Согласно закону постоянства состава, всякое чистое вещество
имеет постоянный состав независимо от способа его получения. Так, оксид
кальция можно получить следующими способами:

Независимо от того, каким способом получено вещество СаО, оно имеет
постоянный состав: один атом кальция и один атом кислорода образуют молекулу
оксида кальция СаО.
Определяем молярную массу СаО:

Определяем массовую долю Са по формуле:

Вывод: В химически чистом оксиде массовая
доля кальция всегда составляет 71,4% и кислорода 28,6%.
Задача: Одинаковое ли число молекул:
а) в 1 г азота и 1 г оксида углерода (IV);
б) в 1 л азота и 1 л оксида углерода (IV);
в) в 1 моль азота и 1 моль оксида углерода (IV)?
Во всех трех случаях условия нормальные.
Решение:
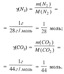
а) Пользуясь формулой = m/М,
где — число молей, га - масса
(в г), М - молярная масса (в г/моль), находим число молей, соответствующее
1 г N2
и 1 г С02:
Отсюда следует, что 1 г N2
и 1 г СО2
содержат различное количество вещества, то есть различное число молекул.
|