|
< Предыдущая |
Оглавление |
Следующая > |
|---|
5.10.8. Обозначения метрических резьб
Обозначение резьбы состоит из двух частей: из обозначения геометрических параметров и полей допусков.
Обозначение геометрических параметров. Согласно стандарту приняты следующие обозначения:
1) резьба с крупным шагом должна обозначаться буквой Л/ и номинальным диаметром, например: Л/24, Л/64;
2) резьба с мелким шагом должна обозначаться буквой Л/, номинальным диаметром и шагом, например: Л/24 х 2, Л/64 х 3;
3) для левой резьбы после условного обозначения ставят /.Я, например: Л/24/,//; Л/64 х ЗЛЯ;
4) многозаходные резьбы должны обозначаться буквой Л/, номинальным диаметром, числовым значением хода и в скобках буквой Ри числовым значением шага, например: Л/24 х 3(Р) - резьба метрическая, трехзаходная, с шагом 1 мм; Л/24 х 3(Р)ЬН - резьба метрическая, левая, трехзаходная (ход 3 мм), с шагом I мм.
Обозначение допусков резьбы. Согласно стандарту обозначение поля допуска состоит из цифры, обозначающей степень точности, и буквы (строчной для болта и прописной для гайки), обозначающей основное отклонение. Например: 6Л; 6#; 6Я.
Обозначение поля допуска болта состоит из обозначения поля допуска среднего диаметра, помещаемого на первом месте, и обозначения поля допуска наружного диаметра.
Например: 7Л6Л, где 7Н - поле допуска среднего диаметра болта (7-я степень точности, основное отклонение - И) 6п - поле допуска наружного диаметра болта (6-я степень точности, основное отклонение - И).
Если обозначения полей допусков среднего и наружного диаметра болта одинаковы, то в обозначении поля допуска резьбы бол-га они не повторяются. Например: 6Л, где 6Л - поле допуска среднего диаметра болта (6-я степень точности, основное отклонение - А); 6А - поле допуска наружного диаметра болта (6-я степень точности, основное отклонение - Л).
Обозначение поля допуска гайки состоит из обозначения поля допуска среднего диаметра, помещаемого на первом месте, и обозначения поля допуска внутреннего диаметра. Например: 7Я6Я, где 7Я - поле допуска среднего диаметра гайки (7-я степень точности, основное отклонение - Я); 6Я- поле допуска внутреннего диаметра гайки (6-я степень точности, основное отклонение - Я).
Если обозначения полей допусков среднего и наружного диаметра гайки одинаковы, то в обозначении поля допуска резьбы гайки они не повторяются. Например: 6Я, где 6Я- поле допуска среднего диаметра гайки (6-я степень точности, основное отклонение - Я); 6Я- поле допуска внутреннего диаметра гайки (6-я степень точности, основное отклонение - Я).
Для переходных посадок и посадок с натягом принят аналогичный порядок обозначения полей допусков резьбовых деталей, но для наружной резьбы указывают только поле допуска среднего диаметра. Дополнительно в скобках указывают число групп сортировки.
Полное обозначение резьб. Обозначение поля допуска резьбы помещается за обозначением размера резьбы и отделяется от него горизонтальной чертой. Например: Л/12-6^.
Посадка резьбовых деталей обозначается дробью (с наклонной чертой), в числителе которой указывают обозначение поля допуска гайки, а в знаменателе - обозначение поля допуска болта. Например: Л/12-6Я/%
Если длина свинчивания относится к группам 5 (но меньше, чем вся длина резьбы) или I, то в обозначении резьбы должна быть указана длина свинчивания (мм). Например: Л/12-1ф&- 30.
5.10.9. Трапецеидальная резьба
По сравнению с треугольной трапецеидальная резьба имеет большую прочность, меньшие потери на трение и повышенную износостойкость, поэтому широко применяется в винтовых механизмах. Преимущественно используются трапецеидальные резьбы со средними шагами. Мелкий шаг назначают для получения осевых перемещений высокой точности, а крупный - в целях увеличения износостойкости (рис. 5.104).
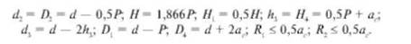
Размеры элементов профиля трапецеидальной резьбы рассчитывают по следующим зависимостям:

Рис. 5.104. Номинальный профиль, размеры элементов, основные отклонения трапецеидальной резьбы

Зазор по вершине резьбы ас определяется шагом:
|
Шаг Р мм |
1,5 |
2-5 |
6-12 |
14-40 |
|
Зазор а, мм |
0,15 |
0,25 |
0,5 |
1 |
Поля допусков одно- и многозаходных трапецеидальных резьб установлены в точном, среднем и грубом классах точности.
Длины свинчивания подразделяются на две группы: нормальные /Уи длинные Ь. Поля допусков трапецеидальных резьб выбирают с учетом класса точности и длины свинчивания (табл. 5.60).
5.60. Поля допусков трапецеидальных резьб для различных длин свинчивания и классов точности

Трапецеидальные резьбы обозначаются буквами Тг, а в остальном структура их условных обозначений аналогична принятой для метрических резьб:

|
< Предыдущая |
Оглавление |
Следующая > |
|---|
