|
< Предыдущая |
Оглавление |
Следующая > |
|---|
2.3. Услуги как основа сервисной экономики
Маркетинг - закономерный результат развития рыночных отношений. С развитием коммерции услуг экономика России приобретает сервисный характер, постепенно преобразуясь из экономики производителей в экономику наиболее полного удовлетворения специфического спроса потребителей.
Концепция маркетинга предполагает ориентацию экономики на более полное и эффективное удовлетворение потребительского спроса за счет развития необходимых сервисных услуг и ориентацию их на потребителей.
По мнению американского ученого П. Дойль, тенденции развития мировой экономики иллюстрируют, что в начале XX в. в "передовиках управленческой мысли" ходила автомобильная промышленность, в середине века - компьютерная индустрия, а в конце этого века именно компании сферы услуг обеспечивают экономическое развитие страны и новые рабочие места.
Услуга выступает как одна из важнейших разновидностей бизнеса, так как является товаром (предметом) купли-продажи, от реализации которого общество получает ощутимую пользу.
Сервисная экономика характеризуется следующими основными факторами:
o понятие полезности товаров отождествляется не только с материальным качеством, но и с развитием сопутствующих услуг и процессов, обеспечивающих эффективность бизнеса;
o понятие качества услуги, в которое добавляется способность предприятия оперативно взаимодействовать с потребителями;
o постоянно меняющиеся с учетом тенденции и закономерности рынка стиль и методы управления. Появляется гибкость, адаптивность, скорость принятия решений, активизируются маркетинговая и логистическая компоненты управления;
o производственная система, являющаяся более открытой, с динамичными коммерческими связями и с поставщиками услуг, и с потребителями;
o конкуренция, направленная на сотрудничество и взаимодействие для более полного удовлетворения потребностей клиентов;
o качество обслуживания клиентов, нацеленное на более полное удовлетворение потребностей клиентов.
Сервисизация происходит от английского слова service - 'услуга'. Сервисизация представляет многогранный процесс активного инвестирования в инфраструктурные услуговые отрасли, который обусловлен ростом доходов, расширением потребности в кредитных ресурсах, ускорением темпов НТП и поиском ресурсосберегающих технологий в сфере производства и реализации продукта.
Услуги способствуют социальной ориентации экономики, повышению качества жизни общества, его гармонизации. Не случайно в передовых странах мира доля услуг в общем объеме ВВП в 2005 г. превышает уровень 80%. В сфере услуг сконцентрировано более 80% работников умственного труда и 87% кадров высшей квалификации. Это касается прежде всего науки, образования, здравоохранения, телекоммуникаций, компьютерных, инжиниринговых услуг, услуг в области паблик рилейшнз.
Производство услуг в России в валовом внутреннем продукте неуклонно растет и составляет более 60%. На производство услуг влияют экономический механизм развития общества, масштабы общественного производства, сложность его отраслевой структуры, процесс углубления специализации и кооперирования в промышленности, количество и качество производимой и потребляемой в обществе продукции.
Широкое оказание сервисных услуг становится основным 4эактором, определяющим конечный результат эффективного функционирования производства и обращения. Это - новое направление в экономике страны, свидетельствующее о начинающемся, более прогрессивном этапе ее развития.
Следовательно, услуги являются объектом коммерции и рассматриваются как конкретный товар, влияющий на результаты экономически полезной деятельности коммерческой фирмы. Чем выше качество услуг, тем большую полезность (доход) они приносят оказывающей их фирме.
Согласно стандарту ISO 8402-86 качество услуги определяется как совокупность ее свойств и характеристик, которые придают ей способность удовлетворять обусловленные потребности.
Развитие современного профессионального бизнеса неразрывно связано с сервисизацией производства, распределения, обмена, потребления товаров и услуг. Сервисный потенциал (СП) - один из наиболее важных и активно развивающихся элементов современного цивилизованного рыночного механизма, непосредственно связанного с максимизацией потребительской удовлетворенности и повышением на этой основе эффективности производства и коммерции.
Слово "услуга" имеет два значения: 'действие, приносящее пользу другому'; 'хозяйственные удобства, предоставляемые кому-либо'.
Можно утверждать, что именно услуги воплощают в себе в определенном смысле уровень развития общества: его производительные силы и нравственное состояние. Поэтому оказание услуг постепенно превращается в самостоятельный вид деятельности коммерческо-посреднических структур, который по своей направленности можно подразделить на две большие самостоятельные группы:
o услуги, направленные на производственное потребление и обычно оказываемые юридическим лицам (промышленным или иным фирмам и компаниям);
o услуги, направленные на индивидуальное конечное потребление и оказываемые, как правило, физическим лицам (населению).
В соответствии с научными исследованиями профессора В. Д. Марковой деятельность в области оказания услуг включает пять классификационных групп:
1. Производственные услуги -инжиниринг, лизинг, обслуживание, ремонт оборудования и др.
2. Распределительные услуги - торговля, транспорт, связь.
3. Профессиональные услуги - банки, страховые, финансовые, консультационные, рекламные и т. п.
4. Потребительские (массовые) услуги, связанные с домашним хозяйством и времяпрепровождением.
5. Общественные услуги - телевидение, радио, образование, медицина, спорт, культура.
Ф. Котлер выделяет четыре классификационных признака услуг: осязаемость, неотделимость от источника, непостоянство качества, невозможность хранения и транспортирования.
Коммерческие услуги можно классифицировать по 10 признакам, приведенным на рис. 2.7.
Особую значимость при развитии рыночных механизмов приобретает классификационный признак по творческому подходу к созданию сервисного продукта. С учетом основных маркетинговых элементов услуги подразделяют на креативные (парикмахерские услуги, услуги паблик рилейшнз, дизайна и проч.) и некреативные (раскрой, нарезка металла, фасовка сыпучих материалов и проч.).
Применительно к отраслевой структуре все услуги можно подразделить: на транспортные, в строительстве, в промышленности, в агропромышленном комплексе, туристско-экскурсионные услуги, торговые, общественного питания и проч.
Для ритмичной работы всех субъектов рынка важную роль играет развитие как межотраслевых, так и внутриотраслевых партнерских союзов через интеграцию структур малого и крупного бизнеса. Отсюда формируется третий классификационный признак - по возможности интеграции услуг малого бизнеса с крупным бизнесом. Здесь выделяют: интегрируемые (в строительстве, производстве, торговле и проч.) и неинтегрируемые (бытовые и проч.) услуги.

Рис. 2.7. Классификация услуг
К неинтегрируемым услугам относятся такие, при которых экономические, правовые и организационные отношения устанавливаются без учета интересов других производственных объединений, предприятий и фирм-изготовителей.
В настоящих условиях совершенствования рыночных отношений большое значение приобретает создание интегрируемых услуг, к которым относятся такие услуги, при которых выполнение маркетингового плана и производственного задания возможно за счет интеграции малых и крупных организаций. Малые структуры в этом случае не только организуют коммерческие связи между производством и потреблением, но и выступают в качестве участника в этих связях, экономических и правовых взаимоотношениях сторон. Они согласовывают между поставщиками и потребителями количество и ассортимент поставляемой продукции, ее технические характеристики, частные сроки поставок, заключают хозяйственные договоры, организуют поставки продукции, участвуют в расчетах с поставщиками и потребителями, несут ответственность за невыполнение договорных обязательств.
В условиях формирования рынка услуг существенную роль наряду с производственными и коммерческими звеньями должны играть органы республиканского и регионального управления.
По мере усложнения отраслевой структуры национального хозяйства интеграционные связи развиваются и усложняются и, следовательно, из года в год возрастает их значение. При этом все большую роль играет в их развитии государственная поддержка. По государственной поддержке в создании маркетингового сервисного продукта выделяют: софинансируемые (инновационные, информационные, образовательные услуги и др.) и самофинансируемые.
По пятому признаку, территориальному, услуги подразделяются: на местные (ремонт обуви, услуги гувернера и проч.), внутрирегиональные (образовательные услуги, медицинские услуги и проч.), межрегиональные (транспортные услуги, услуги связи и проч.), национальные (услуги экологического туризма, транспортные услуги и проч.) и международные (услуги по проведению международных выставок, ярмарок, аукционов, лизинговые услуги, науки, образования и проч.).
Совершенно очевидно, что услуги местного уровня выполняются малыми предприятиями и микропредпринимателями. Деление по данному признаку важно с точки зрения определения степени их участия в формировании рынка услуг. Совершенно очевидно, что организация эффективных межгосударственных торгово-экономических, кооперационных и научно-технических российских услуг является совместным делом участников рыночного оборота.
По целевой установке услуги сферы малого бизнеса подразделяются: на коммерческие, где услуги рассматриваются как объекты купли-продажи с ориентацией на формирование доходной базы, и некоммерческие, которые направлены на повышение качества обслуживания и создание высокой репутации.
По ориентации на воспроизводственный процесс выделяют следующие типы услуг: производственные, распределительные, обменные, личного потребления (в условиях экологического маркетинга можно здесь назвать и утилизационные услуги).
По степени осязаемости различают услуги нематериального характера, в том числе: информационные, наука, образование, культура, искусство, здравоохранение, досуговые, рекреационные, деловые услуги (неосязаемые) и услуги материального характера (осязаемые), которые обретают вещественную форму, а именно: бытовые, производственные, строительные, телекоммуникационные, услуги транспортные, сервисного обслуживания, финансовые и другие услуги.
По признаку абстракции услуги можно назвать идеальными и реальными. В этом классификационном признаке хорошо просматривается такое свойство услуги, как нестабильность качества. Лишь идеальные услуги могут быть полностью стандартизированы; услуги в реальном исполнении всегда оригинальны, так как они индивидуализированы по исполнителям (производителям), потребителям (получателям), каналам распределения и т. д.
По назначению услуги подразделяются на личные и коллективные. При этом очевидно, что большинство услуг имеют полезность для отдельных людей (например, услуги по обучению конкретного человека) и/или для определенного коллектива (например, услуги лектора студенческой аудитории) - отсюда и название.
Технологический прогресс, социально-демографические изменения, рост благосостояния населения, обострение конкурентной борьбы - все это создает предпосылки для развития сферы услуг и определяет перспективы ее развития.
Концепция коммерции услуг на российском рынке предполагает создание единого комплекса производственных, коммерческих, институциональных и социальных услуг высокого качества для организации эффективного процесса купли-продажи с использованием маркетинга услуг, коммерческой логистики на взаимовыгодной основе всех участников рыночного оборота в целях максимального удовлетворения потребностей нашего общества.
При формировании концепции посреднических услуг необходимо помнить об уровне и степени потребности в них рынка услуг с учетом взаимовыгодности как для продавца, так и для покупателей. Именно состояние спроса и рациональное перераспределение полученных доходов между участниками рыночного товарооборота и определяет эффективность посреднической деятельности. Концепция коммерческих услуг, прямо влияющая на организационные формы управления коммерческо-посреднической деятельностью, показана на рис. 2.8.
В настоящее время в результате реструктуризации сервисных фирм стала более заметной доля услуг инжинирингового характера.
Инжиниринговые услуги - это выполнение комплекса операций по оказанию услуг производственного, коммерческого и научно-технического характера, осуществляемого инженерно-консультационными промышленными, строительными и другими коммерческими организациями.

Основные операции по оказанию инжиниринговых услуг сервисными фирмами приведены на рис. 2.9.

Рис. 2.9. Основные операции по оказанию инжиниринговых услуг сервисными фирмами
Важным теоретическим аспектом проблематики услуг является рассмотрение их как объекта коммерции. Уже говорилось, что услуги являются предметом купли-продажи, т. е. объектом коммерческой деятельности. Особенность такой коммерции состоит в том, что полученный от нее доход имеет два источника: непосредственный и косвенный. Первый - это оплата услуги клиентом; второй обусловлен повышением конкурентоспособности реализуемого товара в результатах оказания предпродажной услуги (например, предварительного раскроя ткани по заказам покупателя и т. п.), что повышает привлекательность выполненных работ и увеличивает объем и устойчивость продаж. По оценке статистиков, доход от своевременного оказания услуг повышается в среднем на 10-20%. Отсюда следует, что коммерция услуг - это категория достаточно специфическая. С одной стороны, на нее влияют объемы оптовой реализации товаров, а с другой - суммарные величины продажи услуг как своеобразного товара. Это означает, что оптовый товарооборот коммерческо-посреднической фирмы в значительной мере является функцией от объема выполняемых услуг, т. е.

где С? - оптовый товарооборот продукции, реализуемой на оптовом рынке;
5 - объем выполняемых услуг.
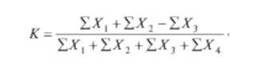
Представляется возможным ввести понятие коэффициента эластичности товарооборота от объема оказываемых услуг, т. е.

Представленный коэффициент эластичности товарооборота показывает, насколько реагирует оптовая реализация продукции на изменение объема оказываемых услуг, т. е. изменение объема оптового товарооборота (С?,, - С^) при изменении объема услуг (5" - 5,) на 1%.
Если полученный К(5) > 1, то товарооборот считается эластичным от оказываемых услуг. В этом случае цены на реализацию можно оставить на прежнем уровне. При К(У) < 1 считается возможным увеличение продажных цен.
Схема эластичности услуг представлена на рис. 2.10.

Рис. 2.10. График эластичности услуг
Совершенно очевидно, что услуги в основном неосязаемы и не приводят к владению чем-либо. Рынок услуг выступает связующим звеном между производством и потреблением товаров (услуг), способствует обеспечению пропорциональности их воспроизводства. Главное отличие рынка услуг от производства товаров - услуги производятся и потребляются в основном одновременно и не подлежат хранению.
Как правило, услуги базируются на прямых контактах между производителями и потребителями.
Для обеспечения согласования спроса и предложения на рынке услуг необходимо:
1. Внедрение основных элементов электронного рынка для получения необходимой информации, чтобы повысить качество обслуживания клиентов.
2. Активное использование маркетинговых коммуникационных каналов для установления своевременных контактов не только с собственными целевыми аудиториями покупателей, но и с представителями деловых кругов общественности для последовательной реализации стратегии посреднической фирмы, доход которой формируется за счет реализации посреднических услуг.
3. Внедрение системы качества обеспечения клиентов, предусматривающей реализацию стандартов на оформление предварительных в текущих заказов, оказание предпродажных и послепродажных услуг, четкость, скорость и оперативность обслуживания с активным использованием средств электроники и автоматизации.
В последнее время и на российском рынке услуг сложились четкие стандарты обслуживания клиентов, позволяющие приблизить отечественную торговлю к международным стандартам:
o максимальное внимание к клиентам;
o высокое качество комплекса предоставляемых услуг;
o постоянное повышение образовательного и квалификационного уровня специалистов и всего персонала;
o грамотное и оперативное использование форм и методов системы паблик рилейшнз в целях увеличения результатов коммерческой деятельности и популярности фирмы в обществе.
Качество услуг (Ко) определяется как слагаемое из качества выполнения самой услуги и качества обслуживания клиентов и определяется по формуле

где а}, а2 - веса, определяемые методом анкетного опроса;
Ку - комплексный показатель качества используемой услуги;
Ко - комплексный показатель качества процесса обслуживания.
Отдельные ведущие фирмы страны в последнее время успешно используют социограммы для оценки качества обслуживания, позволяющие более полно оценивать качество обслуживания. При этом определяются целевые группы респондентов для комплексной оценки уровня качества обслуживания.
Социограмма - графическое изображение положительных и отрицательных отзывов о качестве обслуживания по группам респондентов с учетом различных признаков. Подобная социограмма проиллюстрирована на рис. 2.11.
Группа респондентов может включать различные по численности группы с позиции их удовлетворенности сервисным обслуживанием со стороны магазина. Группы А, В, С, Т) объединяют опрашиваемых в зависимости от их оценки культуры обслуживания, атмосферы магазина, удобства парковки, наличия дополнительных услуг в части нарезки продуктов, чистки свежей рыбы и т. п. в данном магазине.
Обобщающий показатель качества обслуживания потребителей (К) определяется по формуле


Рис. 2.11. Социограмма

Если К = 0,8-г-1 -обслуживание отличное; К = 0,6-г-0,79 - хорошее; К= 0,5-г-0,59 -удовлетворительное; К <0,5 - неудовлетворительное.
Для анализа полученной социограммы качества обслуживания потребителей приглашаются эксперты, которые предлагают помимо расчетного показателя К использовать систему балльных оценок различных вариантов реакции на потребительские услуги внутри каждой группы респондентов. Экспертная команда из представителей маркетинговых служб, а также внешних независимых экспертов дает обобщенную оценку качества обслуживания по каждой социальной группе респондентов в отдельности и в целом по социограмме.
Выявленные результаты позволяют наметить меры по совершенствованию системы обслуживания и основные направления реструктуризации фирмы.
Необходимо отметить, что высокое качество сервисных услуг безусловно способствует формированию общества с высоким качеством жизни и потребительской удовлетворенности.
Выводы
1. Сфера товарного обращения является важным фактором эффективности рыночного механизма, так как через нее проходит более 2/3 всего российского товарооборота.
2. Сфера товарного обращения представляет целостную совокупность взаимосвязанных фирм и компаний различных отраслей, выполняющую функцию обмена товарно-денежной массы в целях обеспечения воспроизводственного цикла в стране. Обмен готовой продукции на денежную массу осуществляется за счет организации коммерческо-посреднической деятельности.
3. Коммерческо-посредническая деятельность -это сложная оперативно-организационная система, направленная на обеспечение совершения процессов купли-продажи с учетом текущих и перспективных рыночных изменений в целях полного, качественного и своевременного удовлетворения потребностей населения и получения прибыли.
4. Операции, совершаемые в процессе коммерческо-посреднической деятельности, подразделяют на два вида: производственные и коммерческие.
5. Независимые оптовые посредники бывают двух типов: дистрибьюторы, имеющие (арендующие) склады, и дистрибьюторы, не имеющие (не арендующие) складов. Дистрибьюторов, не арендующих и не имеющих складов, часто называют маклерами.
6. Консигнатор не является собственником товара и осуществляет свою деятельность по поручению консигнанта, в соответствии с которым получает право продавать товар от своего имени, рекламировать его, но за счет консигнанта.
7. Торговые агенты осуществляют свою коммерческую деятельность за счет и в интересах другого лица (принципала). Отношения между агентом и его партнером (принципалом) регулируются специальным агентским соглашением.
8. Малый бизнес - основа экономики России, и чем активнее он развивается, тем устойчивее и здоровее экономика. Сфера малого бизнеса представляет единое целое организованных и неорганизованных рынков товаров и услуг, производящихся субъектами малого предпринимательства, входящими в национальную рыночную систему, которая существует и развивается в инфраструктурном окружении и имеет множество внешних и внутренних каналов связи с маркетинговой средой.
9. Маркетинг в отраслях сферы малого бизнеса - комплексная система управленческой, регулирующей и исследовательской деятельности, учитывающая отраслевые особенности, направленная на удовлетворение потребностей общества в соответствии с покупательским спросом.
|
< Предыдущая |
Оглавление |
Следующая > |
|---|
