Степень и логарифм
числа. Показательная и логарифмическая функции.
Показательные и логарифмические уравнения и неравенства
• Напомним основные свойства степени. Если а и b — положительные, а

— любые действительные числа, то
1) а° = 1;
2)

3)

4)

5)

6)

Логарифмом положительного числа b по основанию а (а > 0; а # 1) называется показатель степени, вкоторую нужно возвести основание а, чтобы получить b.
Обозначение:
logab (Iog10 b = lg b, logeb = In b).
Определение логарифма записывается в виде равенства
alogab = b
которое называется основным логарифмическим тождеством. Из этого тождества и свойств степени вытекают следующие свойства логарифмов:
1)
loga(b1b2)
= loga b1 + loga
b2
2)

3)

4)
Эти равенства справедливы для любых чисел b, b1, b2> 0; а, с > 0 и не равных единице, любого

Отдельно отметим, что
loga х2 = 2loga| x|.
Наконец, из определения логарифма вытекает формула решения простейшего логарифмического уравнения:

Простейшее показательное уравнение решается, также исходя из определения логарифма и свойств степени, следующим образом:
аx = b => х = loga b при b > 0 и а # 1,а >0.
Если же

то, очевидно,

Также отдельно в показательном уравнении следует рассматривать случай a = 1. Очевидно, что уравнение 1x = b справедливо при всех х € R, если b = 1, а если b # 1, то

Более сложные уравнения сводятся к рассмотренным простейшим с помощью тождественных преобразований обеих частей уравнений.
Используя основные свойства степени и логарифма, решите показательные и логарифмические уравнения (1-40):
Задание 1.

Ответ:
-6
Задание 2.

Ответ:
3
Задание 3.

Ответ:
-4
Задание 4.

Ответ:

Задание 5.

Ответ:

Задание 6.

Решение:
Так как 16 = 24, 0,5 = 2-1 и 8 = 23, то уравнение можно представить в виде

откуда следует уравнение

корнями которого и являются числа - 10 и 0.
Ответ:
{-10; 0}
Задание 7.

Ответ:
81
Задание 8.

Ответ:
{0; 25)
Задание 9.

Решение:
Так как

то из исходного уравнения получаем 1 + | х | = 2, или |х| = 1, откуда х = ± 1.
Ответ:
(-1; 1}
Задание 10.

Ответ:
Задание 11.

Ответ:

Задание 12.
2 -|3x - 5| = 4 • 8 | x - 1|
Ответ:

Задание 13.
3х-1 = 182x • Зх+1 • 2-2x
Решение:
Так как 182x = 344x • 22x, то из исходного уравнения получается уравнение 3x-1 = 35x+1, откуда

Ответ:

Задание 14.
2x • 3x-1 = 6x • 3x+1
Ответ:
-2
Задание 15.
2x • 5x-1 = 0,2 • 102-x
Ответ:
1
Задание 16.
4x • 5x+1 = 100 • 201-x
Ответ:
1
Задание 17.

Ответ:
{-2,5; 3}
Задание 18.

Ответ:
4
Задание 19.

Ответ:
9
Задание 20.

Ответ:

Задание 21.

Ответ:
{-3; 1}
Задание 22.
2x + 2x-1 + 2x-2 = 3x - 3x-1 + 3x-2
Решение:
Уравнение легко преобразуется к виду

откуда

Ответ:
2
Задание 23.

Ответ:
1,5
Задание 24.

Ответ:

Задание 25.

Ответ:
3
Задание 26.
З12x-1 - 966x-1 - 274x-1 + 813x-1 = 2192
Ответ:
0,25
Задание 27.
Iog3 (2x - 1) = 3
Ответ:
14
Задание 28.

Ответ:
11
Задание 29.

Ответ:
{-1; 4}
Задание 30.

Решение:
Учитывая, что

получаем

или х2 - bх + 4 = 0, откуда х = 1 и х = 4.
Ответ:
{1; 4}
Задание 31.

Ответ:
3
Задание 32.

Ответ:
3
Задание 33.
Iog3 (1 + Iog3(2x -7)) = 1
Ответ:
4
Задание 34.

Ответ:
3
Задание 35.
Iog2-x4 = 2
Решение:
Исходное уравнение преобразуется к виду (2 - х)2 = 4, где 2 - x > 0 и 2 - x # 1. С учетом этих условий х = 0.
Ответ:
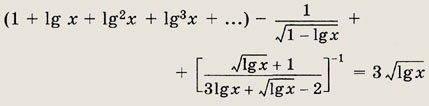
0
Задание 36.
logx+1 (x2 + 8x + 37) = 2
Решение:
Исходное уравнение преобразуется к виду (х + 1)2 = х2 + 8х + 37, решением этого уравнения является значение х = -6, но оно не удовлетворяет условию х + 1 > 0.
Ответ:

Задание 37.
logx (2x2 - 7x + 12) = 2
Ответ:
3; 4
Задание 38.

Ответ:
-1
Задание 39.
Iog2 (2 • 4x-2 - 1) = 2x - 4
Ответ:
2
Задание 40.
Iog2 (9 - 2x) = 100lg(x-3)
Решение:
Так как 10lg(x-3) = х - 3, где х - 3 > 0, то из исходного уравнения получаем уравнение 9 - 2x = 2x-3, откуда 2x = 8 или х = 3, но это значение не удовлетворяет условию х — 3 > 0.
Ответ:

Используя метод разложения на множители, решите уравнения (41—45):
Задание 41.
x Iog2 x2 + 1 = 2х + Iog2 x
Решение:
Исходное уравнение преобразуется к виду 2x(log2 х - 1) - (Iog2 х - 1) = 0, или (2х - 1)(log2 х - 1) = 0, откуда х = 0,5 и х = 2.
Ответ:
{0,5; 2}
Задание 42.
Iog2 x Iog3 x = Iog2 x2 + Iog3 x3 - 6
Ответ:
8; 9
Задание 43.
Iog3 x Iog4 x = Iog3 x3 + Iog4 x4 - 12
Ответ:
{64; 81}
Задание 44.

Ответ:

Задание 45.

Ответ:

Решите уравнения 46—51, предварительно приведя входящие в них логарифмы к одному основанию:
Задание 46.
Iog16x + Iog4 x + Iog2 x = 7
Решение:
Переходя во всех логарифмах к основанию 2, получим уравнение

откуда х = 16.
Ответ:
16
Задание 47.

Ответ:
4
Задание 48.

Ответ:

Задание 49.
Iog2 x + Iog3 x = 1
Ответ:

Задание 50.

Ответ:

Задание 51.

Ответ:

Решите следующие уравнения (52—80) учитывая, что каждое выражение, стоящее под
знаком логарифма, должно быть положительным:
Задание 52.

Решение:
При выполнении условий

исходное уравнение переходит в уравнение

корнями которого являются числа

Первое из этих значений удовлетворяет приведенным выше неравенствам, а второе — нет.
Ответ:

Задание 53.

Ответ:

Задание 54.

Ответ:

Задание 55.

Ответ:
6
Задание 56.
Iog2(3x + 5) = 3 - Iog2(x + 1)
Ответ:

Задание 57.
Iog4(x + 3) - Iog4(x - 1) = 2 - Iog4 8
Ответ:
5
Задание 58.

Ответ:
-3
Задание 59.
Iog9(x + 1) - log9(1 - x) = log9(2x + 3)
Ответ:
Задание 60.

Ответ:
15
Задание 61.

Ответ:

Задание 62.
2 log3(x - 2) + Iog3(x - 4)2 = 0
Ответ:

Задание 63.
lg(3x - 4)2 + lg(2x - 4)2 = 2
Ответ:

Задание 64.

Ответ:
29
Задание 65.

Ответ:
13
Задание 66.

Решение:
При выполнении условий tg 2x > 0 и ctg х < 0 исходное уравнение преобразуется в уравнение

которое распадается на совокупность уравнений tg х = 0 и tg2 х = 3, откуда

Выше приведенные неравенства выполняются только при

где n € Z.
Ответ:

Задание 67.

Ответ:

Задание 68.
Ig sin x = Ig cos x + Ig 2
Ответ:
arctg 2 + 2 Пn; n € Z
Задание 69.
Iog2 sin x + Iog2 cos x + Iog2 tg x = -1
Ответ:

Задание 70.

Ответ:

Задание 71.

Ответ:

Задание 72.
Iog2(15 sin2 x + 7sin x) = 1 + Iog2(3 sin x+ 1)
Ответ:

Задание 73.
1 + Iog3(5 cos2 x - 3 cos x - 1) = Iog3(1 - 2 cos x)
Ответ:

Задание 74.
Iog2(4 cos x + 3) Iog6(4 cos x + 3) = Iog2(4 cos x + 3) + Iog6(4 cos x + 3)
Решение:
Перейдем к логарифмам по основанию 2, воспользовавшись тождеством

С помощью подстановки Iog2 (4 cos х + 3) = t исходное уравнение преобразуется в уравнение

которое распадается на совокупность уравнений t = 0 и t = 1 + Iog2 6, откуда 4 cos x + 3 = 1 и 4 cos x + 3 = 12.
Второе уравнение не имеет решений, а из первого находим

Ответ:

Задание 75.
Iog3(6 sin x + 4) Iog5(6 sin x + 4) = Iog3(6 sin x + 4) + Iog5(6 sin x + 4)
Ответ:

Задание 76.

Решение:
Преобразуя правую часть уравнения к виду

получим уравнение

при условии, что

Тригонометрическое уравнение преобразуется в уравнение

откуда

Наконец, учитывая, что х € (-2; 0) U (0; 2), получаем ответ.
Ответ:

Задание 77.

Ответ:

Задание 78.

Ответ:

Задание 79.

Ответ:

Задание 80.

Ответ:

Решите уравнения 81—108, сводя их к квадратным после преобразований и подходящей замены переменной:
Задание 81.
4x - 10 • 2x-1 =24
Решение:
Вводя замену 2x = t > 0, получаем уравнение t2 - 5t - 24 = 0, откуда t = -3 и t = 8. Первое значение не удовлетворяет неравенству t > 0, а второе дает уравнение 2x = 8, т. е. х = 3.
Ответ:
3
Задание 82.
92x+4 + 4 =26 • 32x+3 + 3
Ответ:
-1
Задание 83.

Ответ:
1
Задание 84.

Ответ:
-2
Задание 85.
3 • 22-x -2x-1 - 5 = 0
Ответ:
1
Задание 86.
3x+3 - З-x-1 -8 = 0
Ответ:
-1
Задание 87.

Ответ:
1
Задание 88.

Ответ:
-1; 1
Задание 89.

Ответ:
0
Задание 90.
log22 x + Iog2 х - 6 = 0
Ответ:

Задание 91.
log23 x - Iog3 х - 12 = 0
Ответ:

Задание 92.
lg (х2 + 1) - 2 lg-1 (х2 +1) -1
Ответ:
{-3; 3}
Задание 93.

Ответ:

Задание 94.

Ответ:

Задание 95.

Ответ:
{10; 100}
Задание 96.

Ответ:

Задание 97.

Ответ:

Задание 98.
2 logx+2 5 + 1 = Iog5 (x + 2)
Ответ:

Задание 99.

Ответ:

Задание 100.

Решение:
Так как

то вводя обозначение

откуда

или

Ответ:
{-3; 3}
Задание 101.

Решение:
Полагая

получим уравнение

откуда

Так как

то из уравнений

находим x = +4.
Ответ:
{-4; 4}
Задание 102.
log32 (4x - 3) + Iog3 (4x - 3) - 2 = 0
Ответ:

Задание 103.

Решение:
Используя замену

получим уравнение

Отсюда

причем

не удовлетворяет неравенству 2t - 1 > 0. Из уравнения

находим

Ответ:

Задание 104.
lg (lg x) + lg (lg (x3) - 2) = 0
Решение:
Используя замену lg х = t, получим уравнение lg t + lg(3t - 2) = 0 или уравнение

Отсюда t = Igx = 1

и x = 10.
Ответ:
10
Задание 105.
8 • 9x + 6x+11 = 27 • 4x
Решение:
Разделим обе части уравнения на 4x и введем обозначение

Полученное уравнение 8t2 + б? - 27 = 0 имеет корни

последний из которых не удовлетворяет неравенству t > 0. Из уравнения

находим х = 1.
Ответ:
1
Задание 106.

Ответ:
{1; Iog3/2 12}
Задание 107.

Ответ:
4
Задание 108.

Ответ:

Решите уравнения 109—115, используя ограниченность или монотонность функций,
входящих в состав уравнения:
Задание 109.

Решение:
Так как

то решениями
о
исходного уравнения могут быть лишь значения х, удовлетворяющие системе

откуда и следует, что x = 0.
Замечание:
При решении задач такого рода нет необходимости решать все входящие в их состав уравнения. Достаточно решить одно из них и отобрать те корни, которые удовлетворяют и другим уравнениям.
Ответ:
0
Задание 110.

Ответ:
-1
Задание 111.

Решение:
Функция у = 3x-2 строго монотонно возрастает и положительна, а функция

там где она положительна, т. е. при х > 0, строго монотонно убывает, поэтому графики функций имеют единственную точку пересечения при х = 3.
Ответ:
3
Задание 112.

Ответ:
1
Задание 113.
27 • 4x +7 • 9x =15 • 25x
Решение:
Корень

легко угадать, но нужно доказать, что это решение единственное. Разделим обе части уравнения на 9x и получим уравнение

Так как

то функция

строго монотонно убывает, а функция

где

строго монотонно возрастает. Отсюда и вытекает единственность решения.
Ответ:

Задание 114.

Ответ:

Задание 115.

Ответ:

Решите уравнения 116—120, предварительно прологарифмировав обе части равенства:
Задание 116.

Решение:
Прологарифмируем обе части уравнения по любому основанию, например, по основанию 2. Получим уравнение (х2 - х - 1)log2 (x + 5) = (2х + 3) log2 (x + 5), которое распадается на совокупность уравнений log2 (x + 5) = 0 и х2 - х - 1 = 2х + 3. Первое из них имеет корень х = -4, а второе — корни х = -1 и х = 4, причем оба эти значения удовлетворяют неравенству х + 5 > 0.
Ответ:
{-4; -1; 4)
Задание 117.

Ответ:
{-1; 1; 2}
Задание 118.
х3lgx = 10х2
Ответ:

Задание 119.

Ответ:

Задание 120.

Ответ:

Решите следующие уравнения и системы уравнений (121—179):
Задание 121.

Ответ:

Задание 122.
22x+1 - 5 • 6x + 3 • 9x = 0
Ответ:
{-1; 0)
Задание 123.

Ответ:
0
Задание 124.

Ответ:
9
Задание 125.

Ответ:
{-1; 9)
Задание 126.

Ответ:

Задание 127.

Ответ:

Задание 128.
3lg tg x - 2 • 3lg ctg x+1 = 1
Ответ:
arctg 10 + Пn; n € Z
Задание 129.

Ответ:

Задание 130.
logx 2 • log2x2 = log4x2
Ответ:

Задание 131.

Ответ:

Задание 132.

Ответ:

Задание 133.

Ответ:

Задание 134.

Ответ:
{3; 81}
Задание 135.

Ответ:
4
Задание 136.

Ответ:
2
Задание 137.

Ответ:
log3 2
Задание 138.

Ответ:
0
Задание 139.

Ответ:

Задание 140.
8x + 18x = 2 • 27x
Ответ:
0
Задание 141.
5 • 32x + 15 • 52x-1 = 8 • 15x
Ответ:
{0; 1}
Задание 142.
2(x)lg x + 3x-lg x = 5
Ответ:

Задание 143.

Ответ:
4
Задание 144.

Ответ:

Задание 145.
1 + logx-2(4x - 11) = 2 log4x-11 (4x2 - 19x + 22)
Ответ:
5
Задание 146.
Iog3x+7(9 + 12x + 4x2) + Iog2x+3 (6x2 + 23x + 21) = 4
Ответ:

Задание 147.

Ответ:
{1; 3}
Задание 148.
9 logsin 2x (4 cos2 x) + 8 Iog2cos x (sin x) = 16
Ответ:

Задание 149.
(tg x)2 sin x = 1
Ответ:

Задание 150.
(1 - cos x)sin x = 1
Ответ:

Задание 151.

Ответ:

Задание 152.

Ответ:

Задание 153.

Ответ:

Задание 154.

Решение:
Наименьшее значение выражения

равно 2 и достигается при х = 2. Наибольшее же значение функции

равно 2. Равенство значений этих функций может осуществиться только при х = 2.
Ответ:
2
Задание 155.
Iog2 (4x2 + 1) - Iog2 x = 8x(1 - x).
Решение:
Преобразуем левую часть уравнения к виду

где х > 0. Наименьшее значение функции

и достигается при

т. е. наименьшее значение функции

Соответственно в правой части наибольшее значение функции 8x(1 - х) равно 2
и достигается при

Равенство выполняется только при

Ответ:

Задание 156.

Ответ:

Задание 157.
x2 • 2x+1 + 2|x -3|+2 =x2 • 2|x -3|+4 + 2x -1
Ответ:

Задание 158.

Решение:
Полагая

получим систему уравнений

Таким образом,

Ответ:

Задание 159.

Решение:
Из вида уравнения следует, что

т. е. х € [1; 10). Таким образом, сумма 1 + lg х + lg2 х + ... является суммой бесконечно убывающей геометрической прогрессии и равна

Заметим также, что

С учетом этого исходное уравнение преобразуется к виду

Отсюда, вводя обозначение

получаем уравнение t2 - t - 2 = 0, корни которого t = 2 и t = -1 (последний не удовлетворяет условию t > 0). Из уравнения

т. е. х = 103/4.
Ответ:

Задание 160.

Решение:
При указанных значениях х суммы 1 + lg x + + lg2 х + ... и 1 - lg х + lg2 x - ... являются суммами бесконечно убывающих геометрических прогрессий и равны соответственно

и
Сумма логарифмов в правой части уравнения преобразуется к виду

Так как
то правая часть уравнения равна

и исходное уравнение преобразуется к виду

Возводя обе части в квадрат и вводя обозначение

получим уравнение 6t2 - t - 1 = 0, имеющее корни

Учитывая, что t > 0, переходим к уравнению

Ответ:

Задание 161.

Ответ:
(0; 1); (1; 0)
Задание 162.

Ответ:
(-2; 0)
Задание 163.

Ответ:
(4; 4)
Задание 164.

Ответ:

Задание 165.

Ответ:

Задание 166.

Ответ:
{(9; 7); (9; -7)}
Задание 167.

Ответ:

Задание 168.

Ответ:
(4; 1)
Задание 169.

Ответ:
(4; 16)
Задание 170.

Ответ:
(16; 4)
Задание 171.

Ответ:
{(1; 1); (3; 9)}
Задание 172.

Ответ:
{(9; 32/3);(32/3; 9)}
Задание 173.

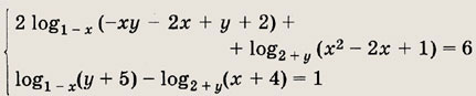
Решение:
Так как - ху - 2х + у +
2 = (1 - x)(2 + у), то с учетом соотношений 1 - х > 0, 1 - х # 1 и 2 + у
>0, 2 + у # 1 первое
уравнение преобразуется к виду log21-x (2 + у) - 2log1-x(2
+ у) + 1 = 0, откуда log1-x(2 + у) — 1 или 1-х = 2 + у. При этих
условиях второе уравнение преобразуется в уравнение log1-x (4 - х)
- log1-x(х + 4) = 1, которое имеет единственный корень х = -2, соответственно
у = 1.
Ответ:
(-2; 1)
Задание 174.

Ответ:

Задание 175.

Ответ:

Задание 176.

Ответ:

Задание 177.

Ответ:
{(3; 10); (-20; 36)}
Задание 178.

Ответ:
(log9/2 2; 2log9/22)
Задание 179.

Ответ:
(log4/3 2; 2 log4/32)
Задание 180.
Решите уравнение

и укажите все решения, входящие в область определения функции

Ответ:

Задание 181.
Решите уравнение

и укажите все решения, входящие в область определения функции

Ответ:
Задание 182.
Решите систему уравнений

зная, что величины logy
x; Iogz
у и logx
z образуют геометрическую прогрессию.
Ответ:
(2; 2; 2)
Упростите следующие выражения (183—200):
Задание 183.

Решение:
Имеем

Ответ:

Задание 184.

Ответ:

Задание 185.

Ответ:

Задание 186.

Ответ:

Задание 187.

Ответ:

Задание 188.

Ответ:

Задание 189.

Ответ:
4
Задание 190.

Ответ:
3
Задание 191.

Ответ:
3
Задание 192.

Ответ:
2
Задание 193.
Iog3 5 Iog4 9 Iog5 2
Ответ:
1
Задание 194.
lоg2 3 lоg3 4...log9 10
Ответ:
Iog2 10
Задание 195.
Igtg 3° Igtg 6°...Igtg 87°
Ответ:
0
Задание 196.
Igtg 1° + Igtg 2° + ... + Ig tg 89°
Ответ:
0
Задание 197.

Решение:
Учитывая, что

находим

Ответ:
2
Задание 198.

Ответ:
2
Задание 199.

Ответ:
3
Задание 200.

Указание:
Учтите, что

Ответ:
-3
Задание 201.
Найдите Iog2 392, если Iog2 7 = a
Решение:
Так как 392 = 8 • 49 = 23 • 72, то Iog2 392 = 3 + + 2 Iog2 7 = 3 + 2а.
Ответ:
3 + 2а
Задание 202.

Ответ:

Задание 203.
Найдите Ig308, если Ig 5 = a, Ig 3 = b
Ответ:

Задание 204.
Найдите Iog3 200, если Iog3 5 = a, Iog2 3 = b
Ответ:

Сравните величины а и b (205—210):
Задание 205.

Ответ:
а < b
Задание 206.

Ответ:
а < b
Задание 207.
a = Iog34 и b = Iog45
Ответ:
а > b
Задание 208.

Решение:
Имеем

но

Значит, a > b.
Ответ:
a > b.
Задание 209.

Решение:
Имеем

Ответ:
a > b
Задание 210.

Ответ:
a < b
Постройте графики следующих функций и уравнений (211—230):
Задание 211.
у = 3x
Ответ:

Задание 212.

Ответ:

Задание 213.
у = Iog2x
Ответ:

Задание 214.

Ответ:

Задание 215.
у = 2x-1 + 1
Ответ:

Задание 216.
у = -Iog3(x - 3) + 2
Ответ:

Задание 217.
y = Iog2|x - 2
Ответ:

Задание 218.

Ответ:

Задание 219.

Ответ:

Задание 220.
у = |log2x2|
Ответ:

Задание 221.
|y| = Iog3 x - 1
Ответ:

Задание 222.
|y| = Iog2 (|x| - 2)
Ответ:

Задание 223.
у = lg (х2 + х - 6)
Ответ:

Задание 224.
j/ = Iog2 (6x - х2 - 5)
Ответ:

Задание 225.

Ответ:

Задание 226.

Ответ:

Задание 227.
у = Iog2sin2x
Ответ:

Задание 228.
у = 3cos x
Ответ:

Задание 229.

Ответ:

Задание 230.

Ответ:

• При решении показательных и логарифмических неравенств следует помнить, что функции у = аx и у = loga х (а > 0; а # 1) являются возрастающими при а > 1 и убывающими при 0 < a < 1 на своей области определения. Рассмотрим решения простейших неравенств:

С помощью тождественных преобразований более сложные неравенства сводятся к
простейшим.
Решите следующие показательные и логарифмические неравенства (231—330):
Задание 231.

Ответ:

Задание 232.

Ответ:

Задание 233.

Ответ:
(1; 4]
Задание 234.

Ответ:

Задание 235.

Ответ:

Задание 236.

Ответ:

Задание 237.

Ответ:
[1; 5]
Задание 238.

Ответ:
(-1; 3)
Задание 239.

Ответ:

Задание 240.

Ответ:

Задание 241.

Ответ:

Задание 242.

Ответ:

Задание 243.

Ответ:

Задание 244.

Ответ:
(-1; 1) U (2; 4)
Задание 245.

Ответ:

Задание 246.

Ответ:

Задание 247.

Ответ:

Задание 248.

Ответ:

Задание 249.

Ответ:
(3; 5]
Задание 250.
2log2(x + 1)< Iog2(x + 7)
Ответ:
(-1; 2)
Задание 251.

Ответ:
(0; 27)
Задание 252.

Ответ:

Задание 253.

Ответ:

Задание 254.

Ответ:

Задание 255.

Ответ:

Задание 256.

Ответ:

Задание 257.

Ответ:
(1; 2)
Задание 258.

Ответ:
[2; 4)
Задание 259.

Ответ:

Задание 260.

Ответ:

Задание 261.

Ответ:
(1; 2) U (2; 3) U и {4}
Задание 262.

Ответ:
(-5; -4) U {0}
Задание 263.

Ответ:

Задание 264.

Ответ:

Задание 265.

Ответ:

Задание 266.
36x - 6x+1 + 8 > 0
Ответ:

Задание 267.

Ответ:

Задание 268.

Ответ:

Задание 269.

Ответ:

Задание 270.

Ответ:

Задание 271.

Ответ:

Задание 272.

Ответ:

Задание 273.

Ответ:

Задание 274.

Ответ:

Задание 275.

Ответ:

Задание 276.

Ответ:

Задание 277.

Ответ:

Задание 278.

Ответ:

Задание 279.

Ответ:

Задание 280.

Ответ:
(0; 1) U {5}
Задание 281.
(logx 2)(log2x 2)lоd24x > 1
Ответ:

Задание 282.

Ответ:

Задание 283.

Ответ:

Задание 284.

Ответ:

Задание 285.

Ответ:
[125; 15 625)
Задание 286.

Ответ:

Задание 287.

Ответ:

Задание 288.

Ответ:

Задание 289.

Ответ:

Задание 290.

Ответ:

Задание 291.

Ответ:

Задание 292.
log1-x(2 + x) < 1
Ответ:

Задание 293.
Iog2x(8 - x2) < 1
Ответ:

Задание 294.

Ответ:

Задание 295.

Ответ:

Задание 296.

Ответ:
(0, 1) U (2, 6)
Задание 297.

Ответ:

Задание 298.

Ответ:

Задание 299.

Ответ:

Задание 300.

Ответ:

Задание 301.
|15 - 5 • 2-x | > 4-x* - 6 • 2-x + 13
Ответ:

Задание 302.
|4 • 3x - 8| > 9x - 4 • 3x + 7
Ответ:

Задание 303.

Ответ:

Задание 304.

Ответ:

Задание 305.

Ответ:

Задание 306.

Ответ:

Задание 307.

Ответ:

Задание 308.

Ответ:

Задание 309.

Ответ:

Задание 310.

Ответ:

Задание 311.

Ответ:

Задание 312.

Ответ:

Задание 313.

Ответ:

Задание 314.

Ответ:

Задание 315.

Ответ:

Задание 316.

Ответ:
{3}
Задание 317.

Ответ:
{2}
Задание 318.

Ответ:

Задание 319.

Ответ:

Задание 320.

Ответ:
(-3; -2] U (2; 3)
Задание 321.

Ответ:
(-2; -1] U (1; 2)
Задание 322.

Ответ:

Задание 323.

Ответ:

Задание 324.
1 + Iog2 (x + 10) > log(x-2)(x-4) (х - 2)(x - 4)
Ответ:

Задание 325.
1 + Iog0,5 (8 -x)< log(x-1)(x-2) (x + 1)(x - 2)
Ответ:

Задание 326.

Ответ:
(2; 2,5) U (2,5; 3)
Задание 327.

Ответ:

Задание 328.

Решение:
При любых

выражение 4-x + 3 • 2x больше 1. Действительно, если

а если х < 0, то 4 -x* > 1. Значит, исходное неравенство может выполняться только при условии

Полагая Iog7 х = t, то данное неравенство сводится к виду

Значения х находим из совокупности решений уравнения Iog7 х = 1, х = 1 и неравенства Iog7 х < 0, откуда х = 7 и x € (0; 1).
Ответ:
(0; 1) U {7}
Задание 329.

Ответ:

Задание 330.

Ответ:

Решите следующие системы (331—336):
Задание 331.

Решение:
Выразим из уравнения

и подставим в неравенство. Получим неравенство

которое выполняется только при х = 0. Отсюда х = 0; у = -2,5.
Ответ:

Задание 332.

Ответ:
{(0; 1); (0; -1)}
Задание 333.

Ответ:

Задание 334.

Ответ:

Задание 335.

Ответ:
{(-2; -2); (4; -2)}
Задание 336.

Ответ:
{(-4; 4); (7; 4)}
Задание 337.
Найдите все значения x, для которых величина

удовлетворяет уравнению

Ответ:

Задание 338.
Найдите все значения х, для которых величина

удовлетворяет уравнению

Ответ:

Решите неравенства 339—342 и укажите все значения параметра а, при которых любое
решение неравенства входит в область определения данной функции у = f(x):
Задание 339.

Ответ:

Задание 340.

Ответ:

Задание 341.

Ответ:

Задание 342.

Ответ:

Решите следующие уравнения, неравенства и системы уравнений (343—392):
Задание 343.
(2x + 2а - 1) (а + 1 - 2x) = 0
Ответ:

Задание 344.
(2-x + Зс + 4) (5 - с - 2-x) = 0
Ответ:

Задание 345.

Ответ:

Задание 346.

Ответ:

Задание 347.

Ответ:
При

при а € (-1; 9] => х1 = 9, х2 = 99, x3 = а; при а € (9; 99] => x1 = 99, x2 = а; при

Задание 348.

Ответ:
при

при с € (-9; 0] => x1 = 3, х2 = 75, х3 = с + 3; при с € (0; 72] => x1 = 75, х2 = с + 3; при

Задание 349.

Решение:
Полагая 3x = t > 0, переходим к уравнению t2 - 2at — 4 + 4a =0, корни которого t1 = 2 и t2 = 2а — 2. Из соотношения t = 3x = 2 получаем х = Iog32 при любых

Во втором случае, когда 3x = 2а -2, решение возможно лишь при а > 1 и х = = Iog3(2a - 2), откуда и получаем ответ.
Ответ:
при

при

Задание 350.
16-x -4b • 4-x = 76 + 6
Решение:
Полагая 4-x = t, переходим к уравнению t-2- 4bt - 7b - 6 = 0, откуда

Решение существует только при тех b, когда t1 или t2 положительны. Решив неравенство

находим

Неравенство

не выполняется ни при каких b. Отсюда и получаем ответ.
Ответ:
при

При

Задание 351.

Решение:
Полагая 2x = t > 0, получим уравнение

сводящееся к квадратному уравнению t2 - 2t - а = 0, t # 1, корни которого

Чтобы удовлетворялось условие t > 0, мы должны были бы решить иррациональные неравенства, позволяющие найти соответствующие значения а, но гораздо удобнее воспользоваться другим методом рассуждений.
Разрешим уравнение t2 - 2t - а = 0 относительно параметра а, т. е. а = t2 - 2t, и рассмотрим в координатах (t; у) графики функций у = t2 - t, где


Из анализа расположения графиков функций сразу же вытекает, что при

решений нет, при а € (-1; 0) существуют два положительных решения

только одно положительное решение

Отсюда легко находим значения х.
Ответ:

при

при

Задание 352.

Ответ:
при

при

при

Задание 353.
alg2(x2 + 10) + 2lg(x2 + 10) + 8а = 0
Решение:
Положим

и получим уравнение at2 + 2t + 8a = 0, откуда

Значения а можно найти, решив неравенство

что, вообще говоря, не просто. Гораздо удобнее, выразив а из квадратного уравнения, построить графики функций

Так как t1 и t2 являются абсциссами точек пересечения этих линий, то из расположения графиков этих функций легко находим те значения а, при которых существуют значения t1 и t2 соответствующие им значения х.
Ответ:
при

при

при

при

Задание 354.

Ответ:
при

при

Задание 355.
Iog3 cos х - Iog4 cos х - Iog9 cos x = a - 1
Ответ:
при

при

Задание 356.

Ответ:
при

при

Задание 357.
-0,5 + logb-3 (sin 2x) = logb-3(cos x)
Ответ:
при

при

Задание 358.
2 + Iogb+3(sinx) = logb+3(sin 2x)
Ответ:
при

при

Задание 359.

Ответ:
при

при

Задание 360.
4sin x -a - 3 = (a + 2) • 2sin x
Ответ:
при

при

Задание 361.

Ответ:
при

при

при

Задание 362.

Ответ:
при

при

Задание 363.

Ответ:
при

при

при

при

Задание 364.

Ответ:
при

при

Задание 365.

Решение:
Из исходного уравнения следует, что

Для существования решений этого уравнения необходимо, чтобы

При выполнении этого условия уравнение превращается в совокупность двух уравнений:
3-c - 23 = = 6x - 5 - х2 и 3-c - 23 = -6x + 5x + x2. С учетом того, что дискриминанты в этих уравнениях должны быть неотрицательны, получаем ответ.
Ответ:
при

при

при

Задание 366.
Iog3 (31 - |x2 - 6x + 5|) = c
Ответ:
при

при

при

Задание 367.
Iog4(x - 5) = -Iog0,25(|a - x| - 3)
Решение:
Учитывая, что

получаем уравнение х - 5 = |а - ч| - 3, т. е. ч - 2 = |а - ч|. Так как х > 5, то левая часть уравнения положительна и уравнение распадается на совокупность двух уравнений: х - 2 = а - х и х - 2 = х - а. Из первого находим

а учитывая неравенство

получаем a > 8. Второе
уравнение выполняется при любом х > 5, если a = 2, а при других
значениях а решения не имеет.
Ответ:
при

при

при

Задание 368.
Iog3(6 - x) = 2 log9(3 - |6 - x|)
Ответ:
при

при

Задание 369.
logd(4x + d) = logd (x2 - 4)
Ответ:
при

при

при

Задание 370.
loga(a + 5x) = loga (x2 - 6)
Ответ:
при

при

при

Задание 371.

Ответ:
при

при

Задание 372.

Ответ:
при

при

Задание 373.

Ответ:
при


при

при

Задание 374.

Ответ:
при

при

при

при

Задание 375.

Ответ:
при

Задание 376.

Ответ:
при

при

Задание 377.

Решение:
Так как

то задача сводится к решению неравенства

Для решения этого неравенства на координатной плоскости (х; b) найдем области, где выражение, стоящее в левой части неравенства, сохраняет знак и определим его. Границы этих областей задаются соотношениями x + 1 > О, х + 1 = 1, т. е. х = 0 к b = х. На рис.

заштрихованы те области, координаты точек которых удовлетворяют неравенству. Отсюда и вытекает окончательный результат.
Ответ:
при

при

при

Задание 378.

Ответ:
при

при

при

Задание 379.

Решение:
Положим

и рассмотрим полученное неравенство (а - 6)t < а - 2. На координатной плоскости (t; а) изобразим области, координаты точек которых удовлетворяют этому неравенству. Границы этих областей определяются соотношениями t = 1 и (а - 6)t — а - 2 или

На рис.

нужная нам область заштрихована.
Отсюда при

и при

Учитывая, что

получаем окончательный результат.
Ответ:
при

Задание 380.

Ответ:
при

при

при

Задание 381.

Решение:
На координатной а х = а
плоскости (х; а) изобразим области, в которых левая часть неравенства сохраняет
знак. Границы областей определяются соотношениями x + 1 = 0, х - а = 1, х -
2 = 0, х - а > 0. На
рис.

области, где левая часть положительна, заштрихованы. Границы, координаты точек которых не удовлетворяют неравенству, изображены пунктиром.
Следует учесть, что при переходе через границу а = х - 1 выражение Iog23 (х - а) знак не меняет. Отсюда получаем ответ.
Ответ:
при

при

при

Задание 382.

Ответ:
при

при

при

при

при

Задание 383.

Ответ:
при

при

при

при

Задание 384.

Решение:
Перейдем в исходном неравенстве к основанию 2 и получим неравенство

Если

т. e.

то получаем

откуда

Аналогично рассматриваем оставшиеся случаи

Ответ:
при

при

при

Задание 385.

Ответ:
при

при

при

Задание 386.

Решение:
После несложных преобразований придем к неравенству

Поскольку х < 3, при таких значениях x имеем 12 — 11x-2 > 0 и неравенство сводится к виду

откуда получаем окончательный результат.
Ответ:
при

при

Задание 387.

Ответ:
при

при

Задание 388.

Ответ:
при

при

при

при

при

Задание 389.
loga (x2 + 4x - 1) < Iog2a (x2 + 4x - 1)
Решение:
Переходя к основанию 2, преобразуем неравенство к виду

Если

то решение сводится к решению неравенства Iog2
(x2 + 4х - 1) < 0. Если же Iog2
a(Iog2
a + 1) < 0, откуда

получаем неравенство Iog2
(x2 + 4х - 1) < 0. Из этих соотношений и получаем ответ.
Ответ:
при

при

Задание 390.
logx+a+2(2x + a) < 1
Ответ:
при

при

при

Задание 391.

Ответ:
при

при

Задание 392.

Ответ:
при

при

Установите, при каких значениях параметров следующие неравенства выполняются
для всех х € Л (393—397):
Задание 393.

Решение:
Исходное неравенство сводится к системе неравенств

первое из которых выполняется для любых х € R, а для двух других это условие будет реализовано при значениях b, удовлетворяющих следующей системе неравенств:

Решив эту систему, находим, что

Ответ:

Задание 394.

Ответ:

Задание 395.

Ответ:

Задание 396.

Ответ:
а € (-3; -1) и (2; 4)
Задание 397.
a • 9x + 4(a - 1) • 3x + a > 1
Ответ:

Установите, при каких значениях параметра следующие уравнения и неравенства
имеют хотя бы одно решение (398—400):
Задание 398.
(а - 3) • 4x - 8 • 6x + (а + 3) • 9x = 0
Ответ:
а € (-3; 5]
Задание 399.

Решение:
Положим

и перейдем к неравенству

Найдем наименьшее значение функции

Из условия

получаем, что функция имеет минимум при t = 1, а значение функции при t = 1 равно 2. Отсюда вытекает, что при

неравенство имеет хотя бы одно решение.
Ответ:

Задание 400.
loga+x х(а - х) < loga+x х
Ответ:

Задание 401.
При каких а уравнение

не имеет решений?
Ответ:

Задание 402.
При каком с € R уравнение

имеет единственное решение?
Решение:
Введем обозначение 3-x = t > 0 и перейдем к уравнению t2 - (с + 2)t + (1 - с)(2с + 1) = 0, корни которого t1 = 2с + 1 и t2 = 1 - с. Уравнение имеет единственное решение, когда t1 и t2 имеют разные знаки, т. е.

или когда t1 = t2 > 0, т. е. при с = 0.
Ответ:

Задание 403.
При каком а € R уравнение

имеет единственное решение?
Ответ:

Задание 404.
Найдите все а, при которых уравнение

имеет три различных решения.
Ответ:

Задание 405.
Найдите все а, при которых неравенство
56 • 3x > 9x - а
не имеет ни одного целочисленного решения.
Ответ:

Задание 406.
Найдите все значения а из интервала (2; 5), при каждом из которых существует хотя бы одно х € [2; 3], удовлетворяющее уравнению

Решение:
Рассматривая возможные значения функций в левой и правой частях равенства, легко заметить, что


и равенство возможно только при выполнении условий

Первое из этих уравнений при х € [2; 3] имеет единственное решение

Значения a € (2; 5) находим, решив уравнения

откуда получаем


Ответ:

Задание 407.
Найдите сумму всех значений параметра а из интервала (2; 7), при каждом из которых существует хотя бы одно х € [1; 2], удовлетворяющее уравнению

Ответ:

Задание 408.
При каких значениях b наименьшее значение функции
у = Iog2 (1 + 3 sin2 х) [Iog2 (1 + 3 sin2 х) - b - 1] -- b2 + 3b + 7 равно 2?
Ответ:

Задание 409.
При каких значениях d наименьшее значение функции

не меньше (-1)?
Ответ:

Задание 410.
При каких значениях а периметр фигуры, заданной на координатной плоскости условием:
является наименьшим?
Ответ:

Задание 411.
Найдите все а и b, при которых наибольшее значение функции

на отрезке [-1; 1] является наименьшим.
Ответ:
