Механизм воздействия инфразвука на вариации магнитного поля земли
| Вид материала | Исследование |
- Урок на тему «Магнитное поле Земли», 31.68kb.
- Дефицит магнитного поля, 27.98kb.
- Стабилизатор магнитного поля для измерителя япр конструктивная схема и модель объекта, 144.77kb.
- Задание 1 Цель: оценить значение сердечника для получения магнитного поля катушки, 33.68kb.
- Домашнее задание по физике на 4 сессию Учебник, 55.57kb.
- Задачи урока: -обучения: продолжить формирование представлений о магнитном поле; рассмотреть, 35.34kb.
- Лабораторная работа № Исследование магнитного поля модели сверхпроводникового индуктора, 75.13kb.
- Разработка урока в 8-м классе "Магнитное поле. Линии магнитного поля", 33.77kb.
- Магнитное поле. Сила Ампера. Сила Лоренца. Явление электромагнитной индукции, 98.2kb.
- Лекция n 21, 1748.76kb.
МЕХАНИЗМ ВОЗДЕЙСТВИЯ ИНФРАЗВУКА
НА ВАРИАЦИИ МАГНИТНОГО ПОЛЯ ЗЕМЛИ
М.В. Пикалов, С.А. Колесник
Томский государственный университет, г. Томск
Pikalov@mail.tsu.ru
Аннотация Аннотация Аннотация Аннотация Аннотация Аннотация Аннотация Аннотация Аннотация Аннотация Аннотация Аннотация Аннотация Аннотация Аннотация Аннотация Аннотация Аннотация Аннотация Аннотация Аннотация Аннотация Аннотация.
Земная атмосфера – достаточно сложная среда, свойства, состав и состояние которой подвержены разнообразному воздействию не только космических факторов (космические лучи, солнечное корпускулярное и ионизирующее излучение), но и геофизических процессов (синоптические возмущения, геологические процессы, человеческая деятельность). В свою очередь атмосфера Земли является средой распространения и взаимодействия волн различной физической природы (электромагнитных, акустических, гидродинамических и т.д.). Наиболее эффективно процессы трансформации волн одних типов в другие происходят в верхней атмосфере Земли, а именно в ионизованной ее части – ионосфере. Однако не все возможные виды подобных взаимодействий к настоящему моменту исследованы.
Исследование взаимодействия трёх сред, окружающих Землю (приземная атмосфера (тропосфера), ионосфера и магнитосфера), является одной из самых актуальных задач современной геофизики. Известно, что мощные циклоны, формирующиеся в основном в приземной атмосфере – тропосфере, при своем прохождении в ряде случаев сопровождаются появлением весьма специфических колебаний компонент магнитного поля Земли. Установлено, что в вариациях компонент магнитного поля, при прохождении мощных циклонов, появляются спектральные составляющие на частотах около 2 Гц, уровень которых может в десятки раз превосходить уровень фона [1–4]. Но сами циклоны не являются в рассматриваемом частотном диапазоне источником электромагнитных излучений, обладающих высокой добротностью. Однако экспериментально установлено, что мощные циклоны являются источником акустических колебаний.
Известно [6], что частоты инфразвуковых колебаний, генерируемых при аэро- и гидрофизических процессах, соответствуют частотам колебаний геомагнитного поля, наблюдающихся при этих процессах.
В работах [1, 2] отмечается, что достаточная часть энергии взрыва у поверхности Земли передавалась акустической волне, которая с нарастающей амплитудой распространялась до ионосферных высот и приводила там к образованию мелкомасштабных неоднородностей, что в свою очередь могло привести к колебаниям электромагнитного поля. Экспериментальные данные радарных установок о размерах неоднородностей говорили о возможной генерации электромагнитных полей в указанном диапазоне. Логично предположить, что акустические возмущения от естественных источников с достаточной энергией акустической волны могут вызывать аналогичные эффекты.
На рис. 1 изображен механизм трансформации акустических колебаний инфразвукового диапазона в вариации компонент геомагнитного поля. Акустические колебания инфразвукового диапазона, генерируемые атмосферными циклонами, достигая высот нижней ионосферы, приводят к появлению периодических изменений электронной концентрации в поле волны, как следствие – периодически меняется проводимость плазмы. Периодические колебания проводимости приводят к модуляции ионосферных токов на частоте (частотах) акустического воздействия. Возникшие в ионосферной плазме переменные токи далее являются причиной периодических колебаний индукции магнитного поля Земли.

Рис. 1. Механизм трансформации акустических колебаний инфразвукового диапазона
в вариации компонент геомагнитного поля
Схематически данный механизм можно представить в следующем виде:

где
– амплитуда акустических колебаний инфразвукового диапазона,
– амплитуда колебаний электронной и ионной концентрации,
– амплитуда колебаний проводимостей (продольной, педерсеновской и холовской),
– амплитуда колебаний ионосферных токов,
– амплитуда колебаний индукции геомагнитного поля.Амплитуда колебаний индукции геомагнитного поля зависит от периодических колебаний ионосферных токов и определяется выражением

где μ0 – магнитная постоянная,
– тензор проводимости состоящий из продольной, педерсеновской и холовской проводимостей,
– электрическое поле,
– скорость ветра,
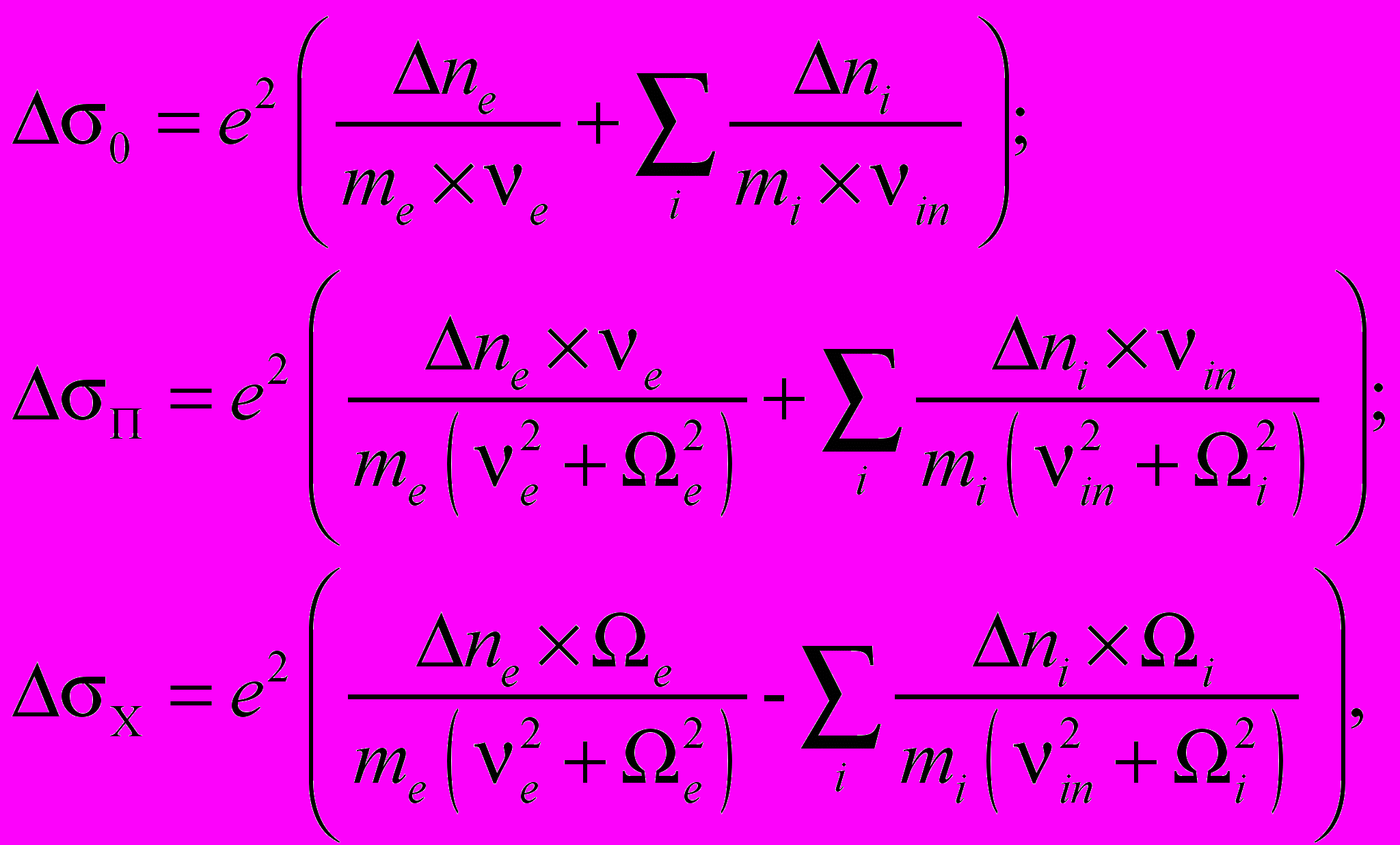
– магнитное поле Земли.Амплитуда колебаний проводимостей
определяется следующими выражениями:
где e – заряд электрона, me – масса электрона, mi – масса иона, ve – частота соударения электронов и нейтралов, vin – частота соударения ионов и нейтралов, Ωe – гирочастота электронов, Ωi – гирочастота ионов.
Колебания электронной и ионной концентрации зависят от отношения амплитуды акустических колебаний инфразвукового диапазона ΔP к атмосферному давлению P:
где
– содержание электронной и ионной концентрации в атмосфере.Согласно барометрическому закону это отношение растет с увеличением высоты. Коэффициент затухания инфразвука на низких частотах очень мал и акустические колебания распространяются на большие расстояния (высоты) практически без потери мощности. Предварительные расчеты показали, что при определенных геофизических условиях акустические колебания инфразвукового диапазона могут вызывать колебания амплитуды индукции ГМП.
Работа выполнена при поддержке ФЦП «Научные и научно-педагогические кадры инновационной России на 2009–2013 гг.», ФЦП «Исследования и разработки по приоритетным направлениям развития научно-технологического комплекса России на 2007–2012 гг.», АВЦП Минобрнауки и РФФИ (проект № 10-05-90731 моб_ст).
Литература
1. Щепетнов Р.В., Троицкая В.А., Довбня Б.В. Электромагнитное излучение с центральной частотой 2 Гц во время мощного циклона 9 июня 1984 г. // Доклады Академии наук. М.: Наука, 1986. Т. 290, № 3. С. 582–585.
2. Гохберг М.Б. Новый тип электромагнитной эмиссии в диапазоне короткопериодных геомагнитных колебаний // Доклады Академии наук. М.: Наука, 1998. Т. 359, № 4. С. 543–544.
3. Пикалов М.В., Колесник С.А. Влияние атмосферного давления на спектральные характеристики электромагнитного поля в крайненизкочастотном диапазоне // Изв. вузов. Физика. Томск: Изд-во ТГУ, 2005. Т. 48, № 6. С. 139–140.
4. Пикалов М.В., Колесник С.А., Соловьев А.В. Возмущение электромагнитного поля мощными циклонами // Изв. вузов. Физика. Томск: Изд-во ТГУ, 2006. Т. 49, № 3. С. 244 –245.
5. Провоторов Д.С., Соловьев А.В. Взаимосвязь инфразвукового фона и метеорологических величин // Материалы VI Междунар. школы молодых ученых и специалистов «Физика окружающей среды». Томск: Изд-во ТГУ, 2007. С. 106–109.
6. Степанюк И.А. Электромагнитные поля при аэро- и гидрофизических процессах. СПб.: Изд. РГГМУ, 2002. 214 с.
