Лабораторная работа 5 Вариант 11 Цель работы
| Вид материала | Лабораторная работа |
- Лабораторная работа №2-16 Цель работы, 197.15kb.
- Управление проектами в сфере информационных технологий. Лабораторная работа № Цель, 223.72kb.
- Лабораторная работа №18 Создание форм в субд access Цель работы, 20.28kb.
- Лабораторная работа №3·09а получение и исследование света с различными состояниями, 128.34kb.
- Методические возможности стенда Особенности работы на стендах уилс-1 Ознакомительное, 1487.3kb.
- Лабораторная работа, 35.27kb.
- Лабораторная работа, 631.21kb.
- Лабораторная работа №14, 44.3kb.
- Лабораторная работа №1. Командный интерпретатор, 418.36kb.
- Лабораторная работа 11 класс, 180.05kb.
Лабораторная работа 5
Вариант 11
Цель работы: изучение методов численного интегрирования обыкновенных дифференциальных уравнений, практическое решение уравнений на ЭВМ, сравнительный анализ рассмотренных методов.
Данная работа выполнена с помощью метода Рунге-Кутта четвертого порядка точности, а так же были определены максимальная и интегральная оценки.
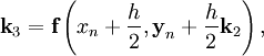
Метод Рунге–Кутта часто применяется для решения дифференциальных уравнений и систем уравнений из-за его высокой точности. Отличительная особенность метода – уточнение наклона интегральной кривой за счет вычисления производной не только в начале текущего отрезка интегрирования, но и, например, в середине отрезка или четырехкратное вычисление производных в методе четвертого порядка.
Рассмотрим задачу Коши
.Тогда значение в следующей точке вычисляется по формуле:

где h — величина шага сетки по x и вычисление нового значение проходит в четыре этапа:




Исходя из вышеизложенного, для решения систем дифференциальных уравнений выбирается наиболее точный метод решения – метод Рунге-Кутта 4 порядка, один из самых употребляемых методов интегрирования дифференциальных уравнений.
- этот метод является одноступенчатым и одношаговым
- требует информацию только об одной точке
- имеет небольшую погрешность
- значение функции рассчитывается при каждом шаге.
Необходимо определить близость полученного заданным методом решения к точному значению с помощью оценок:
Максимальной оценки

Интегральной оценки

З
десь
- точное решение,
- полученное приближенное решение.Блок-схема
