Многочлены. Уравнения
высших степеней, системы уравнений
• Функция

называется многочленом степени

числа а0, а1; ..., аn — коэффициентами многочлена.
Всякий многочлен М(х) можно поделить с остатком на многочлен N(x), т. е. получить равенство
М(х) = Q(x)N(x) + R(х).
Здесь Q(x) и R(х) — также некоторые многочлены: Q(x) — частное, а R(х) — остаток от деления М(х) на N(x). При этом степень остатка R(х) строго меньше степени делителя N(x). В частности, если N(x) = х - с, то М(х) = (х - c)Q(x) + b, где число b равно М(с), т. е. остаток отделения многочлена М(х) на (х - с) равен М(с) (теорема Безу).
Если М(с) = 0, то число с называется корнем многочлена М(х). Пусть М(х) - - многочлен степени n, а х = с1 — его корень; тогда М(х) = (х - c1)Q(x), где Q(x) имеет степень (n - 1). Если же известны n корней с1; ..., сn многочлена М(х), то
М(х) = а0(х - x1)(x - х2) ... (х - хn),
где а0 — коэффициент при старшей степени многочлена М(х) (старший коэффициент).
Разделите «углом» многочлен М(х) на многочлен N(x), укажите частное и остаток (1—6):
Задание 1.
М(х) = х3 - Зх2 + 5х - 6, N(x) = х -- 2
Ответ:
х3 - Зх2 + 5х - 6 = (х2 - х + 3) (х - 2)
Задание 2.
М(х) = х3- х2- 8х + 12, N(x) = x2 + 1
Ответ:
х3 - х2 - 8х + 12 = (х - 1) (х2 + 1) - 9х + 13
Задание 3.
М(х) = х3 - Зх + 2х - 1, N(x) = х2 + х
Ответ:
х3 - Зх2+ 2х - 1 = (х - 4) (х2 + х) + 6х - 1
Задание 4.
М(х) = х4 + х2 + 1, N(х) = х2 + х + 1
Ответ:
х4 + х2 + 1 = (х2 - х + 1) (х2 + х + 1)
Задание 5.
М(х) = х4 + 4, N(х) = х2 - 2х + 2
Ответ:
х4 + 4 = (х2 + 2х + 2) (х2 -2х + 2)
Задание 6.
М(х) = х10 +х2 + 1, N(x) = x2 + x+1
Ответ:
X10 + X2 + 1 = (X8 - Х7 + Х5 - X4 + Х2- X + 1) (X2 + X + 1)
Найдите остатки от деления многочлена М(х) на х; х - 1; х + 3; 2х - 4 (7—12):
Задание 7.
М(х) = х2 +2х - 3
Ответ:
-3;0;0; 2,5
Задание 8.
М(х) = х3 - 2х - 3х
Ответ:
0;-4;-36; 3
Задание 9.
М(х) = х4 - 7х2 - 6x + 1
Ответ:
1;-11; 163;-6,5
Задание 10.
М(х) = х4 + 81
Ответ:
81; 82; 0; 48,5.
Задание 11.
М(х) = х6 - x5 - 6х4 - x2 + х + 6
Ответ:
6; 0; 492;-30
Задание 12.
М(х) = х5 + Зx4 + Зх3 + 9х2 - 4х - 12
Ответ:
-12; 0; 0; 60
Задание 13.
При каком а остаток от деления многочлена
М(х) -- 2х3 - Зх2 + ах - 6 на х - 2 равен 6?
Решение:
По теореме Везу остаток от деления М(х) на (х — 2) равен М(2). Отсюда М(2) = 2а - 2 = 6.
Ответ:
а = 4
Задание 14.
При каком а остаток от деления многочлена
М(х) = = 2х5 - Зх3 + 11х2 - х + а на х + 2 равен 3?
Ответ:
а = -3
Задание 15.
Найдите числа а и b, если остаток от деления
М(х) = 2х3 - Зх2 - ах + b на (х + 1) равен 7, а от деления на (х - 1) он равен 5.
Ответ:
а = 3; b = 9
Задание 16.
При делении многочлена Р(х) на (х - 1) в остатке получается 2, а при делении на (х - 2) в остатке получается 1. Чему равен остаток от деления Р(х) на (х - 1)(х - 2)?
Решение:
Запишем многочлен Р(х) в виде Р(х) = Q(x)(x - 1)(х - 2) + ах + b, где Q(x) — частное, а (ах + b) — остаток от деления Р(х) на (х - 1)(х - 2). Используя теорему Безу, получаем

откуда а = -1, b = 3.
Ответ:
-х + 3
Задание 17.
При каких значениях а и b многочлен
М(х) = ах3 + + bх2 - 37х + 14 делится на (х2 + х - 2) без остатка?
Указание:
х2 + х - 2 = (х - 1)(х + 2)
Ответ:
а = 15, b = 8
Задание 18.
При каких значениях а и b многочлен
М(х) = ах3 + + bх2 - 73х + 102 делится на х2 - 5х + 6 без остатка?
Решение:
Так как х2 - bх + 6 = (х - 2) (х - 3), то М(х) делится на (х - 2) и на (x - 3) без остатка. Используя теорему Безу, получаем

откуда a = 2, b = 7.
Ответ:
a = 2, b = 1
Задание 19.
Составьте уравнение третьей степени, имеющее корни:
а) 1; 3; -2;
б) 1; 1; 3;
в)

Ответ:
а) (х - 1)(x - 2)(x + 2) = х3 - x2 - 4x + 4 = 0
b) X3 - 5x2 + 7x - 3 = 0;
в) x3 - 3x2 - 2x + 6 = 0
Задание 20.
Найдите многочлен наименьшей степени с целыми коэффициентами, который имел бы корнем число

Ответ:
x4 - 10x2 + 1
Сократите дроби (21—26):
Задание 21.

Решение:
Покажем на этом примере способ отыскания общих множителей (общих делителей) двух многочленов, основанный на алгоритме Евклида деления с остатком. Если М(х) = Q(x) • N(x) + R(х), то остаток R(x) имеет те же общие делители, что и многочлены М(х) и N(x), но его степень строго меньше степени делителя. Затем делим делитель N(x) на R(x) и т. д. В данном случае:

Таким образом, общий делитель исходных многочленов (с точностью до числового
множителя) равен
(х2 - 2х + 1) = (х - 1)2.
Теперь получаем

Как всякий общий способ, такой способ сокращения дроби достаточно громоздок.
Иногда можно сократить выкладки, разложив многочлен на множители.
Ответ:

Задание 22.

Ответ:

Задание 23.

Ответ:

Задание 24.

Решение:
Покажем способ сокращения дроби в том случае, если известно разложение одного из многочленов на множители. Легко видеть, что
2х3 - х2 + х - 2 = 2 (х3 - 1) - х(х - 1) = 2(х - 1) (х2 + х + 1) - х(х - 1) = (х - 1) (2х2 + х + 2)
Используя теорему Безу, убеждаемся, что числитель не делится на (х -1). Поэтому дробь будет сократимой только в том случае, если числитель разделится без остатка на (2х2 + х + 2), так как этот многочлен далее на множители не раскладывается. Имеем
2х4 + х3 + 4х2 + х + 2 = (х2 + 1)(2х2 + х + 2)
Ответ:

Задание 25.

Ответ:

Задание 26.

Ответ:
Дробь несократима.
Решите следующие уравнения (27—36), предварительно подобрав один или несколько корней многочлена. Запишите разложения входящих в эти уравнения многочленов на множители:
Задание 27.
X3 - 8х2 + 13х - 6 = 0
Решение:
Попытаемся найти целочисленные решения этого уравнения. Все такие решения являются делителями свободного члена, т. е. числа 6.
Это числа — ±1; +2; ±3; ±6. Находим, что х = 1 - корень этого уравнения. Разделив многочлен
х3 - 8х2 + 13х - 6 на (х - 1), получим
х3 - 8х2 + 13х - 6 = (х2 -7х + 6)(х-1) = 0
Решив квадратное уравнение х2 - 7х + 6 = 0, находим остальные решения исходного уравнения.
Ответ:
{1; 1; 6}
Задание 28.
х3 - 4х2 + х + 6 = 0
Ответ:
{-1; 2; 3}; х3 - 4х2 + х + 6 = (х + 1)(х - 2)(х - 3)
Задание 29.
x4 - Зх3 - 8х2 + 12x- + 16 = 0
Ответ:
{-1; ±2; 4}; х4 - Зх3 - 8х2 + 12х + 16 = (х + 1)(х + 2)(х - 2)(х - 4)
Задание 30.
x4 - Зх3 + х2 + Зх - 2 = 0
Ответ:
{-1; 1; 1; 2}; х4 - Зх3+ х2 + Зх - 2 = (х +
1)(х - 2)(х -1)2
Задание 31.
x4 - 2x3 + 5х2 - 8х + 4 = 0
Ответ:
(1; 1}; х4 - 2х3 + 5х2 - 8х + 4 = (х - 1)2 (х2 + 4)
Задание 32.
х4 - 8х3 + 48х2 - 128х + 87 = 0
Ответ:
{1; 3}; х4 - 8х3 + 48х2 - 128х; + 87 = (х - 1)(х - 3)(х2 - 4х + 29)
Задание 33.
Зх3 - 4x2 + 5х - 18 = 0
Ответ:
{2}; Зх3 - 4х2 + bх - 18 = (х - 2)(3х2 + 2х + 9)
Задание 34.
27x3 + 9x2 - 48x + 20 = 0
Решение:
Сделаем замену переменой, полагая t = Зх. Получим уравнение
t3 + t2 - 16t + 20 = 0, у которого будем искать целочисленные решения. Ими могут быть только числа:
±1; ±2; +4; ±5; ±10; ±20. Подбираем корень t = 2. Разделив многочлен
t3 + t2 - 16 + 20 на (t - 2), получим
t3 + t2 - 16 + 20 = (t - 2)(t2 +3t - 10) = (t - 2)2(t + 5).
Таким образом, t1 = t2 = 2; t3 = -5, откуда
Ответ:

Задание 35.
Зx4 + 5x3 - 5х2 - 5х + 2 = 0
Ответ:

Задание 36.
(х + 1)3 + (2х - З)3 = 27х3 - 8
Указание:
Разложите правую и левую части уравнения на множители.
Ответ:

Примечание. Другие уравнения высших порядков, сводящиеся к квадратным с помощью замены переменной, будут рассмотрены ниже.
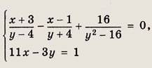
Решите следующие линейные системы (37—46). Для систем 37—40 приведите графическую иллюстрацию, построив соответствующие этим уравнениям прямые.
Задание 37.

Ответ:
(4; -2)
Задание 38.

Ответ:
(4; 1)
Задание 39.

Ответ:
(с; 2 - Зс), где с € R.
Задание 40.

Ответ:
Задание 41.

Решение:
Данную систему можно легко решить подстановкой, выразив какое-либо неизвестное, например х, из первого уравнения и подставив это выражение в два других уравнения. Однако на этом примере мы приведем общий метод решения систем линейных уравнений, называемый методом Гаусса. Этот метод основан на том, что система перейдет в равносильную, если любое уравнение системы заменить суммой этого уравнения и любого другого уравнения системы, умноженного на любое число. Равносильность системы не нарушается и при перестановке местами любых двух уравнений. Заменив второе уравнение системы его суммой с первым уравнением, умноженным на ( -1), а третье уравнение — его суммой с первым, умноженным на ( -2), получим следующую, равносильную исходной, систему уравнений:

Далее мы для удобства умножили второе уравнение на

Затем заменили третье уравнение его суммой со вторым уравнением, умноженным на ( -1). Последняя из выписанных систем — система треугольного вида, равносильна исходной, но легко решается. Получаем: z = 2, из второго уравнения следует, что у = 0, а тогда из первого — что х = 1.
Ответ:
(1; 0; 2)
Задание 42.

Ответ:
(1; 1; 0)
Задание 43.

Ответ:
(1; 2; 1)
Задание 44.

Решение:
Снова применим метод Гаусса. Получаем системы:

Мы видим, что последнее уравнение обратилось в тождество (0 = 0), т. е. оказалось
следствием первых двух. Если теперь положить z = с, где с € R — любое число,
то переменные х и у находятся однозначно.
Получаем: х = 5 - 2с; у = 2с - 4; z = с, т. е. система имеет бесконечно много решений, но все они выражаются указанным образом.
Ответ:
(5 - 2с; 2с - 4; с), с € R
Задание 45.

Ответ:
(2с - 1; с + 1; с), с € R
Задание 46.

Ответ:

Задание 47.
Найдите, при каких а совместна система:
Решение б):
Система несовместна только в том случае, если

откуда а = -2. Геометрически указанное условие означает, что прямые, являющиеся графиками уравнений системы, параллельны, но не совпадают. При всех других значениях а система совместна.
Ответ:
а) а € R \ { -1}
b) a € R \ {-2}
Задание 48.
При каких b не имеет решений система:
Решение б).
Если

то система совместна (в этом случае прямые, являющиеся графиками уравнений системы, не параллельны). Следовательно, система может оказаться несовместной только при

или

Подставляя эти значения в систему,получаем:

Первая из систем, очевидно, совместна, а вторая несовместна.
Ответ:
а) b = -3
b)

Задание 49.
Найдите все а, при которых решения системы

удовлетворяют условиям х > 0; у > 0.
Решение:
Решив данную систему, находим х = 5а - 140, у = 60 - 2а. Теперь из системы 5а - 140 > 0, 60 - 2а > 0, получаем, что 28 < а < 30.
Ответ:
а € (28; 30)
Задание 50.
Найдите все а, при которых решения системы

удовлетворяют условиям: х < 0; у < 0.
Ответ:
а €(-12; -10)
Задание 51.
Найдите а и b, при которых система уравнений

имеет единственное решение х = 1, у = 1.
Ответ:
а = 1, b = -1 или а = -1, b = 1
Задание 52.
Числа а, b и с таковы, что система

имеет бесконечно много решений, причем х = 1, у = 3 — одно из них. Найдите числа
a, b и с.
Ответ:
а = 0, b = 0, с = 2,25 или а = 2, b = -1, с = 1
Задание 53.
Найдите многочлен третьей степени, который при делении на х дает в остатке 1, при делении на (х - 2) — в остатке 3, а на (х2 - 1) делится без остатка.
Решение:
Искомый многочлен имеет вид
Р(х) = (ах + b)(х2 - 1).
Используя теорему Везу, получаем

откуда а = 1, b = -1. Итак, Р(х) = (х - 1)(х2 - 1) = х3
- х2 - х + 1.
Ответ:
х3 - х2 - х + 1
Задание 54.
Найдите все целые числа а и b, для которых один из корней уравнения
Зх3 + ах2 + bх + 12 = 0 равен

Решение:
Подставим число

в уравнение и сгруппируем члены с множителем

Получим

Так как а и b — целые числа, то это возможно только в том случае, если

Ответ:
(-12; 6)
• В отличие от систем линейных уравнений общего метода решения нелинейных систем не существует. Можно указать лишь те или иные приемы решения некоторых классов таких систем. Наиболее просто дело обстоит в том случае, если одно или несколько уравнений данной системы являются линейными. В этом случае выражаем часть переменных через другие и выполняем их подстановку в оставшиеся уравнения.
Решите системы (55—66):
Задание 55.

Ответ:
{(5; 3)}
Задание 56.

Ответ:
{(4; 5); (5; 4)}
Задание 57.

Ответ:
{(3; 2); (2; 3)}
Задание 58.

Решение:
Подставляя у = 5 - х в первое уравнение, получаем квадратное уравнение
х2 - 7х +6 = 0. Отсюда х1 = 1; у1 = 4; х2 = 6; у2 = -1.
Ответ:
{(1; 4)}; (6;-1)}
Задание 59.

Ответ:
{(5; 1)}
Задание 60.

Решение:
Преобразуя левую часть первого уравнения системы, получим

Значит, данная система равносильна следующей:

Отметим, что важно не потерять условие у2 # 16. В самом деле, решив
систему из первых двух уравнений, находим х = -1, у = -4. Следовательно, исходная
система решений не имеет.
Ответ:

Задание 61.

Решение:
Разложим левую часть второго уравнения на множители:
х3 + у3 = (х + у)(х2 - ху + у2). Далее, учитывая, что х + у - 5, приходим к системе

откуда x1 = 2, у1 = 3, а Х2 = 3, у2
= 2. Заметим, что данная система относится к классу симметричных систем, для
которых удобна замена х + у = и, ху = V, что и проявилось при решении (см. задачи
67—80).
Ответ:
{(2; 3); (3; 2)}
Задание 62.

Ответ:
{(2; 1);(-1;-2)}
Задание 63.

Указание:
Можно воспользоваться формулой возведения в четвертую степень:
(а + b)4 = а4 + 4а3b + 6а2b2 + 4ab3 + b4.
Ответ:
{(3; 2); (-2; -3)}
Задание 64.

Решение:
Здесь можно использовать подстановку х = 6 - у. Мы приведем другой способ. Второе уравнение разложим на множители:
х4 + ху2 - 2х2 = (у2 + 2х)(у2 - х)
Поэтому исходная система равносильна совокупности систем:

Первая из этих систем не имеет решений, а вторая дает {(9; -3); (4; 2)}.
Ответ:
{(9; -3); (4, 2)}
Задание 65.

Указание:
Подставьте выражения

во второе уравнение.
Ответ:
{(12; 6; 4); (-12; -6; -4)}
Задание 66.

Решение:
Умножив первое уравнение на 2 и сложив со вторым, имеем z = 5x - 11, а тогда у = 2х - 3. Подставим эти выражения в третье уравнение и получим квадратное уравнение для вычисления переменной х:

Теперь находим решения системы.
Ответ:

• Система называется симметричной относительно переменных х и у, если она не меняется при замене х на у, аунах. Симметричная система упрощается, если сделать подстановку
u = х + у; v = ху.
Решите симметричные системы (67—80):
Задание 67.

Решение:
Системы 67—80 — симметричные. Если это система двух уравнений с двумя переменными, то рекомендуется сделать замену, полагая u = х + у, v = ху и используя равенство
x2 + у2 = (х + у)2 -- 2ху = u2 - 2v
Для данной системы имеем

Отсюда

а тогда

Теперь решаем системы:

Первая система имеет решения {(1; 2); (2; 1)}, а вторая решений не имеет.
Ответ:
{(1; 2); (2; 1)}
Задание 68.

Ответ:
{(1; 2); (2; 1)}
Задание 69.

Ответ:
{(6; 9); (9; 6)}
Задание 70.

Ответ:
{(3; 4); (4; 3)}
Задание 71.

Решение:
Воспользуемся тем, что х3 + у3 =(х + у)3 - 3(х + у)ху.
Сделав замену х + у = u, ху = v, получим X3 + у3 = u3 - Зuv, а исходная система примет вид

Решив последнюю систему, находим х1 = 4; у1 = 1; Х2
= 1; у2 = 4.
Ответ:
{(4; 1); (1; 4)}
Задание 72.
Указание:
Положите х + у = и, ху = и и используйте равенство х3 + у3 = u3 - Зuv.
Ответ:
{(3; -2); (-2; 3)}
Задание 73.

Ответ:
{(1,2); (2, 1)}
Задание 74.

Решение:
Так как система симметричная, то получаем х + у = u, ху = V. Теперь используем равенство
х4 + у4 - (х2 + у2)2 - 2х2у2 = [(х + у)2 - 2ху]2 - 2х2у2 = (u2 - 2v)2 - 2v2.
Исходная система примет вид

Полагая v2 = t, получим квадратное уравнение
2t2 + 97t - 6084 = 0, откуда t1 = 36; t2 = -134,5 (постороннее решение).
Теперь находим v1 = 6; v2 = -6, откуда u2 = 25 (при v = 6); u2 = -25 (при v = -6).
Следовательно, исходная система равносильна совокупности систем

Ответ:
{(3; 2)}, (2; 3), (-3; -2), (-2; -3)}
Задание 75.

Ответ:
{(3; 2), (2; 3), (-3; -2), (-2; -3)}
Задание 76.
Ответ:
{(3; 1), (1; 3), (-3; -1), (-1; -3)}
Задание 77.

Решение:
Система симметрична относительно всех переменных х, у, z. Выполним замену
х + у + z = u; ху + xz + уz = v; хуz = w
используя при этом равенство х3 + у3 + z3 = u3 - Зuv + Зw.
Тогда данная система примет вид

Выразим из первого равенства z = 1 - (х + у) и подставим это выражение во второе
и третье:

где теперь х + у = s; ху = t. Подставляя

в первое уравнение, получим
s3 - 2s2 - 3s = 0, откуда s1 = 0; t1 = -4; s2 = 3; t2 = 2; s3 = -1; t3 = -2.
Теперь решаем системы

а значения переменной г находим из равенства

Ответ:
{(2; -2; 1); (-2; 2; 1); (2, 1, -2); (1, 2; -2); (-2; 1; 2); (1; -2; 2)}
Задание 78.
Указание:
Учитывая, что система симметрична относительно х и у, сделайте замену х + у = u, ху = v.
Ответ:
{(1; -1; -2); (1; 2; 1); (-1; 1; -2); (-1; 2; -1); (2; 1; 1); (2; -1; -1)}
Задание 79.

Решение:
Система симметрична относительно переменных х и г. Сделав замену х + z = u, xz = v и не меняя у, получим

Решив последнее уравнение второй системы, находим у = 3, а тогда u = 10; v =
9, т. е.

Ответ:
{(1; 3; 9); (9; 3; 1)}
Задание 80.

Ответ:
{(4; 3; 6); (4; 6; 3)}
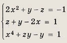
Решите системы 81—85, воспользовавшись однородностью левых частей уравнений этих систем:
Задание 81.

Решение:
Заметим, что у = 0 не является решением системы ни при каком значении х. Поэтому система равносильна следующей:

Мы воспользовались однородностью первого уравнения. Теперь, решив системы

получаем решения исходной системы.
Ответ:

Задание 82.
Ответ:

Задание 83.

Решение:
Умножив первое уравнение на 3, второе на 28 и сложив результаты, получим равносильную систему

Первое уравнение этой системы является однородным. Разделив на у2
обе его части (потери решений нет!) и решив полученное квадратное уравнение,
имеем

откуда подстановкой находим решения данной системы.
Ответ:

Задание 84.

Ответ:

Задание 85.

Ответ:

Решите уравнения и системы, сделав подходящие замены переменных (86—93):
Задание 86.

Указание:
Сделайте замену х2 - 2х - 3 = t.
Ответ:

Задание 87.

Указание:
Сделайте замену х3 - х2 = t.
Ответ:
{-1; 2}
Задание 88.
х(х - 1)(х + 1)(х + 2) = 24
Решение:
Заметим, что (х - 1)(х + 2) = х2 + х - 2. Тогда, полагая t = х2 + х, получим уравнение
t2 - 2t - 24 = 0, откуда t1 = -4, t2 = 6.
Уравнение х2 + х = -4 решений не имеет, а х2 + х - 6 = 0 дает x1 = -3; х2 = 2.
Ответ:
{-3; 2}
Задание 89.
(х - 4)(х - 5)(x - 6)(x - 7) = 1680
Указание:
Сделайте замену t = х2 - 11х.
Ответ:
{-1; 12}
Задание 90.
(х2 + х + 1)(2x2 + 2х + 3) = 3(1 - х - х2)
Ответ:
{-1;0}
Задание 91.

Решение:
Переписав уравнение в виде

положим

и получим t2
- 9t - 22 = 0. Отсюда t1 = -2; t2 = 11.
Теперь решаем уравнения

Первое из них не имеет решений, а второе дает

Ответ:

Задание 92.
Указание:
Сделайте замену

Ответ:

Задание 93.
(Зх2 - 7х- 2)2 + 5х2(3х2 - 7х - 2) = 24x4
Решение:
Перепишем уравнение в виде
t2 + 5x2t - 24х4 = 0, где t = Зх2 - 7х - 2,
и решим его относительно переменной t. Получим t1 = -8x2; t2 = Зх2. Теперь решаем квадратные уравнения:
Зх2 - 7х - 2 = -8х2, т. е. 11х2 - 7х - 2 = 0; Зх2 - 7х - 2 = Зх2, т. е. 7х + 2 = 0.
Ответ:

Решите биквадратные или сводящиеся к биквадратным уравнения (94—99):
Задание 94.
x4 - 19x2 + 9 = 0
Ответ:
{±3}
Задание 95.
4x4 - Зх2 - 1 = 0
Ответ:
{+1}
Задание 96.
х8 - 17х4+ 16 = 0
Указание:
Сделайте замену t = x4.
Ответ:
{±2; ±1}
Задание 97.
36х8 - 13х4 +1 = 0
Ответ:

Задание 98.
(х - 5)4 + (х - З)4 = 2
Решение:
Положим t = х - 4. Тогда исходное уравнение примет вид
(t - 1)4 + (t + 1)4 = 2, т. е. 2t4 + 12t2 = 0, t = 0.
Следовательно, решением исходного уравнения является только х = 4.
Ответ:
{4}
Задание 99.
(х + З)4 + (х - 1)4 = 82
Указание:
Сделайте замену t = х + 1.
Ответ:
{-2; 0}
Решите возвратные уравнения 100—103 (см. указания и решения к этим задачам):
Задание 100.
х4 + 5х3
+ 2х2 + 5х + 1 = 0
Решение:
Уравнение является возвратным. Записав его в виде

получим для

уравнение t2 + 5t = 0, откуда t1 = 0; t2 = -5.
Теперь решаем уравнения

Первое не имеет решений, а второе дает корни

Ответ:
Задание 101.
4х4 - 8х3 + Зх2 - 8х + 4 = 0
Указание:
Разделите обе части уравнения на х2 и сделайте замену

Ответ:

Задание 102.
х5 + 2х4 + 2х3 + 2х2 + х = 0
Ответ:
{-1; 0}
Задание 103.
2х4 + Зх3 - 4х2 - 3х + 2 = 0
Указание:
Поделите обе части уравнения на х2 и сделайте замену, положив

Ответ:

Решите уравнения и системы уравнений (104—120):
Задание 104.
(х - З)4 + (х - 2)4 = (2х - 5)4
Решение:
Положим u = х - 3; v = х - 2. Тогда исходное уравнение примет вид
u4 + v4 = (u +v)4, т. е. 2uv(2u2 + 3uv + 2u2) = 0.
Отсюда: либо u = 0, а тогда х = 3, либо v = 0, а тогда x = 2, либо
2u2 + + Зuv + 2v2 = 0. Но последнее уравнение ненулевых решений не имеет.
Ответ:
{2, 3}
Задание 105.
(2х + 1)4 + (Зх - 1)4 = 625х4
Указание:
Положите u = 2х + 1; v = Зх - 1 и запишите уравнение в видеu4 + v4 = (u + v)4.
Далее см. решение задачи 104.
Ответ:

Задание 106.
(7х + З)4 + (2х - б)4 = (Зх + 7)4 + (6х - 2)4
Решение:
Запишем уравнение в виде
(7х + З)4 - (Зх + 7)4 = (6х - 2)4 - (2х - 6)4
и разложим обе части равенства на множители. Получим
(10х + 10)(4х - 4) [(7х + З)2 + (Зх + 7)2] = (8х - 8)(4х + 4) [(6х - 2)2 + (2х - 6)2],
откуда x1 = 1, х2 = -1, а остальные корни найдем, решив уравнение
5[(7х + З)2 + (Зх 4 7)2] = 4[(6х - 2)2 + (2х - б)2].
Подсчет показывает,

Ответ:

Задание 107.
|11 + х + у -4ху| + |х2у + ху2 - 20| = 0
Указание:
Уравнение равносильно системе

где u = ху; v = х + у.
Ответ:

Задание 108.
|2ху + у2 - 4x - Зу + 2| + |ху + Зу2 - 2x - 14у + 16| = 0
Решение:
Уравнение равносильно системе

Вычтем из первого уравнения второе, умноженное на 2. Получим уравнение
5у2 - 25у + 30 = 0, откуда у = 2 или у = 3. Теперь решаем системы уравнений

Первая из этих систем справедлива при любом х € R, т. е. ее решением является
множество пар чисел (с; 2), где с € R. Решение второй системы есть (-1; 3).
Ответ:
{(-1; 3); (с; 2)}; с € R
Задание 109.

Ответ:

Задание 110.

Ответ:
Задание 111.

Указание:
Положите х2у3 = u; х3у2 = v.
Ответ:
{(1; 2)}
Задание 112.

Указание:
Запишите систему в виде

откуда ху = 6, а тогда 2х - у = 1.
Ответ:

Задание 113.

Указание:
Воспользуйтесь тем, что система симметричная и сделайте замену х + у - u; ху = V.
Ответ:
{(1; 2); (2; 1)}
Задание 114.

Ответ:

Задание 115.

Указание:
Воспользуйтесь однородностью первого уравнения.
Ответ:
{(0; 0); (3; 2); ( -2; -3)}
Задание 116.

Решение:
Система симметрична относительно переменных х и у. Сделаем замену u = х + у; v = ху, учитывая,
что х2 + у2
= u2 - 2v
х3 + у3 = u(u2 - Зv).
Получим
u = Зz;
u2 -2v = 5z;
u3 - Зuv = 9z.
Подставляя в третье уравнение выражения u = Зz, u2 - 2v = 5z, имеем Зz(5z - v) = 9z.
Отсюда либо z = 0, а тогда и х = у = 0, либо v = 5z - 3.
Теперь из второго уравнения
получаем 9z2 - 2(5z - 3) = 5z,
т. е.

Таким образом, приходим к системам

из которых находим все решения исходной системы.
Ответ:
((0; 0; 0); (2; 3; 1); (3; 2; 1);

Задание 117.

Ответ:

Задание 118.

Указание:
Выразите у и z через х из первых двух уравнений и подставьте в третье.
Ответ:
{(1; 0; 3); (-1; -2; 1)}
Задание 119.

Решение:
Первое уравнение системы является квадратным относительно (Зх - 2у) = t. Действительно,
9х2 - 12ху + 4(у2 = (Зх - 2у)2 = t2, 6х - 4у = 2t.
Таким образом, t2 + 2t + 1 = 0 <=>t = -1и система принимает вид

Ответ:

Задание 120.

Ответ:
{(1; 1);(-1;2);(3; 1); (-3;-1)}
Задание 121.
При всех а и b решите системы уравнений:

Решение а):
Прибавив к первому уравнению второе, умноженное на 3, получим

Пусть 2а + 3 # 0. Тогда система имеет единственное решение

Если 2а + 3 = 0, a (b + 3) # 0, то первое уравнение системы не выполняется ни
при каких х, поскольку
0 • х всегда равно нулю и, следовательно, система не имеет решений.
Если 2а + 3 = b + 3 = 0,
то первое уравнение системы выполняется при всех х, т. е. решениями системы
служат любые числа х и у, связанные равенством х + у = 1.
Ответ:
при

при

при

Задание 122.
При всех а решите систему уравнений
Ответ:
при

при

Задание 123.
В зависимости от а найдите число решений системы

Ответ:
При

нет решений; при

четыре решения; при

восемь решений.
Задание 124.
При каких а система уравнений

имеет единственное решение?
Указание:
Если данное уравнение имеет единственное решение, то в этом решении значение х равно нулю (так как если пара

— решение системы, то

— тоже решение). Подставив х = 0 в систему, найдите два значения параметра а, при которых возможна единственность. Подстановкой этих значений параметра в исходную систему одно из значений можно будет отбросить.
Ответ:
а = 2
Задание 125.
При каких а система уравнений

имеет ровно два решения?
Указание:
Решив первое уравнение системы, найдите множество его решений [1; 6] U {-3; -2}. Второе уравнение имеет решения х1 = а - 4 и Х2 = а. Теперь выберите значения а, при которых X1 и х2 принадлежат множеству [1; 6] U {-3; -2}.
Ответ:

Задание 126.
Найдите все значения параметра а, при которых система

имеет решение, причем любое ее решение удовлетворяет уравнению х + у = 0.
Ответ:
а = +1
Задание 127.
Сколько различных решений в зависимости от а имеет уравнение
|х4 - 13х2 + 36| = а(х2 - 9)?
Решение:
Разложив выражение под знаком модуля на множители, перепишем исходное уравнение в виде
|(х2 - 9)(x2 - 4)| = а(х2 - 9)<=> |х2 - 9||х2 - 4| = а(х2 - 9).
Рассмотрим три случая:
1) если х2 - 9 = 0 т. е. х = ±3, то уравнение верно при всех а;
2) если х2 - 9 > 0, то уравнение имеет вид a = |х2 - 4|;
3) если х2 - 9 < 0 (-3 < х < 3), то a = - |x2 - 4|.
Изобразим множество этих точек на плоскости хОа.

Количество решений уравнения — это количество точек пересечения горизонтальной прямой с построенным мно жеством.
Ответ:
при

два решения; при

четыре решения; при а = -4 => пять решений; при а € (-4; 0) => шесть решений.
Задание 128.
Решите уравнение

Ответ
При

при
при

при
при

