Дайте означення нескінченно малої змінної ( послідовності )
| Вид материала | Документы |
- Питання до колоквіуму, 338.63kb.
- Питання до екзаменів, 398.67kb.
- План Границя числової послідовності. Нескінченно малі числові послідовності. Нескінченно, 133.92kb.
- Зміст навчальної програми з вищої математики для студентів 1 курсу фармацевтичного, 32.69kb.
- 1. Числові послідовності. Границі числових послідовностей Множина дійсних чисел. Теорема, 122.49kb.
- Програма вступних фахових випробувань для вступників на навчання для здобуття окр магістра, 229.83kb.
- Програма вступних фахових випробувань для вступників на навчання для здобуття окр магістра, 280.08kb.
- Тема. Функції та їх графіки, 243.69kb.
- Технології навчання математиці, 173.73kb.
- Назва модуля: Теорія функції комплексної змінної Код модуля, 40.61kb.
- Дайте означення нескінченно малої змінної ( послідовності ).
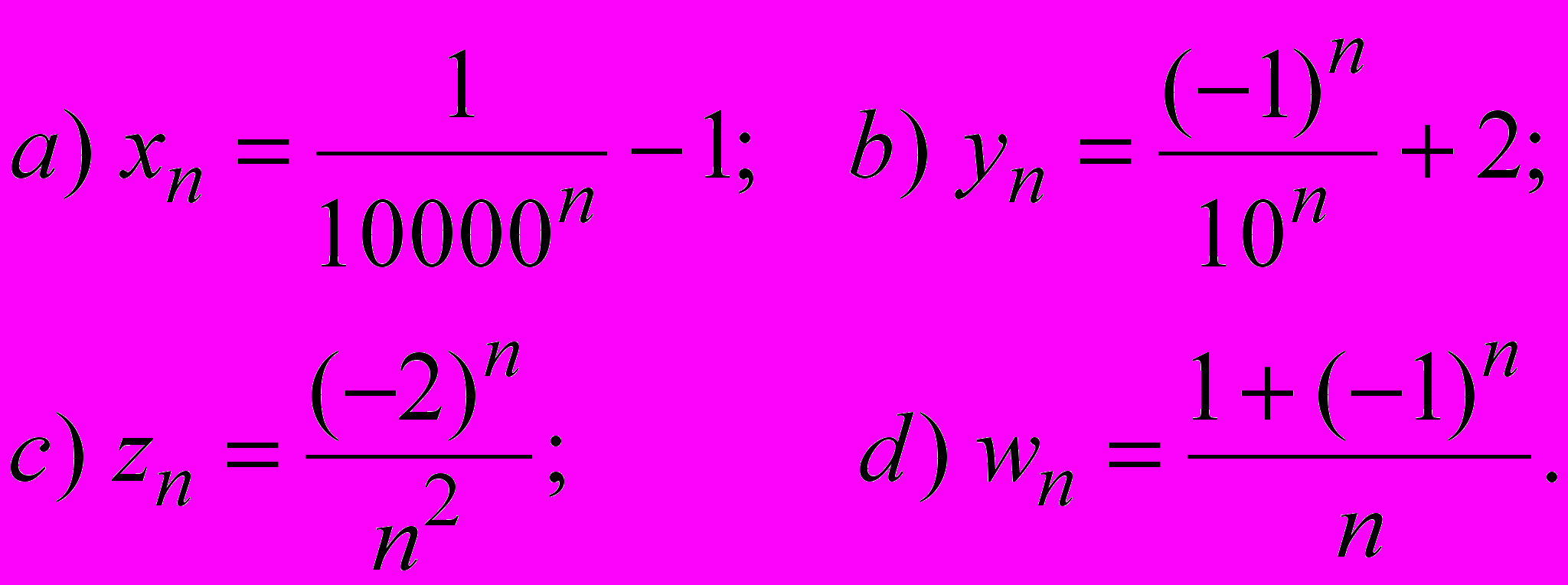
- Яка з наведених послідовностей є нескінченно малою:

- Сформулюйте теорему про суму нескінченно малих величин.
- Доведіть теорему.
1.1 Дайте означення обмеженої змінної ( послідовності ).
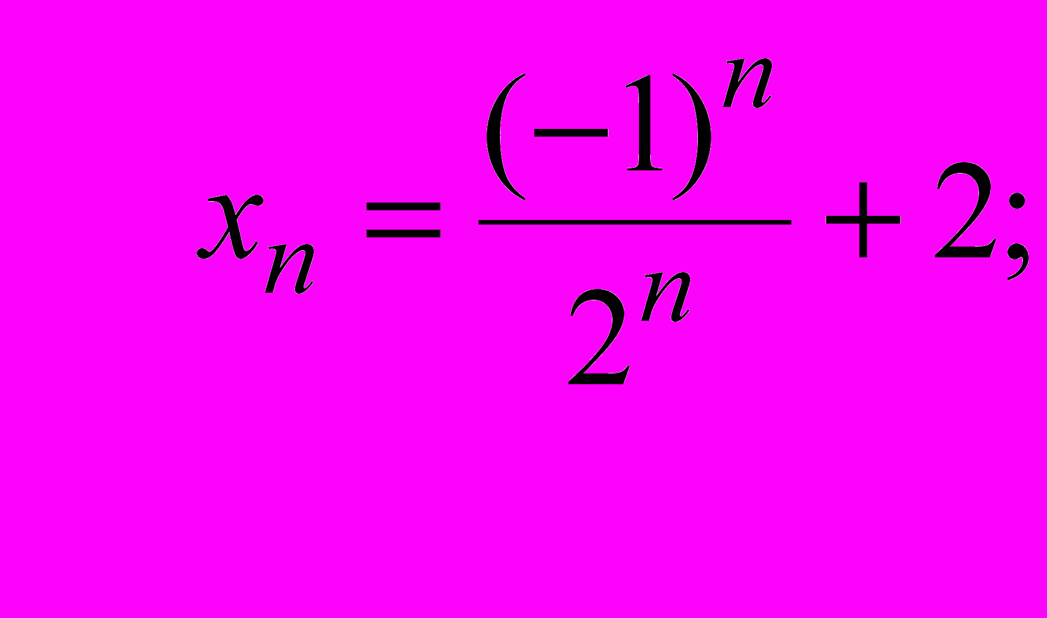
- Яка з наведених послідовностей є обмеженою:

1.3 Сформулюйте теорему про добуток нескінченно малої величини на обмежену.
1.4 Доведіть теорему.
1.1 Дайте означення нескінченно великої змінної ( послідовності ).
1.2 Яка з наведених послідовностей є нескінченно великою:

- Сформулюйте теорему про зв’язок між нескінченно малою та нескінченно великою змінними.
- Доведіть теорему.
- Дайте означення границі змінної величини.
- Чому дорівнює границя змінної
Зробіть рисунок.
( Яким чином змінна наближується до своєї границі – зростаючи? спадаючи? коливаючись? ) ?
- Сформулюйте теорему про границю суми двох змінних ( послідовностей).
- Доведіть теорему.
1.1 Дайте означення границі функції
при
Дайте геометричну інтерпретацію. Зробіть рисунок.1.2 При обчисленні якої з наведених границь має місце невизначеність


Обчисліть вибрану границю.
1.3 Сформулюйте теорему про границю добутку двох змінних ( послідовностей ).
1.4 Доведіть теорему.
1.1 Дайте означення правосторонньої границі функції
у точці
. Яка з наведених формул означає правосторонню границю? 


Поясніть рисунком.1.2 Чому дорівнює границя
. Поясніть рисунком.1.3 Сформулюйте теорему про границю частки двох змінних (послідовностей).
1.4 Доведіть теорему.
1.1 Дайте означення лівосторонньої границі функції
у точці
. Яка з наведених формул означає лівосторонню границю? 


. Поясніть рисунком1.2 Чому дорівнює границя
. Поясніть рисунком.1.3 Сформулюйте правило Лопіталя розкриття невизначеностей. Для яких невизначеностей застосовується правило Лопіталя?
1.4 Доведіть сформульоване правило (теорему).
1.1 Нехай
Чому дорівнює 
a) 3; b) 0; c)
d) 
1.2 В якому разі при обчисленні границі
її називають невизначеністю


1.3 Серед наведених прикладів знайдіть невизначеність




1.4 Обчисліть обрану границю.
