Інтегрування деяких ірраціональних І трансцендентних функцій
| Вид материала | Документы |
- Графічне інтегрування, 64.29kb.
- 2 Підстави класифікації та види функцій сучасної держави розділ формування та реалізація, 902.01kb.
- § 3 Інтегрування раціональних функцій, 73.75kb.
- 1. Хімічна термодинаміка в тнр основні поняття хіміко-технологічного процесу. Стехіометричні, 147.66kb.
- «Дослідження функцій за допомогою похідної та побудова графіків функцій», 30.16kb.
- Ми на виконання функцій держави, свідомо здійснюють неправомірні діяння, в тому числі, 191.25kb.
- Закону України "Про внесення змін до деяких законів України", 104.73kb.
- Для заказа доставки работы воспользуйтесь поиском на сайте, 787.35kb.
- Інститут комп’ютерних технологій, автоматики І метрології, 31.24kb.
- Верховна Рада Українипостановля є: I. Внести наступні зміни та доповнення до деяких, 34.12kb.
§4. Інтегрування деяких ірраціональних і трансцендентних функцій.
У даному параграфі означення R ( U, V… W) вказує на те, що над величинами U, V…W виконуються тільки раціональні алгебраїчні операції, тобто дії додавання, віднімання, множення і ділення, підведення у цілу степінь.
Наприклад, функцію f(x) = (x+1)(1+
) слід віднести до типу R(x,
), а функцію f(x) = (3x+1)(32x+4) – до типуR(3x).Розглянемо деякі типи інтегралів, які за допомогою певних підстановок можна звести до інтегралів від раціональних функцій.
10. Інтеграли виду I =

n - натуральне число, а, b, c, d - дійсні числа, ad≠ bc.
До раціонального підінтегрального виразу приводить підстановка:

Приклад1.
=
=
+2t-2
+1׀)+ С.Приклад 2.
+C.у більш загальному вигляді

Раціоналізується підстановкою
, де k– найменше загальне кратне (НЗК) чисел m, n,….Приклад 3.

20. Інтеграли виду I=
)dx, (b≠0)Шляхом виділення під коренем повного квадрату інтеграл зводиться до одного з наступних типів:
а)
; б)
; с)
.Ці інтеграли раціоналізуються за допомогою тригонометричних підстановок відповідно:
а) U=a
; dU=a
dt.б) =a tgt; dU=
.с) U=
; dU=
.Приклад 4.
dx=
Приклад 5.
sint+C=
)+C.Зауваження. До цього типу можна віднести інтеграли виду
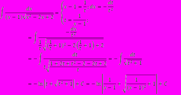
I=

Інтеграл обчислюється за допомогою підстановки
x-α=
dx=-
;Приклад 6.

30. Універсальна тригонометрична підстановка.
Інтеграли виду
раціоналізуються підстановкоюt=tg
, яка носить назву універсальною.Дійсно



тому

Приклад 7.

Зауваження. В інтегралі виду
до раціоналізації приводить підстановка t=tg x.У цьому випадку:



Приклад 8.
40. Інтеграли виду раціоналізуються підстановкою . Оскільки ,то .
Приклад 8.
§ 5. Інтеграли, що “не беруться”.
Доведемо, що існують елементарні функції, інтеграли від яких не є елементарними функціями. Про такі інтеграли кажуть, що вони не обчислюються в скінченному вигляді, або “не беруться”.

;


У цих випадках інтеграли обчислюють наближеними методами.
