ОТВЕТЫ И РЕШЕНИЯ
Сложение и разложение сил



Система находится в равновесии, следовательно показания каждого динамометра 3 Н. На рис. видно 3 деления, следовательно цена деления динамометра 1 Н/дел. Силы натяжения нитей в точках А и В по 3 Н (если пренебрегаем весом динамометров).
Так как весы находятся в равновесии, то масса груза равна массе гири, т. е. 4 кг.




Рис. 86. R = F1 + F2 = 25 Н + 50 Н = 75 Н
(обе силы направлены в одну сторону: вниз).
Рис. 87. R = F2 - F1 = 90 Н - 30 Н = 60 Н
(силы направлены в противоположные стороны).

Тело перемещается в сторону действия большей силы FQ, ее приводит в движение сила R = 1 Н.











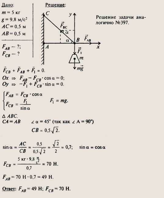
Решается аналогично задаче №388.

Решается аналогично задаче №390.


2. Определим силу притяжения трех шаров.

Шары равных радиусов, объемов, масс, следовательно силы притяжения между шарами равны. Результирующая сила притяжения шаров 1—2 и 1—3 равна

Такие же силы притяжения между другими шарами.






