Варианты проверочных работ
Вариант 1
Задание 1.
Решите уравнение

Ответ
Задание 2.
На координатной плоскости отметьте штриховкой множество точек, координаты которых удовлетворяют системе неравенств

Задание 3.
При каких значениях коэффициентов а и b решением системы

является пара чисел х = 1, у = -1?
Ответ
Задание 4.
Постройте график уравнения
х2 + у2 + 4х - 6у - 3 = 0.
Задание 5.
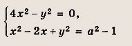
При каких значениях а система уравнений

имеет единственное решение?
Задание 6.
При всех а решите неравенство

Вариант 2
Задание 1.
Решите уравнение

Задание 2.
На координатной плоскости отметьте штриховкой множество точек, координаты которых удовлетворяют неравенству
х2 - х < у - ху.
Задание 3.
При каких значениях коэффициентов а и b пары чисел (1; 1) и (-1; -2) являются решениями уравнения
ах - 2у = b?
Задание 4.
При всех а решите неравенство

Задание 5.
При каких а система уравнений

имеет решения?
Задание 6.
При каких а круг

лежит внутри круга

Вариант 3
Задание 1.
Решите уравнение

Задание 2.
На координатной плоскости отметьте штриховкой множество точек, координаты которых удовлетворяют неравенству

Задание 3.
При всех а укажите наименьший из корней уравнения
(х + а- 1)(х - а)(х - 2а - 1) = 0
Задание 4.
При каких а неравенство

выполнено для всех

Ответ
Задание 5.
При каких а система

имеет решение?
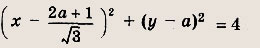
Задание 6.
При каких а окружность

пересекается с лучом

Ответ
