Московский Государственный Строительный Университет
Кафедра деталей машин
Расчет болтовых соединений и штифтов
Студент: Кузнецов П. А.
Факультет: ТГВ Курс: III Группа: 2
Вариант № 27
1998
Исходные данные.
Число болтов Z =6;
нагрузка на кронштейны и пластины F =7.5 кН.
Расчет.
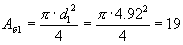
Расчетный внутренний диаметр резьбы
где
- допускаемые напряжения в винте при растяжении,
,
- коэффициент запаса прочности.
, принимаем болт d=6, d
вн
=4.92.
, где
F p - расчетная нагрузка на один болт,
,
- коэффициент запаса прочности при неконтролируемой затяжке для болта М6 из углеродистой стали.
2.1. При переменной нагрузке затяжка болтов производится до приложения силы:
3. Расчет болта при условии нагружения по п.2.1., но с контролируемой затяжкой.
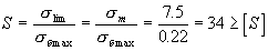
Коэффициент запаса для болтов из углеродистой стали при статической нагрузке
4. Подобрать длину болта l и его резьбовой части l 0 , а также гайку для этого болта.
l =50 мм , l 0 = 18 мм , высота гайки Н г =5 мм
Болт М6х50.36 ГОСТ 7798-70
Гайка М6.4 ГОСТ 5915-70
5. Определить аналитически величину предварительной затяжки болта.
,
, где
l б
- податливость болта, равная его деформации при единичной нагрузке,
l д -
суммарная податливость соединяемых деталей.l 2 - длина гладкой части стержня болта, мм ;
l 1 - расчетная длина нарезной части болта между гладкой частью болта и опорной поверхностью гайки, плюс половина длины свинчивания (высоты гайки), мм ;
Е б - модуль упругости материала болта ( Е б =2.1 · 10 5 Н/мм 2 );
А б -площадь сечения гладкой части болта, мм 2 ;
А б1 - площадь сечения нарезанной части болта, мм 2 ;
;
.
Для соединений кронштейнов без прокладок:
Е д - модуль упругости материалов деталей (для стальных Е д =2.1 · 10 5 Н/мм 2 );
А д - площадь поперечного сечения деталей в месте распространения деформации, мм 2 ;
,
а - диаметр опорной поверхности гайки, который в расчетах можно принять равным S б ;
d отв - диаметр отверстия под болт, d отв = 6.6 мм.
6. Определение величины сил, действующих после приложения внешней нагрузки.
6.1. Графическое определение
,
,
b =
81
°
C
.
,
,
,
6.2. Аналитическое определение
,
,
,
7. Расчет болта на статическую прочность (по максимальным напряжениям).
, где
s
бmax
- максимально возможные напряжения в болте.
,
,
8. Проверка болта на выносливость от действия на соединение возможной переменной внешней нагрузки, изменяющейся по циклу от F min =F зат до F max =F ’ б с амплитудой F вн б
