Всероссийская олимпиада школьников «Шаг в будущее» Математика
| Вид материала | Документы |
- Всероссийская филологическая олимпиада «Шаг в будущее» для школьников по русскому языку, 126.58kb.
- Конкурс интеллектуалов «Технология развития памяти и логики» Всероссийская олимпиада, 95.9kb.
- Всероссийская Интернет-олимпиада школьников, студентов, аспирантов и молодых ученых, 11.94kb.
- Секретариат программы «Шаг в будущее» Почтовый адрес, 1818.72kb.
- Пояснительная записка в 1964 году Министр просвещения, 2541.4kb.
- Программа для молодёжи и школьников «шаг в будущее», 263.02kb.
- Российской научно-социальной программы для молодежи и школьников «Шаг в будущее» общие, 219.31kb.
- Международные олимпиады по общеобразовательным предметам и всероссийская олимпиада, 202.54kb.
- Творческая работа Окристаллах, 182.71kb.
- Проектная работа Чудо люминесценции, 436.64kb.
Всероссийская олимпиада школьников «Шаг в будущее»
Математика
Направление: Математика в современном мире
Задания олимпиады по математике
1. Три различных числа образуют геометрическую прогрессию, а их попарные суммы, взятые в некотором порядке – арифметическую прогрессию. Найдите знаменатель геометрической прогрессии.
2. Длины боковых сторон трапеции равны 3 и 5. Известно, что в трапецию можно вписать окружность. Средняя линия трапеции делит её на две части, отношение площадей которых равно
. Найти длины оснований трапеции.3.Решите уравнение

4
. Решите неравенство5

. Найдите все решения уравнения на отрезке 6
. Найдите множество значений функции 7
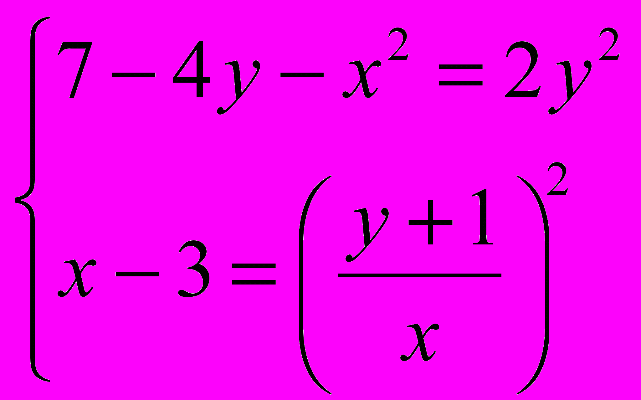
. Решите систему8. Дана прямая призма ABCA'B'C', стороны основания которой AB=BC=1, AC=
. В каком отношении объём вписанного в призму цилиндра делится плоскостью ACB' ?
9
. Две параллельные касательные к графику функции пересекают оси координат: первая в т. А и В, вторая в т. C и D. Точка О - начало координат. Найдите площадь треугольника АОВ, если известно, что она в 4 раза меньше, чем площадь треугольника COD.10. В равнобедренном треугольнике с боковыми сторонами, равными 1, и основанием, равным а, среди всех вписанных прямоугольников с двумя вершинами на основании треугольника выбран прямоугольник наибольшей площади. При каком значении а площадь этого наибольшего прямоугольника будет наибольшей?
11. При каких значениях параметра a существует такое k, что уравнение
имеет ровно три решения?
