||||
| Напряжение пита- ния E, B | Uвх1 min , B a | Uвх0 max , B | Uвых1 , B | Uвых0 , B | Iвх1 , мкА | Iвх0 , мА | Iвых1 , мкА | Iвых0 , мА | td1 , нс | td2 , нс | td , нс | P , мВт | N | | |||
| ТТЛ | И-НЕ | 5 | 2 | 0,4 | 5 | 0,2 | 40 | -1,6 | 250 | 16 | 8 | 35 | 20 | 15 | 10 | | |
| ИЛИ | 5 | 2 | 0,4 | 3,4 | 0,2 | 40 | -1,6 | -800 | 16 | 14 | 14 | 14 | 19 | 10 | |||
| Исклю- чаю- щая ИЛИ | 5 | 2 | 0,4 | 3,4 | 0,2 | 40 | -1,6 | -800 | 16 | 15 | 22 | 22 | 10 | 10 | |||
| ТТЛШ | И-НЕ | 5 | 2 | 0,4 | 5 | 0,5 | 50 | -2 | 250 | 20 | 4,5 | 5 | 4,7 | 19 | 10 | ||
| ИЛИ | 5 | 2 | 0,4 | 3,4 | 0,25 | 20 | -0,36 | -400 | 4 | 4,5 | 4,5 | 4,5 | 30 | 10 | |||
| Исклю- чаю- щая ИЛИ | 5 | 2 | 0,4 | 3,4 | 0,5 | 50 | -2 | -1 | 20 | 6,5 | 7 | 5 | 17,5 | 10 | |||
