Авторефераты по всем темам >>
Авторефераты по экономике
Теория и методология комплексной оценки регулятивного и экономического капитала в российской банковской системе
Автореферат докторской диссертации по экономике
|
Мануйленко Виктория Валерьевна
ТЕОРИЯ И МЕТОДОЛОГИЯ КОМПЛЕКСНОЙ ОЦЕНКИ РЕГУЛЯТИВНОГО И ЭКОНОМИЧЕСКОГО КАПИТАЛА
В РОССИЙСКОЙ БАНКОВСКОЙ СИСТЕМЕ
Специальность 08.00.10 - Финансы, денежное обращение и кредит
АВТОРЕФЕРАТ
диссертации на соискание ученой степени
доктора экономических наук
Ставрополь
2011
Работа авыполнена ав аГОУ аВПО аСеверо-Кавказский государственный технический университет
Научный консультант:а а доктор экономических наук, профессор
а аКуницына Наталья Николаевнаа
Официальные оппоненты:аа доктор экономических наук, профессор
аа аа Семенюта Ольга Гетовна
доктор экономических наук, профессор
Перекрестова Любовь Вениаминовна
доктор экономических наук, доцент
Поморина Марина Александровна
Ведущая организация: аа ГОУ ВПО Санкт-Петербургский
государственный университет
экономики и финансов
аа
Защита состоится 30 июня 2011 года в 1000 часов на заседании диссертационного совета по экономическим наукам Д 212.245.07 при ГОУ ВПО Северо-Кавказский аагосударственный аатехнический ауниверситет апо аадресу:а 355028, аг. Ставрополь, пр. Кулакова, 2.
С диссертацией можно ознакомиться в библиотеке ГОУ ВПО Северо-Кавказский государственный технический университет.
Автореферат разослан л___ мая 2011 г. и размещен на сайте Высшей аттестационной комиссии Министерства образования и науки РФ
www.vak.ed.gov.ru.
Ученый секретарь диссертационного совета, кандидат экономических наук, доцент |
|
И.Н. Маринец |
ОБЩАЯ ХАРАКТЕРИСТИКА РАБОТЫ
Актуальность темы исследования. Одной из основных задач успешного развития банковской системы является формирование кредитными организациями капитала в размерах, обеспечивающих их самостоятельность и финансовую устойчивость в течение всего периода функционирования. Достаточный уровень капитала коммерческих банков способствует стабильности и эффективности их деятельности и, в конечном итоге, поддержанию экономического роста в стране. Российская и международная практика свидетельствуют, что достоверная оценка достаточности капитала, соответствующая современным требованиям Базельского комитета по банковскому надзору, обеспечивает доверие общества к кредитно-финансовой системе, что, в свою очередь, повышает инвестиционную привлекательность банков и, в результате, капитализацию.
В аоснову методик оценки достаточности капитала кредитных организаций, нашедших отражение в Базельском Соглашении I и инструктивных документах Центрального банка РФ, заложена концепция регулятивного капитала, однако национальные подходы не соответствуют международным: не воссоздается реальный уровень капитализации банков, требования к капиталу определяются формально, без учета экономической потребности в нем; не дифференцируется его величина в зависимости от характера рисков кредитной организации, качества управления ими и состояния внутреннего контроля. Приобретение надзором в области управления достаточностью капитала риск-ориентированного характера привело к появлению концепции лэкономического капитала. При этом максимальная результативность оценки достаточности капитала достигается при формировании методологии, оптимально сочетающей регулятивную и экономическую концепции. Приоритетность использования последней обусловлена интеграцией отечественного банковского сектора в мировую финансовую систему и, в связи с этим, необходимостью модификации регулятивной оценки. Однако в России определение достаточности капитала коммерческого банка с учетом требований системности не имеет самостоятельного характера, а выступает лишь элементом оценки его надежности.
Развитие национальных методических подходов к оценке и управлению капиталом кредитных организаций в соответствии с требованиями Базельского Соглашения II является новой для российской науки и практики проблемой, а обоснование теоретико-методологических положений и практических рекомендаций по ее решению в современных условиях становится важной задачей научных исследований, что и обусловило актуальность темы диссертационной работы.
Степень разработанности проблемы. Базовые характеристики сущности капитала акак аэкономической категории изложены в трудах известных ученых: аК. Каутского, Ф. Кенэ, К. Маркса, Н.У. Сениора, А.Р.Ж. Тюрго, И. Фишера и др.
Исследование содержания и отдельных функций капитала коммерческих банков нашло отражение в работах: Г.Н. Белоглазовой, Л.П. Белых, А.Ю. Берегового, В.И. Букато, И.В. Вишнякова, А.Г. Грязновой, В.А. Дмитриева-Мамонова, З.П. аЕвзлина, аБ.И. Жукова, аА.В. аКалтырина, аА.В. аКанаева, аП.П. аКовалева, аГ.Г. Коробовой, А.М. Косого, Т.М. Костериной, Е.А. Кошелевой, Л.П. Кроливецкой, Н.Н. Куницыной, О.И. Лаврушина, Ю.И. Львова, С.Н. Орлова, Г.С. Пановой, аИ.В. Пашковской, В. Ю. Пашкуса, В. В. Сахарова, О.Г. Семенюты, А.М. Тавасиева, К.Р. Тагирбекова, Г.Г. Фетисова, В. Е. Шалимова и других отечественных ученых.
Значительный вклад в изучение прикладных проблем финансирования и использования капитала банков внесли Г.Л. Авагян, С. Ю. Буевич, Ю.Г. Вешкин, Е.Б. Герасимова, Л.Т. Гиляровская, С.И. Кумок, Ю.С. Масленченков, С.Н. Паневина, Л.Р. Смирнова и др.
Научно-практические вопросы формирования структуры капитала нашли отражение в публикациях Л.Г. Батраковой, Л.В. Перекрестовой, А.М. Проскурина, В.М. Рутгайзера,а А.Д. Шеремета, Г.Н. Щербаковой. В.В. Киселев исследовал проблемы управления банковским капиталом.
В последние два десятилетия в отечественной литературе преобладал регулятивный подход к оценке достаточности капитала, представленныйа в работах О.Н. Антиповой, Э.И. Василишена, Ю.В. Кунца, И.В. Ларионовой,
Е. Б. Латуса, Р.Г. Ольховой, Д. Е. Плисецкого, М. А. Помориной, А. В. Стишковского и др.
Важное значение для развития практических аспектов оценки достаточности капитала имеют публикацииа банковских экспертов иа практических работников: А.В. Буздалина, Д.В. Воронина, С. М. Игнатьева, С. Р. Моисеева, А. В. Мурычева, А.Г. Саркисянц, Г.А. Тосунян, Т. Д. Симпсон.
Среди исследований зарубежных авторов по данной тематике следует выделить работы К.Д. Барлтропа, А. Бегера, Р. Бхала, Дж. Войта, К. Дитца, Э. Гилла,а Х. ван Грюнинга, Д.Дж. Карлсона, Р. Коттера, Т. У. Коха, К. Крушвица, Д. МакНотон, Ж.-А. Мейера, Г. Падберга, Д. Полфремана, М. Раста, Э. Рида, П.С. Роуза, Дж. Синки, Р. Смита, Д. Ханс-Ульриха и др.
Проблемы, связанные с переходом российской банковской системы на стандарты Базельского Соглашения II, представлены в публикациях А.И. Артеменкова, И.Л. Артеменкова, О.Н. Афанасьевой, А.В. Белякова, С.Л. Корниенко, А.А. Лобанова, М. Ю. Матовникова, Г.И. Микерина, М.Е. Озиуса, М.В. Помазанова, аВ.В. Попкова, аА.Ю. Симановского, аЕ.Д. Соложенцева, В.М. Усоскина, А.В. Чугуновой.
В международной банковской практике известны работы Н. Антилла, К. Ли, касающиеся определения размера и структуры экономического капитала. Однако, как в России, так и за рубежом недостаточно исследованы вопросы современной интерпретации сущности, структуры экономического капитала, а также его соотношения с регулятивным. Эти проблемы не изучаются применительно к региональным особенностям функционирования банковской системы.
Высоко оценивая результаты, полученные исследователями, следует отметить, что на сегодняшний день до сих пор не выработан единый подход к определению функций капитала и способов расчета его величины; отсутствуют научно обоснованные рекомендации по формированию системы оценки достаточности собственного капитала коммерческого банка; мало изученными являются направления аее амодернизации ав асоответствии с требованиями Базельского Соглашения II. Перечисленные проблемы традиционно исследуются многими отечественными и иностранными специалистами в рамках общего банковского менеджмента, однако накопленный в этих областях знаний научный опыт нуждается в переосмыслении и новой интерпретации с учетом принятых на международном уровне рекомендаций, а также перспектив их изменения и развития. Недостаточная разработанность этих и других методологически значимых и практически важных проблем послужили непосредственным основанием для выбора темы диссертационного исследования, постановки его цели и формулировки задач.
Соответствие темы диссертации требованиям Паспорта специальностей ВАК. Тема диссертации соответствует специальности 08.00.10 - Финансы, денежное обращение и кредит, п. 10.11 Оценка капитальной базы банка: сравнительная оценка отечественной и зарубежной практики, пути развития Паспорта специальностей ВАК Министерства образования и науки РФ (экономические науки).
Цель и задачи исследования. Целью диссертационного исследования является развитие теории и обоснование методологии оценки достаточности собственного капитала коммерческого банка, синтезирующей регулятивную и экономическую концепции и риск-ориентированный подход, а также разработка рекомендаций по их практической реализации в условиях интеграции национального банковского сектора в мировую финансовую систему.
Для достижения поставленной цели потребовалось решить ряд взаимосвязанных задач, определивших логику диссертационного исследования и его структуру:
- опираясь на теоретические исследования сущности и содержания категории капитал, охарактеризовать его функции, интерпретировать концепции регулятивного и экономического капитала кредитной организации с учетом риск-ориентированного подхода и возможности их адаптации к российским рыночным условиям;
- исследовать эволюцию методических подходов к оценке достаточности капитала в национальной и международной банковской практике, установить их сходства и различия;аа
- осуществить анализ достаточности капитала кредитных организаций с позиции соответствия требованиям международных стандартов, выявить основные проблемы капитализации российской банковской системы на современном этапе;
- построить регулятивную риск-ориентированную модель оценки достаточности собственного капитала коммерческого банка, адекватную условиям развития национального финансового рынка;
- идентифицировать проблемы, связанные с переходом отечественных кредитных организаций на новые интернациональные правила оценки достаточности капитала, сформулировать приоритетные пути их решения;
- охарактеризовать механизм взаимосвязи концепций регулятивного и экономического капитала в системе оценки его достаточности и выявить направления их комплексного использования применительно к условиям, определяемым спецификой российского банковского сектора;
- аргументировать целесообразность внесения изменений в национальную методику оценки достаточности капитала в отношении возможности разработки кредитными организациями собственных моделей;
- сформулировать теоретико-методологические подходы к построению моделей оценки экономического капитала, предложить методические, информационные, технологические и организационные инструменты их практического применения в коммерческих банках;
- разработать методико-инструментарную базу определения кредитного, рыночного и операционного рисков и на этой основе осуществить моделирование экономического капитала кредитных организаций;
- посредством анализа соответствия российских внутренних рейтинговых систем управления банковскими рисками международным требованиям, выявить их преимущества и недостатки, наметить перспективные направления модернизации;
- обосновать предложения по совершенствованию концепции доходности капитала с учетом риска (RAROC) в национальной банковской системе и реализовать ее на практике на основе разработанных моделей.
Объектом исследования выступает система оценки регулятивного и экономического капитала в российских кредитных организациях и механизм ее практической реализации.
Предметом исследования является совокупность отношений регулирующих органов и коммерческих банков в сфере формирования капитала, оценки его достаточности и управления им в современных условиях интеграции национальной финансовой системы в международную.
Теоретической и методологической основой диссертационного исследования послужили труды отечественных и зарубежных ученых, а также специалистов в области оценки достаточности капитала, законодательные и инструктивные акты Правительства РФ, Центрального банка РФ, Ассоциации российских банков, методические рекомендации Базельского комитета по банковскому надзору, Европейской комиссии, Банка международных расчетов, директивы ЕЭС, методологическая база по управлению рисками национальных кредитных организаций.
В ходе обработки и анализа накопленных материалов был использован комплекс методов экономических исследований, объединенных системным подходом к изучению проблемы. На разных этапах применялись аналитический, монографический, экономико-статистический, графический, абстрактно-логический, историко-логический, сравнительный, индуктивный, дедуктивный, методы экономического моделирования, линейного программирования, аппарат финансовой математики, программные средства общего MS EXCEL и специального EXCEL-VBA, EGAR CreditRisk, Reveleus Operational Risk назначения.а
Информационно-эмпирической базой диссертационного исследования явились данные Центрального банка РФ и Главного Управления ЦБ РФ по Ставропольскому краю, Ассоциации российских банков, Федеральной службы государственной статистики РФ и ее территориального органа по Ставропольскому краю, Базельского комитета по банковскому надзору, официальные отчеты коммерческих банков, материалы научно-практических конференций и периодической экономической печати, монографические исследования отечественных и зарубежных ученых, творческие разработки научных коллективов, а также личные наблюдения автора.
Концепция диссертационного исследования базируется на объективной необходимости сближения национальных стандартов оценки достаточности собственного капитала коммерческих банков с международными правилами в условиях глобализации мировой финансовой системы, что предполагает совершенствование ее методологии на основе объединения концепций регулятивного и экономического капитала, обоснование адекватных современным требованиям методик оценки, разработку кредитными учреждениями собственных моделей определения достаточности капитала, комплексная реализация которых создаст дополнительные стимулы для роста капитализации кредитных организаций и банковской системы России в целом.
Основные положения диссертации, выносимые на защиту:
1. С позиции теории капитала, сформулировано положение о том, что его экономическая сущность, в соответствии с целями управления кредитной организацией, предполагает выполнение им защитной, регистрационной, регулирующей на макро- (международный и национальный) и микроуровнях, финансирования, имиджевой функций; при этом особая значимость защитной функции для российских банков обусловлена высоким уровнем неопределенности и риска внешней среды.
2. Предложен субъектно-ориентированный подход к оценке достаточности капитала кредитной организации, содержание которого определено концепцией регулирования, выявлены качественные признаки регулятивного, экономического капитала и сферы использования каждого из них в системе надзора, позволившие аргументировать приоритетность концепции экономического капитала для национального банковского сектора.
3. Посредством анализа эффективности реализации методических подходов к оценке достаточности капитала в 1988-2010 гг. и способности элементов капитала покрывать непредвиденные потери в динамике доказана необходимость модификации концепции регулятивного капитала на качественно новом уровне, ориентированном на рынок и предполагающем изучение рискованности активов, введение универсальных показателей оценки в дополнение к общепризнанным в зависимости от экономических условий и специфики развития кредитных организаций.
4. Разработана система оценки достаточности капитала на базе интеграции усовершенствованного регулятивного и адаптированного экономического подходов, в рамках регулятивной концепции предложено формировать риск-ориентированную модель, исходя из требований регулятора на макроуровне и интересов коммерческого банка - на микроуровне, в составе экономической концепции - модель определения рискового капитала под существенные риски: кредитный, рыночный, операционный.
5. Обосновано методологическое положение о том, что для постоянного обеспечения достаточности капитала кредитным организациям на каждом этапе развития необходимо использовать новые, более гибкие, адаптированные к требованиям времени, инструменты оценки, что обусловило целесообразность перехода от балансового метода к рыночному (оценке по справедливой стоимости); при этом практическая реализация методологических принципов, положенных в основу расчета справедливой стоимости капитала, направлена на ограничение потенциальной неопределенности при оценке подверженности риску коммерческих банков и банковского сектора в целом.
6. Показано, что стандартизированные подходы к оценке кредитного риска не отражают разнообразного рискового профиля кредитных организаций, имеют внешний характер, а национальная методика оценки достаточности капитала с учетом операционного риска, в отличие от международной, несет скрытый риск, что выявило необходимость развития внутренних моделей оценки на основе показателей стоимости под риском, учитывающих индивидуальные особенности кредитных организаций.
7. Сформулированы теоретико-методологические предпосылки построения моделей оценки экономического капитала, различающиеся структурой алгоритмов определения рисков и уровнем развития модернизированной системы управления ими; обосновано, что предпочтительной для российского банковского сектора моделью, призванной существенно ускорить процесс его адаптации к требованиям Базельского Соглашения II и обеспечить сбалансированное развитие кредитных организаций при оптимизации профиля принимаемых ими рисков в соответствии с их стратегиями, является модель, сочетающая в себе способы оценки рисков и инструменты стресс-тестирования.а
8. Предложена методика оценки капитала под кредитный риск, ориентированная на определение основного параметра, рекомендованного Базельским Соглашением II - вероятность дефолта, обозначены направления модернизации национальной кредитной рейтинговой системы согласно прогрессивному подходу IRB, предполагающему более детальную дифференциацию заемщиков по степени риска посредством выделения в рейтинговых группах подгрупп, введение классификационного критерия, характеризующего качественную сторону заемщика,учет показателей макроокружения, обслуживания долга и долговой нагрузки.
9. Доказано, что в нестабильных финансовых условиях расчет суммы капитала для покрытия рыночного риска методом моделирования VaR, предусматривающем, что вероятностные сценарии развития будущего строятся на исторических временных рядах рыночных котировок финансовых инструментов, не отражает всех возможных вариантов развития событий и препятствует учету активов по справедливой стоимости, являющейся объективной оценкой их величины при значительном изменении ситуации на рынках, что обусловило необходимость использования в ходе определения капитала под риском способов стохастического моделирования Монте-Карло.
10. Аргументировано положение о целесообразности перехода от регулятивной к экономической модели оценки капитала для покрытия операционного риска, предполагающего развитие прогрессивных подходов к его определению, включающих картографирование операционного риска, внутренний метод измерения, способ распределения убытка, что позволило сформулировать рекомендации по совершенствованию теоретической и нормативно-правовой базы регулирования деятельности коммерческих банков и системы управления операционным риском, отвечающей требованиям Базельского Соглашения II.
11. С целью оценки эффективности экономического капитала по риску и доходности адаптированы к современным условиям модели VaR, предусматривающие определение результативности размещения капитала с различными уровнями риска и дохода на совместной, сопоставимой основах, создание общей базы оценки риска и его прямой учет при анализе эффективности; осуществлена апробация и доказана практическая целесообразность предложенных моделей.
Научная новизна исследования заключается в разработке теоретико-методологического подхода к оценке достаточности капитала коммерческого банка, интегрирующего регулятивную и экономическую концепции, и формировании направлений его практической реализации.
Наиболее важные результаты исследования заключаются в следующем:
- развиты теоретические положения оценки собственного капитала кредитных организаций в части интерпретации его как субъектно-объектной категории, находящейся в постоянном взаимодействии с внешней средой, определяющей отношения между владельцами капитала и банком и проявляющей свои интегративные свойства посредством реализации специфических функций;
- обоснована целесообразность методологического согласования и комплексного использования экономической и регулятивной концепций достаточности капитала кредитной организации, содержание которых определяется характером банковского надзора (пруденциальный, риск-ориентированный), а основное отличие обусловлено необходимостью покрытия экономическим капиталом как ожидаемых, так и неожидаемых потерь;
- усовершенствованы методологические положения по оценке регулятивного капитала с позиции риск-ориентированного подхода, предусматривающие расчет дополнительных показателей и структуризацию элементов капитала по уровням качества, каждый из которых имеет свое функциональное назначение, что положительно повлияет на объективность оценки, стимулируя банки к более полному покрытию потребности в капитале и учету реальной защищенности от рисков;
- с учетом методологических предпосылок необходимости сближения национальных и международных стандартов финансовой отчетности предложена методика оценки справедливой стоимости капитала, включающая модель дисконтированных денежных потоков и учитывающая влияние конъюнктуры финансового рынка, неопределенности среды его функционирования, уровня инфляции, действенность законодательной базы, требования инвесторов, динамику дивидендной политики;
- разработан механизм модернизации методического, организационного, информационного и кадрового обеспечения системы риск-менеджмента коммерческих банков на этапе определения экономического капитала под кредитный, рыночный и операционный риски, предполагающие достижение требований стимулирующего реагирования, направленных на использование совокупности приоритетных способов управления, учитывающих изменчивость среды функционирования кредитных организаций и реализуемых посредством имитационного моделирования;
- сформулированы методические рекомендации по реализации базовых положений Базельского Соглашения II в национальном банковском секторе, предусматривающие пересмотр внутренних рейтинговых систем оценки рисков, внедрение собственных моделей определения размера капитала под существенные риски, позволяющие максимально учитывать рисковый профиль кредитных организаций и способствующие повышению уровня капитализации;
- обоснован теоретико-методологический подход к построению моделей оценки экономического капитала, синтезирующий современные концепции риска, рисковой стоимости (VaR), ожидаемых и неожидаемых потерь, методики стресс-тестирования, стимулирующего реагирования, практическая реализация которого позволяет модернизировать систему управления собственными банковскими ресурсами;
- построена и апробирована модель расчета величины капитала для покрытия кредитного риска с учетом параметров вероятности дефолта, суммы задолженности, срока ссуды, процентной ставки, предполагающая нивелирование на практике негативных проявлений использования национальной кредитной рейтинговой системы и достижение соответствия последней прогрессивным рекомендациям Базельского комитета по банковскому надзору;
- развиты методологические подходы к оценке экономического капитала по рыночному риску, базирующиеся на сочетании инструментария дельта-нормального способа и имитационного моделирования, придающие результатам оценки высокую точность, практическую пригодность и логическую понятность и способствующие объективному учету рисков различных диверсифицированных портфелей, экстремальных событий, приводящих к аномальным убыткам;
- разработана и верифицирована на основе риск-параметров, рекомендованных Базельским Соглашением II, внутренняя модель оценки капитала для покрытия операционного риска, условиями реализации которой являются составление карт операционного риска, наличие рейтинговой экспертной системы управления, а ее использование позволит уменьшить резерв по операционнным рискам за счет варьирования размерами ожидаемых и непредвиденных убытков посредством своевременной идентификации вероятности их проявления;
- предложена методика оценки экономического капитала по операционному риску, ориентированная на расчет операционного VaR методом Монте-Карло, позволяющая, в отличие от положений, изложенных в Базельском Соглашении II, учитывать эндогенныйа характер риска, особенности внешней среды и предполагающая определение дополнительных требований к капиталу методом стресс-тестирования;
- сформирована и реализована на практике концепция доходности капитала с учетом риска RAROC, включающая, помимо традиционных показателей ROE, ROA, рисковую компоненту и позволяющая более точно устанавливать потребность в капитале, экономическую выгодность операций коммерческого банка, ареальную эффективность деятельности его подразделений, осуществлять стимулирование и мотивацию персонала, а также использовать ее в стратегическом планировании.Теоретическая и практическая значимость исследования определяется его актуальностью, научной новизной и достигнутой, в рамках сформулированной концепции, степенью адекватного отражения выявленных проблем при оценке собственного капитала кредитных организаций. Теоретическая значимость диссертации состоит в развитии теоретико-методологических положений и разработке концептуальных подходов к оценке достаточности капитала коммерческих банков, направленных на укрепление устойчивости и конкурентоспособности национальной банковской системы. Ее результаты позволяют выстроить методологическую базу последующих научных исследований по проблеме оценки регулятивного и экономического капитала. Отдельные теоретические положения диссертационной работы целесообразно включить в учебно-методический материал по дисциплинам Организация деятельности коммерческого банка, Организация деятельности Центрального банка, Банковские риски, Анализ деятельности банка, МСФО в коммерческом банке, Банковский менеджмент и др.
Практическая значимость проведенного исследования заключается в том, что фундаментальные положения и результаты могут использоваться Банком России в процессе модернизации национальной системы оценки достаточности капитала, разработки нормативных актов, затрагивающих вопросы формирования и управления капиталом кредитной организации, а также применяться при создании собственных банковских методик оценки капитала. Непосредственное практическое значение имеют представленные в диссертации методические подходы к оценке экономического капитала по существенным рискам (кредитному, рыночному, операционному), методика расчета его справедливой стоимости, модернизированная система управления банковскими рисками в соответствии с международными требованиями, модифицированная концепция доходности капитала с учетом риска.а
Результаты диссертационного исследования нашли практическое применение в деятельности ОАО Московский индустриальный банк, ОАО Ставропольпромстройбанк, ОАО КБ Евроситибанк.
Апробация и реализация результатов исследования. Основные положения и выводы диссертационного исследования изложены и получили одобрение на научно-практических конференциях различных уровней: международных: Современные проблемы развития экономики и социальной сферы (Ставрополь, 2005 г.), Современные проблемы экономики, менеджмента и маркетинга (Нижний Тагил, 2005 г.), Актуальные проблемы социально-экономического развития России (Краснодар, 2007 г.), Стратегические вопросы мировой экономики - 2007 (Днепропетровск, 2007 г.), Наука и технологии: шаг в будущее - 2007 (Днепропетровск, 2007 г.), Наука и технологии: актуальные проблемы, 2007 (Ставрополь, 2007 г. ), Экономика, экология и общество России в 21-м столетии (Санкт-Петербург, 2007 г.), Модернизация экономики и глобализация: итоги и перспективы (Ставрополь, 2008 г.), Актуальные проблемы и инновации в экономике, управлении, образовании, информационных технологиях (Ставрополь, 2009 г.); Модернизационный потенциал российской экономики и общества (Ставрополь, 2011 г.); всероссийской: Современное состояние и перспективы развития экономики России (Пенза, 2005 г.); региональных: Вузовская наука - Северо-Кавказскому региону (Ставрополь, 2004, 2005 гг.), Молодые ученые - Южному региону (Ставрополь, 2005 г.), Передовые информационные технологии - новому поколению (Ставрополь, 2010 г.).
Публикации. По материалам исследования опубликовано 47 научных работ общим объемом 114,22 п.л. (авт. - 96,32 п.л.), в том числе 3 монографии,
22 статьи - в изданиях, рекомендованных ВАК Министерства образования и науки Российской Федерации.
Объем, структура и содержание работы. Диссертационная работа состоит из введения, пяти глав, заключения, списка использованных источников (360 наименований) и 10 приложений, включает 48 таблиц и 35 рисунков.
Во введении обоснована актуальность темы исследования, определены его цель и задачи, охарактеризованы теоретико-методологический инструментарий и эмпирическая база исследования, раскрыты концепция и научная новизна, изложены положения, выносимые на защиту, отражена теоретическая и практическая значимость работы.
В первой главе Теоретические положения оценки собственного капитала коммерческого банка определена экономическая сущность категории капитал, дополнены и развиты представления о содержании и перечне его функций, охарактеризованы концепции регулятивного и экономического капитала с позиции пруденциального и риск-ориентированного подходов к управлению банковской деятельностью.
Во второй главе Методические подходы к оценке регулятивного и экономического капитала в российской банковской системе обобщены теоретические разработки отечественных и зарубежных ученых по проблеме достаточности капитала, дана критическая оценка регулятивным методикам, определены принципиальные различия Базельских Соглашений I и II, раскрыты существенные преимущества последнего.
В третьей главе Анализ динамики собственного капитала российских кредитных организаций проведен анализ капитализации российской банковской системы, изучена практика оценки достаточности капитала в отечественных, в том числе региональных кредитных организациях, определена эффективность реализации требований Базельского Соглашения II в национальном банковском секторе.
В четвертой главе Методология оценки собственного капитала кредитной организации сформулированы направления совершенствования методологии оценки регулятивного и экономического капитала, предложена методика расчета его справедливой стоимости, разработаны инструменты модернизации системы управления банковскими рисками согласно концепции экономического капитала.
В пятой главе Концептуальный подход к оценке экономического капитала коммерческого банка охарактеризована теоретико-методологическая база и сформированы рекомендации по построению моделей оценки экономического капитала кредитной организации, разработан алгоритм определения капитала под кредитный риск на основе внутренних рейтингов, предложены альтернативные модели оценки экономического капитала по рыночному и операционному рискам, способы реализации концепции доходности капитала с учетом риска (RAROC) в национальной банковской системе.
В заключении резюмированы основные выводы и предложения по результатам исследования, обоснована целесообразность их использования в практической деятельности кредитных организаций.
ОСНОВНОЕ СОДЕРЖАНИЕ РАБОТЫ
В современной банковской теории и практике существует ряд подходов к трактовке понятия капитал: системный, стоимостной, ресурсный и отражающий его защитные свойства. При этом, с точки зрения системного подхода, капитал банка, полагаем, следует рассматривать как субъектно-объектную категорию; в качестве субъектов выступают владельцы капитала - собственники и лендеры (провайдеры), а объекта - банк, осуществляющий финансирование. Отношения между субъектами и объектами определяют интегративные, целостные свойства капитала, обеспечивая его относительно самостоятельное существование и функционирование (с учетом требований регулирующих органов, рынка). Капитал - это система, находящаяся в постоянном взаимодействии с внешней средой, состояние которой характеризуется воздействием макро- и микроэкономических факторов.
Специфический способ выражения интегративных, целостных свойств, присущих капиталу как экономической категории, проявляется в его функциях. При этом важно отметить, что их место и роль неоднозначно определяются как в отечественной, так и в зарубежной банковской теории, а значимость может меняться в зависимости от условий функционирования банковской системы. В соответствии с целями управления кредитной организацией в современных условиях, первой функцией, которую выполняет капитал, является регистрационная, поскольку наличие уставного капитала минимальной величины, регламентированной ЦБ РФ, выступает обязательным условием для регистрации кредитной организации в качестве юридического лица и получения лицензии на определенные виды деятельности.
Для поддержания равномерного, упорядоченного роста активов и уменьшения рисков регулирующие органы устанавливают для коммерческих банков экономические нормативы, в основе расчета которых лежит капитал, и тщательно следят за их соблюдением, что, несомненно, отвечает интересам вкладчиков, кредиторов и общества в целом. В результате капитал выполняет регулирующую функцию, причем проблемы, связанные с регулированием его величины, решаются как на макроуровне (в порядке международного управления и в национальных масштабах), так и на микроуровне.
Кругооборот капитала заканчивается возвратом авансированных средств в банк с некоторым приращением. Капитал и накопленная прибыль, полученная в результате его использования, вновь авансируются в деятельность банка, и снова происходит его кругооборот, что, в свою очередь, позволяет говорить о создании мультипликативного эффекта. Таким образом, капитал, способствуя расширению активных операций, выполняет функцию финансирования. В современных условиях важное значение имеет проявление ее инновационного характера, когда экономический капитал участвует в финансировании инновационных проектов.
Во всех вышеперечисленных функциях заложено защитное свойство капитала, что обусловливает приоритетность защитной функции. Так, определяя предельный размер неденежной части взносов в уставный капитал, регулирующие органы защищают банковскую систему страны от крупных рисков, обеспечивая ее стабильность, а кредитные организации, в свою очередь, авансируя капитал в доходные активы, инновационные проекты, - свои интересы и собственников. Установление нормативов и создание различных резервов на покрытие убытков, включаемых в капитал, направлено на защиту интересов вкладчиков, кредиторов и клиентов банка. Защитная функция подтверждает необходимость оценки собственного капитала с точки зрения его адекватности уровню рисков банковского бизнеса. Ее роль возрастает с позиции вкладчиков - физических лиц, поскольку величина капитала - ключевой показатель при отборе банков в систему страхования вкладов. Значимость защитной функции капитала повышается в нестабильных условиях, собственный капитал может служить финансовым барьером для кризисных явлений внутри банка.
Имиджевая функция состоит в том, что капитал выступает одним из факторов хорошей репутации кредитной организации. Так, наличие достаточного капитала является средством укрепления доверия потенциальных клиентов к банку и убеждения кредиторов, учредителей в его финансовой силе. Регулирующие органы, в свою очередь, используют его как важный индикатор деятельности кредитных организаций.
В акционерных банках капитал выполняет ценообразующую функцию, его величина определяет курс их акций, что имеет важное значение при оценке стоимости кредитной организации.
Следует подчеркнуть, что капитал коммерческого банка сможет выполнять свои функции, если его размер будет достаточным. Достаточность капитала иерархически обусловлена его сущностью и выполняемыми функциями и, вместе с тем, является субъектно-ориентированным понятием, поскольку в преобладающей степени зависит от выбора концепции регулирования капитала. Изначально с 1988 г. при пруденциальном надзоре - прямом, ориентированном на количественные показатели, существовала концепция регулятивного капитала, нашедшая отражение в Базельском Соглашении I, согласно которой определяются требования к минимальной величине капитала, необходимой для покрытия кредитного и рыночного рисков. Регулятивный капитал рассчитывается с целью соответствия нормативам надзорных органов и предназначается для покрытия непредвиденных потерь, а под уже идентифицированные и ожидаемые потери создаются резервы и используются текущие доходы. То есть он является обязательным капиталом, который должен иметь банк в соответствии с требованиями регулятора, и призван покрывать убытки, особенно непрогнозируемые, возникающие в его деятельности.
Впоследствии приобретение надзором в области достаточности капитала риск-ориентированного характера обусловило появление в 2004 году концепции экономического капитала, нашедшей отражение в Базельском Соглашении II: кредитные организации должны обладать достаточным капиталом для покрытия кредитного, рыночного и операционного рисков. В результате, регулятор стал требовать от банка создания резерва капитала под ожидаемые потери и наличия собственного капитала для покрытия неожиданных потерь, что привело к введению в научный оборот понятия лэкономический капитал. Последний, в отличие от регулятивного, - субстанция живая и подвижная, его величина может меняться в зависимости от различных факторов - степени склонности кредитной организации к риску, развития внутренних моделей, строгости требований регулятора и т.д. Основное отличие экономического капитала от регулятивного в том, что первый рассчитывается с целью определения его адекватности для покрытия рисков конкретного банка либо рисков, которые он обязуется принять в будущем. В расчет включаются статьи капитала, служащие резервом для возможных потерь, позволяющие учитывать индивидуальные особенности банка и обеспечивать прибыльную деятельность, опренделяемые им самостоятельно, исходя из ситуации на рынке, что является наилучшей оценкой требуемого капитала. Следовательно, с учетом концепции экономического капитала, критерием его достаточности является величина, покрывающая ожидаемые и неожидаемые потери.
Проведенные исследования свидетельствуют, что в России преобладающей является концепция регулятивного капитала. Однако при определении достаточности капитала не учитываются такие факторы, как фаза экономического цикла и особенности макроэкономической ситуации, в которой функционируют кредитные организации. Если оценивать соответствие институциональной достаточности капитала нормативам международных стандартов (не менее 5 млн. евро), то на 01.01.2010 г. наибольший удельный вес в национальном банковском секторе занимали кредитные организации с капиталом более 5 млн. евро - 71,9 %, что на 7,9 процентных пункта меньше предкризисного уровня 2007 г., далее следуют банки с капиталом от 3 до 5 млн. евро, причем наблюдается увеличение их доли с 8,3 % на 01.01.2001 г. до 20,4 % на 01.01.2010 г. В Ставропольском крае требования институциональной достаточности капитала в течение 2004-2009 гг. выполняли только две кредитные организации из восьми. Применение более жесткого норматива достаточности для российских банков объясняется рискованностью их операций и нестабильностью экономической ситуации в стране.
Оценка динамической достаточности капитала выявила, что в Ставропольском крае она существенно выше 40 %, наибольший ее запас отмечается в 2008-2009 гг. (таблица 1). Российские банки в посткризисный период 1998 г. с целью выполнения норматива достаточности капитала наращивали оборот безрисковых активов, в результате Н1 увеличился с 19 % на 01.01.2001 г. до 20,3 % на 01.01.2002 г.; затем отмечается его снижение до 14,9% на 01.01.2007 г. с последующим ростом до 20,9 %.
Таблица 1 - Значения динамической достаточности собственного капитала
национальной банковской системы, %
Период |
Банковская система РФ |
Крупнейшие кредитные организации РФ (топ-30) |
Банковский сектор Ставропольского края |
Ведущие кредитные организации Ставропольского края |
01.01.2001 г. |
19,0 |
25,5 |
55,0 |
30,2 |
01.01.2002 г. |
20,3 |
22,0 |
61,1 |
21,8 |
01.01.2003 г. |
19,1 |
19,2 |
50,6 |
21,6 |
01.01.2004 г. |
19,1 |
16,8 |
51,6 |
26,0 |
01.01.2005 г. |
17,0 |
15,9 |
42,9 |
23,7 |
01.01.2006 г. |
16,0 |
15,9 |
40,9 |
18,3 |
01.01.2007 г. |
14,9 |
13,9 |
68,4 |
25,6 |
01.01.2008 г. |
15,5 |
14,3 |
52,8 |
23,7 |
01.01.2009 г. |
16,8 |
14,9 |
391,8 |
25,3 |
01.01.2010 г. |
20,9 |
20,4 |
368,6 |
27,3 |
Увеличивающийся в современных условиях уровень банковских рисков потребовал от отечественных надзорных органов изменения направлений банковского регулирования в сторону повышения его объективности, точности, приспособляемости к конкретным условиям функционирования кредитных организаций, что обусловило необходимость использования концепции экономического капитала в национальном банковском секторе. Кардинальные меры, направленные на приближение методики оценки достаточности капитала к требованиям Базеля I, а впоследствии и Базеля II, были предприняты введением Инструкции ЦБ РФ от 16.01.2004 г. № 110-И Об обязательных нормативах банков с изменениями.
Важным шагом в сторону развития концепции экономического капитала в России является процесс резервирования, предусматривающий экономическую гибкость, выражающуюся в профессиональном суждении. Отметим, что закрепление на законодательном уровне понятия профессиональное суждение позволит повысить качество оценки и, соответственно, эффективность управленческих решений. Переход от концепции регулятивного к концепции экономического капитала рассматривается как перспективное направление развития методологии оценки его достаточности (рисунок 1).
![]()
![]()
Рисунок 1 - Структурно-логическая схема проведения системной оценки достаточности капитала на базе объединения
усовершенствованной регулятивной и адаптивной экономической концепций
Несмотря на стремление Банка России к разработке методик оценки достаточности капитала, приближенных к требованиями Базеля II, они все же существенно отличаются от последних. Такая ситуация обусловлена различным уровнем развития финансовых рынков и особенностями функционирования национальной банковской системы: отсутствие в обращении кумулятивных и некумулятивных привилегированных акций не позволяет учитывать их в составе капитала, а уставный капитал, сформированный обыкновенными акциями, по законодательству РФ не может выступать в качестве обеспечения покрытия возможных убытков, поскольку не используется для удовлетворения претензий клиентов, кроме как при ликвидации банка. Капитализация эмиссионного дохода осложняется тем, что акции не всех российских кредитных организаций обращаются на бирже, отдельные из них имеют низкие котировки. Полагаем, что включение в основной капитал прибыли текущего года, даже аподтвержденной ааудиторской апроверкой, некорректно, так акак ееа аустойчивость асомнительна. аСледовательно, аавеличины, не отраженные ав агодовом аотчете, ацелесообразно аотносить в асостав адополнительного капитала.
В результате исследования сделан вывод, что международные требования не до конца реализованы национальным регулятором, капитал включает отдельные элементы, не способные поглощать непредвиденные потери, и это противоречит концепции регулятивного капитала. В отношении влияния совокупного риска на уровень достаточности капитала следует отметить, что до сих пор методики Базельских Соглашений I, II, и ЦБ РФ полностью не дифференцируют условия кредитования различных категорий клиентов (юридических и физических лиц, а также групп в рамках определенных категорий). Простое взвешивание активов дает приблизительную оценку экономического риска, поскольку уровень кредитного риска неадекватно отражает возможность дефолта различных заемщиков, не учитывает влияние существенных финансовых рисков. Выявленные недостатки нормативов достаточности собственного капитала в национальной и международной практике (Н1 и коэффициента Кука) свидетельствуют, что они не являются показателями защиты интересов вкладчиков и кредиторов коммерческого банка. Их применение целесообразно только при системном анализе его деятельности. Использование дополнительных критериев достаточности, характеризующих качество структуры капитала и активов, позволило установить потенциальный дефицит капитала. Особое внимание при этом уделено определению степени защиты от совокупного риска, в том числе по капиталу, покрывающему непредвиденные потери.
Методологически важно, чтобы каждый банк, стремясь к исполнению требований регулирующих органов, разрабатывал собственную систему оценки капитала путем синтеза усовершенствованного регулятивного и адаптированного экономического подходов, что полностью отвечает требованиям Базеля II. Системное представление объекта и субъекта проявляется через формализацию принципа декомпозиции. Субъектами оценки выступают: а) структурные подразделения или организационные единицы банка; б) Центральный банк РФ, Базельский комитет по банковскому надзору, рейтинговые агентства; бюро кредитных историй, Федеральная налоговая служба, консалтинговые фирмы, контрагенты, конкуренты, регуляторы рынка ценных бумаг, фондовые биржи и другие саморегулируемые организации.
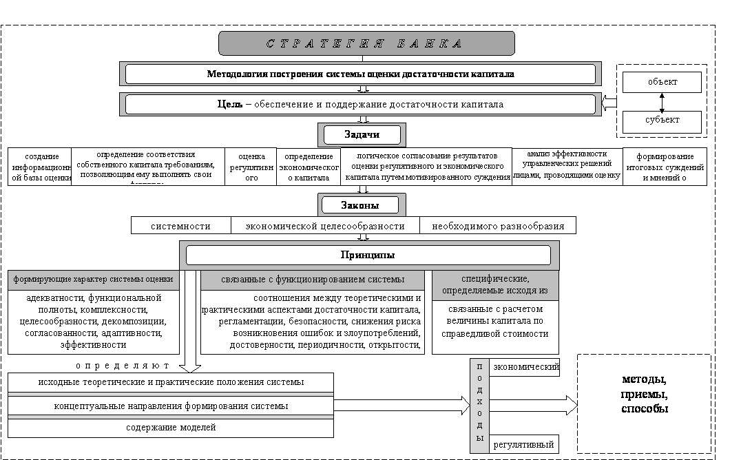
На основе исследования теоретико-методических подходов к оценке достаточности капитала и обобщения практического опыта, реализованного в российских кредитных организациях, в диссертации сделан вывод о необходимости модификации регулятивной оценки на высшем уровне и развития экономической концепции капитала (рисунок 2). В рамках модернизированной модели регулятивного капитала большое внимание уделяется аналитическим возможностям самих банков. Реализация концепции экономического капитала в российском банковском секторе предполагает создание его модели в модифицированной системе управления банковскими рисками. При этом построение эффективных систем оценки достаточности капитала в кредитных организациях позволяет, с одной стороны, обеспечить совершенствование риск-ориентированного надзора и сформировать действенные основы рыночной дисциплины, а с другой - разработать методики оценки, в целом асоответствующие атребованиям аБазельского Соглашения II, предусматривающим поддержание сумм и распределение внутреннего капитала, адекватных характеру и уровню рисков.
![]()
![]()
Рисунок 2 - Методология оценки достаточности капитала кредитной организации
В этой связи наиболее прогрессивным представляется метод определения величины капитала по справедливой стоимости (рисунок 3), предполагающий расчет справедливой цены акций и стоимости активов банка на базе модели дисконтированных денежных потоков с различными ее модификациями. Развитие методики оценки достаточности капитала в методологическом плане неотделимо от учета среды его существования. Изучение макро- и мезоокружения нужно банку для разработки и реализации оптимальной политики риск-доход, а также имеет особое значение при управлении неподконтрольными рисками.
В диссертации осуществлена адаптация и дополнен метод дисконтирования дивидендов А. С. Панькина с учетом требований МСФО (таблица 2). Модифицированный подход предусматривает учет прямо и косвенно влияющих объективных, субъективных факторов, носящих экзогенный, эндогенный характер и оказывающих то или иное воздействие на состояние капитала банка и формирование его справедливой стоимости:
|
(1) |
где аFP - справедливая стоимость акционерного капитала, руб.;
CPPSi - чистая прибыль на акционерный капитал по итогам i-го завершенного финансового года, предшествующего периоду, в котором производятся расчеты;
ri - ставка рефинансирования на отчетную дату, ед.;
ji - уровень инфляции на отчетную дату, ед.;
rp - ставка рефинансирования на момент расчета FP, ед.;
jp - уровень инфляции на момент расчета FP, ед.;
ti - количество календарных дней с даты окончания i-го финансового года до момента расчета FP;
K - корректирующий коэффициент, используемый для корректировки значения FP, исходя из промежуточных финансовых результатов (прибыли эмитента) за текущий год.
![]()
![]()
Рисунок 3 - Последовательность оценки справедливой стоимости капитала кредитных организаций
Таблица 2 - Результаты расчета справедливой стоимости акционерного
капитала кредитных организаций в 2009 году
Показатели |
ОАО Банк Петрокоммерц |
ОАО Московский индустриальный банк |
ОАО Ставропольпромстройбанк |
ОАО КБ Евроситибанк |
1. Справедливая стоимость капитала по методике А. С. Панькина, тыс. руб. |
4,7 |
42,0 |
17,6 |
1,5 |
2. Справедливая стоимость капитала, скорректированная на уровень инфляции, тыс. руб. |
5,2 |
47,2 |
19,6 |
1,7 |
3. Отклонение (стр. 1 / стр. 2 * 100 - 100), % |
- 9,6 |
- 11,0 |
- 10,2 |
- 11,8 |
Анализ реализации отдельных положений Базеля II в национальном банковском секторе с целью их адаптации к российским условиям показал, что применение полного стандартизированного подхода в России осложняется неразвитостью отечественной системы рейтингования, не учитывающей страновой риск, располагающей недостаточной информационной базой, в связи с чем российские методики относятся к категории дистанционных. Вместе с тем, внутренние рейтинги в странах с нестабильной экономикой, как правило, характеризуются более мягким подходом к присвоению высокого рейтинга заемщикам. Использование Банком России рейтинговой оценки только в отношении государств, участвующих в соглашении стран-членов ОЭСР, не разрешает всей проблемы адекватной оценки кредитного риска. Одним из направлений развития рейтинговой оценки достаточности капитала станет применение национальной шкалы, позволяющей учесть российские особенности развития банковского сектора (таблица 3).
Так, определить достаточность капитала по кредитным рейтингам внешних рейтинговых агентств в 2010 г. смогли только 26 (из них 9 ведущих) кредитных организаций. Рейтинги большинства коммерческих банков ниже суверенного рейтинга РФ ( в 2010 г.). Кроме того, при оценке достаточности капитала на основе внешних рейтингов не учитываются индивидуальные особенности деятельности кредитных организаций, уровень развития регионов, внедрение новых видов финансовых инструментов. Весовые коэффициенты риска приблизительны: отчисления капитала банка с рейтингом А+ такие же, что и при рейтинге ВВВ, хотя класс последнего на 3 пункта ниже. В этой связи полагаем, что регулирование достаточности капитала с учетом внешних рейтингов заемщиков может способствовать развитию оценки посредством внутреннего рейтингования.
Таблица 3 - Оценка достаточности капитала в национальной банковской системе на основе кредитных рейтингов Standard & PoorТs (фрагмент)
Регион / наименование кредитных организаций |
Дата последнего изменения |
Значение рейтинга по национальной шкале |
Вес риска, % |
Коэффициент достаточности капитала, % |
1. ОАО Альфа-Банк |
26.07.2004 г. - 2010 г. |
А+ |
50 |
4 |
2. ОАО Банк Возрождение |
20.08.2008 г. 2009-2010 гг. |
AA Ц А + |
20 50 |
1,6 4 |
3. ОАО БИН-Банк |
29.10.2004 г. 2009-2010 гг. |
ВВЦ ВВВ Ц |
100 50 |
8 4 |
4. ОАО Банк Петрокоммерц |
18.10.2002 г. 02.09.2003 - 13.02.2004 26.07.2004 - 07.11.2005 09.08.2006а - 22.09.2008 10.10.2008 г. - 2010 г. |
ВВВ + А + А А + А |
50 |
4 |
Кредитные организации Ставропольского края |
- |
Без рейтинга |
100 |
8 |
Еще одна проблема - несоответствие международных и отечественных методов оценки операционного риска. Так, сравнение достаточности капитала по стандартизированному (TSA), альтернативному (ASA) и индикативному (BIA) способам его оценки (таблица 4) показывает, что все они дают приблизительно одинаковые результаты.
Таблица 4 ЦПоказатели достаточности экономического капитала, рассчитанные по методикам Базельского Соглашения II и ЦБ РФ, %
Период |
ОАО Банк Петрокоммерц |
ОАО Московский индустриальный банк |
ОАО Ставрополь-промстройбанк |
ОАО КБ Евроситибанк |
||||||||||||
BIA |
TSA |
ASA |
Н1 |
BIA |
TSA |
ASA |
Н1 |
BIA |
TSA |
ASA |
Н1 |
BIA |
TSA |
ASA |
Н1 |
|
1.01.2001 |
20,3 |
20,2 |
20,2 |
21,3 |
23,9 |
23,7 |
24,2 |
25,6 |
20,5 |
20,4 |
21,3 |
22,4 |
14,8 |
14,6 |
15,7 |
17,1 |
1.01.2002 |
30,4 |
30,4 |
30,4 |
31,1 |
14,9 |
14,7 |
15,1 |
16,1 |
13,1 |
13,0 |
13,9 |
15,2 |
18,6 |
18,4 |
19,6 |
20,8 |
1.01.2003 |
19,9 |
19,9 |
20,0 |
20,6 |
13,0 |
12,8 |
13,2 |
14,2 |
16,3 |
16,1 |
17,2 |
18,7 |
21,5 |
21,4 |
22,0 |
23,0 |
1.01.2004 |
17,3 |
17,3 |
17,4 |
18,1 |
11,2 |
11,1 |
11,4 |
12,3 |
18,4 |
18,2 |
19,2 |
20,6 |
28,5 |
28,4 |
29,0 |
30,2 |
1.01.2005 |
15,7 |
15,6 |
15,7 |
16,6 |
10,9 |
10,8 |
11,3 |
12,1 |
14,5 |
14,4 |
15,1 |
16,3 |
24,7 |
24,5 |
25,2 |
26,9 |
1.01.2006 |
12,3 |
12,2 |
12,3 |
13,1 |
10,1 |
10,1 |
10,5 |
11,4 |
12,2 |
12,1 |
12,5 |
13,5 |
19,6 |
19,4 |
19,9 |
21,4 |
1.01.2007 |
12,2 |
12,1 |
12,2 |
12,9 |
10,0 |
10,0 |
10,3 |
11,2 |
12,1 |
12,0 |
12,5 |
13,4 |
19,4 |
19,2 |
19,9 |
21,3 |
1.01.2008 |
10,8 |
10,8 |
11,0 |
11,8 |
10,3 |
10,2 |
10,5 |
11,3 |
10,4 |
10,4 |
10,9 |
11,8 |
14,4 |
14,3 |
14,7 |
15,9 |
1.01.2009 |
14,1 |
14,0 |
14,1 |
15,1 |
12,3 |
12,3 |
12,6 |
13,4 |
9,1 |
9,0 |
9,7 |
10,8 |
16,5 |
16,2 |
17,3 |
19,4 |
1.01.2010 |
17,7 |
17,6 |
18,1 |
19,1 |
10,4 |
10,3 |
10,6 |
11,4 |
11,0 |
10,9 |
11,6 |
12,9 |
13,7 |
13,5 |
14,5 |
16,7 |
В региональных банках критерий достаточности капитала, рассчитанный ASA подходом, незначительно превышает значения, полученные с помощью BIA и TSA, что объясняется, в первую очередь, большей зависимостью кредитных организаций от розничного и коммерческого обслуживания клиентов. Однако стандартизированный подход все же основывается на достаточно большом количестве допущений, в частности, не учитывается возможное распределение убытков вследствие реализации операционных рисков, степень контроля за ними, что и обусловливает необходимость развития прогрессивных подходов. Значения Н1 с учетом операционного риска по методике ЦБ РФ отличаются от соответствующих показателей, рассчитанных методом BIA. Причина в том, что согласно требованиям Базельского Соглашения II, коэффициент резервирования капитала отражает усредненный уровень непредвиденных потерь вследствие операционного риска по отношению к размеру получаемого дохода вне зависимости от актива, в то время как методика российского регулятора скрывает операционный риск. Причем учет операционного риска выражается в уменьшении показателя достаточности, то есть увеличение нагрузки на капитал приведет к сокращению его буферного запаса у отдельных кредитных организаций, которые, в свою очередь, окажутся незащищенными в случае непредвиденных финансовых ситуаций.
Таким образом, возможность развития рейтинговой оценки достаточности капитала зависит от качества модернизированной системы управления рисками, аразработку и внедрение которой, согласно правилам Базеля II, целесообразно осуществлять по схеме, представленной на рисунке 4.
Так, с учетом цели риск-менеджмента, основой процесса управления капиталом должна стать концепция стимулирующего реагирования. Ее суть в том, что руководство кредитных организаций в дополнение к существующему набору традиционных способов управления, предписанных требованиями регулятора, создает системы макро- и микроэкономических индикаторов существенных рисков. Решению данной задачи способствует имитационное моделирование, целесообразность применения которого обусловлена тем, что величина банковских рисков зависит от случайных факторов и подвержена влиянию неопределенности внешней среды. Использование концепции стимулирующего реагирования в этом случае направлено на построение моделей оценки капитала на основе показателей стоимости под риском (рисунок 5). Унифицированная методика оценки каждого из существенных рисков (кредитный, рыночный, операционный) под капитал предполагает использование рисковой стоимости VaR, позволяющей сопоставлять финансовые портфели, состоящие из различных активов.
![]()
![]()
Рисунок 4 - Схема модернизированной системы управления банковскими рисками согласно концепции экономического капитала
Рисунок 5 - Классификация моделей оценки экономического капитала
Модели строятся, исходя из понимания экономического капитала, как наибольшей величины, необходимой для покрытия непредвиденных потерь на заданном горизонте времени, рассчитанном с определенным уровнем доверия. При идентификации максимальных потерь учитывается комбинация факторов риска, способных потенциально принести убытки кредитной организации, их негативная динамика, а также возможность диверсификации. Значения параметров рассматриваются как случайные велинчины, характеризующиеся распределением вероятностей и риском пренвзойти допустимые границы. Распределение риска преобразуется в величину требуемого капитала для его поддержания и, в результате, согласно целевому уровню финансовой прочности банка, измеряется экономический капитал. В ходе исследования установлено, что наиболее предпочтительно восстанавливать плотность распределения методами стохастического моделирования Монте-Карло, поскольку: а) как правило, реальные распределения значений факторов кредитного, рыночного, операционного рисков занижают VaR, при этом в дальнейшем развитие моделей практически ничем не ограничивается; б) обеспечивается высокая точность, практическая пригодность моделей для разных портфелей, сложных финансовых инструментов и логическая понятность (убыток оценивается в каждом сценарии, затем по функции распределения выбирается максимально возможный); в) повышается вероятность учета новых тенденций.
Следует подчеркнуть, что сложные модели предусматривают расчет VaR с учетом стрессовых условий (VaR-stress), обеспечивая наилучшее использование рисковой стоимости на практике и приобретая особую значимость в нестабильных экономических условиях. В итоге, в модернизированной системе управления банковскими рисками реализуется принцип предотвращения, избежания кризисов в собственном и других банках. Для российских условий необходимо правильно подобрать комбинацию риск-факторов модели, определяющих стоимость и рискованность портфелей активов.
Результатом моделирования является расчет стоимости капитала под существенные риски. Так, установление величины капитала под кредитный риск осуществляется в следующей последовательности: 1) настраиваниеа информационной системы на оценку по внутренним кредитным рейтингам; 2) интерпретация концепции VaR; обеспечение соответствия российских внутренних рейтинговых систем IRB-подходу (при необходимости доработка, адаптирование); 3) выявление опасных зон кредитного портфеля, оценка его качества и определение уровня концентрации; 4) установление вероятности дефолта кредитного портфеля в целом и по каждой рейтинговой группе; 5) анализ резервной политики банка; 6) модификация методики VaR для оценки достаточности капитала под кредитный риск; 7) стресс-тестирование кредитного портфеля; 8) сравнение капитала под кредитный риск по базовому варианту и стресс-сценариям.
Практическая реализация каждого из этапов позволила выявить, что для эффективного функционирования национальной кредитной рейтинговой системы необходимо внести следующие изменения в инструктивные и нормативные акты: более детально дифференцировать заемщиков по степени риска посредством выделения в рейтинговых группах подгрупп (стандартной - высокий рейтинг; нестандартной - достаточно высокий рейтинг, рейтинги средней, умеренной надежности; безнадежной - высокая безнадежность, дефолт частичный, дефолт полный) и определять соответствующее им финансовое состояние: хорошее ++, хорошее +, среднее ++, среднее +, плохое ++, плохое + и т.д. (реализация принципа декомпозиции). Критерии оценки финансового положения заемщиков и обслуживания долга по подгруппам каждый банк должен определять самостоятельно на основании профессионального суждения опытного эксперта. Кроме того, при такой детализации всегда сохраняется возможность свертывания рейтинговых групп в более укрупненные классы. Целесообразно ввести классификационный критерий, характеризующий качественную сторону заемщика, с целью минимизации субъективизма экспертной оценки. Вместо таблицы, имеющей девять вариантов сочетания факторов категории качества ссуды, предлагаем применять куб с 27 ячейками, в которых экспертно устанавливается рейтинг заемщика (качественные, количественные характеристики, обслуживание долга). Для обеспечения сопоставимости между количественной и качественной оценками разрабатывается градация шкалы качественной оценки (третья координатная ось куба). Итоговый балл качественной оценки определяется по формуле:
аа а а(2)
где
- мера значимости i-го фактора системы рейтингования банка, определяемая экспертным путем и принимающая значения в пределах от 0 до 10 баллов;
а - весовая оценка i-го фактора;
n - количество факторов.
О тенденции нарастания рисков внутри банковского сектора свидетельствуют показатели переменного макроэкономического окружения, а также финансовые показатели устойчивости. Основной проблемой национальных банков при оценке экономического капитала под кредитный риск является вычисление вероятности дефолта заемщика как случайной величины. Кроме того, риск-параметрами стрессовой модели являются сумма ссудной задолженности, процентная ставка, срок до погашения (таблица 5).
Так, в ОАО Банк Петрокоммерц непредвиденные убытки могут превысить 2983,3 млн. руб. с вероятностью 0,1 %. Экономический капитал ОАО Московский индустриальный банк, полностью компенсирующий убытки, превышающие ожидаемые с уровнем вероятности 98,5 %, составляет 1264,0 млн. руб. ОАО Ставропольпромстройбанк имеет капитал в размере 38,3 млн. руб., аа
ОАО КБ Евроситибанк - 29,4 млн. руб.а В исследуемых кредитных организациях наибольший кредитный VАR отмечается по 4-му стресс-сценарию, а
наименьший - по базовому варианту.
Таблица 5 Ц Сравнение экономического капитала под кредитный риск на основе базового метода и стресс-тестирования, тыс. руб.
Показатели |
ОАО Банк Петрокоммерц |
ОАО Московский индустриальный банк |
ОАО Ставропольпромстройбанк |
ОАО КБ Евроситибанк |
1. Ожидаемые потери, EL |
1785785 |
375949 |
10480 |
20047 |
2. Максимально возможные потери при заданных параметрах и предположениях, лежащих в основе модели VaRa |
4769086 |
1639975 |
48812 |
49446 |
3. Экономический капитал, CAR (кредитный VaR), (стр. 2 - стр. 1) |
2983301 |
1264026 |
38332 |
29399 |
4. Соотношение максимально возможных потерь и кредитного портфеля, % |
4,1 |
2,6 |
1,3 |
6,4 |
5. Экономический капитал:а |
||||
- по базовому варианту |
2983301 |
1264026 |
38332 |
29399 |
- с учетом стресс-сценария 1 |
6073948 |
1829223 |
71550 |
188445 |
- с учетом стресс-сценария 2 |
35894290 |
17134569 |
1098306 |
263407 |
- с учетом стресс-сценария 3 |
58118845 |
32365884 |
1246771 |
541067 |
- с учетом стресс-сценария 4 |
82131129 |
48686598 |
2398028 |
793791 |
6. Соотношение наибольшей величины экономического капитала с базовым вариантом, раз |
27,5 |
38,5 |
62,6 |
28,6 |
В диссертации аргументировано, что существующий формальный подход к оценке активов по их признаку-названию (кредиты, корреспондентские счета, ценные бумаги и др.) следует заменить на методику, в которой используется дифференцированная оценка риска по группам заемщиков в зависимости от вероятности дефолта, а также характера его материальных последствий для банка.
Следующий этап исследования - расчет величины капитала под рыночный риск - осуществлялся согласно последовательности процедур: 1) настраивание информационной системы на оценку рыночного VaR; 2) интерпретация внутренних моделей оценки капитала под рыночный риск; 3) определение рыночного VaR дельта-нормальным методом; 4) определение рыночного VaR методом Монте-Карло; 5) сравнение капитала под рыночный риск по внутренним моделям, выбор оптимального варианта; 6) стресс-тестирование торгового портфеля; 7) сравнение капитала под рыночный риск по базовому варианту и стресс-сценариям.
Для национальных банков проблемой является выбор специальных параметров, характеризующих текущую стоимость торгового портфеля. Основой для расчета его VaR служит величина, отражающая относительное изменение стоимости. Все риск-факторы (процентные ставки, валютные курсы, цены ценных бумаг, биржевые индексы и др.), характеризующие стоимость портфеля и обусловленные неопределенностью колебаний рыночной конъюнктуры, необходимо привести к интегральному экономическому показателю. Измерителем VaR предлагаем считать доходность, а рыночный риск характеризовать как возможность отклонения доходности за пределы установленного интервала (отрицательный диапазон). Следовательно, при определении капитала под рыночный риск в качестве случайной переменной принимается доходность финансового инструмента, мерой же риска - наибольшего ожидаемого убытка - выступает волатильность доходности. Результаты практической реализации данного подхода представлены в таблице 6.
Таблица 6 - Сравнение экономического капитала под рыночный риск,
рассчитанного на основе внутренних моделей кредитных организаций, тыс. руб.
Наименование кредитной организации |
Дельта-нормальный метод |
Стохастическое моделирование (Монте-Карло) |
Разница между дельта-нормальным методом и Монте-Карло, % |
1. ОАО Банк Петрокоммерц |
92000 |
1415257 |
- 93,5 |
2. ОАО Московский индустриальный банк |
186452 |
654781 |
- 71,5 |
3. ОАО Ставропольпромстройбанк |
36403 |
190297 |
- 80,9 |
4. ОАО КБ Евроситибанк |
17809 |
84514 |
- 78,9 |
Так, величина капитала, рассчитанная по дельта-нормальному методу и методу Монте-Карло, существенно различается, что обусловлено невозможностью объективного учета риска диверсифицированного портфеля параметрическим методом. Построение модели капитала под рыночный риск дельта-нормальным методом предполагает выраженный модельный риск, заключающийся в неприменимости нормального закона распределения случайной величины при скачкообразных движениях рынка, наличии достаточно большой совокупности данных, носящих преимущественно случайный характер, а также по причинам некоррелированности доходности и себестоимости финансовых инструментов за последовательные промежутки вренмени; игнорирования риска экстремальных событий, которые могут привести к аномальным убыткам.
Уверенность банка в способности противостоять крайне неблагоприятным изменениям рыночных условий обеспечивает регулярное стресс-тестирование позиций, подверженных рыночному риску. Сценарий стресс-теста включает синхронные изменения ряда факторов риска, поскольку рыночные риски, в отличие от других, определяются конъюнктурой рынка. Построенная методом Монте-Карло модель оценки VaR на современном российском финансовом рынке в отношении основных факторов риска стоимости портфеля (изменения индекса РТС и отдельных валютных курсов) показала, что, с точки зрения убывания рискованности, их VaR располагается следующим образом: английский фунт стерлингов, евро, доллар США, индекс РТС. Следовательно, для банков актуальна проблема совершенствования внутренних моделей определения рыночного VaR.
Завершающий этап оценки экономического капитала - идентификация его величины под операционный риск: 1) оценка капитала по стандартизированному (TSA) и альтернативному (ASA) подходам - промежуточным в концепции экономического капитала; 2) использование прогрессивных методов оценки: настраивание информационной системы на создание базы данных по операционным рискам, построение рейтинговой системы оценки операционного риска, определение капитала внутренним методом по параметрам Базеля II и методом Монте-Карло;
3) стресс-тестирование операционных рисков; 4) сравнение требований к достаточности экономического капитала по базовому варианту и стресс-сценариям;
5) обоснование усовершенствованных (AMA) методов оценки капитала для покрытия операционного риска.
Развитие прогрессивных подходов предполагает картографирование операционных рисков - маппирование базы данных на составленную карту, на основании которой, в свою очередь, распределяется экономический капитал по направлениям бизнеса. Внутренние модели оценки операционного риска при этом базируются на реализации передовых подходов AMA (таблица 7).
Таблица 7 - Определение экономического капитала под операционный риск на основе параметров, установленных Базельским комитетом по банковскому надзору
Параметры риска |
ОАО Банк Петроком-мерц |
ОАО Московский индустриальный банк |
ОАО Ставропольпромстройбанк |
ОАО КБ Евроситибанк |
1. Индикатор подверженности риску, EI, тыс. руб. |
828097 |
90498,6 |
45494,4 |
3261000 |
2. Вероятность случаев операционных потерь,а PE , ед. |
0,60382 |
0,71629 |
0,58728 |
0,11557 |
3. Уровень потерь при реализации рисков, LGE , ед. |
0,729 |
0,3732 |
0,35605 |
0,2124 |
4. Экономический капитал ECOR (стр. 1 * стр. 2 * стр. 3), тыс. руб. |
364516 |
24192 |
9513 |
80048 |
Исследования показали, что при расчете экономического капитала возможно использование операционного VaR (неожидаемых потерь) как разности между 99,9 % перцентилью распределения потерь и соответствующим средним значением на временной горизонт 1 год. Целью стресс-тестирования операционных рисков является определение дополнительных требований к капиталу. Сравнение размера экономического капитала под операционный риск, рассчитанного по базовому варианту и с учетом стресс-сценариев (методом Монте-Карло), приведено в таблице 8.
Таблица 8 - Сравнение экономического капитала по операционному
риску базовым методом и с учетом стресс-тестирования, тыс. руб.
Наименование кредитной организации |
Базовый вариант |
Стресс-сценарий |
Разница между базовым вариантом и стресс-сценарием, % |
1. ОАО Банк Петрокоммерц |
5966827 |
5350820 |
+ 11,5 |
2. ОАО Московский индустриальный банк |
2830004 |
2440936 |
+ 15,9 |
3. ОАО Ставропольпромстройбанк |
327888 |
287742 |
+ 14,0 |
4. ОАО КБ Евроситибанк |
140703 |
110419 |
+ 27,4 |
Отмеченные расхождения результатов объясняются тем, что предписания Базеля II обусловливают проциклический характер управления банками. При этом использование для расчета капитала под операционный риск сведений за длительное время, ввод показателей ожидаемой доли потерь и соответствующих значений риска, преобразующих величины убытков в требования к достаточности капитала в период экономического спада, снижают эффект избыточной цикличности. Следовательно, для российских условий целесообразно применять метод Монте-Карло.
Таким образом, использование усовершенствованного подхода АМА вместо базового BIA и стандартизированных ТSA и ASA позволит банкам адекватно определять потребность в экономическом капитале, а применение предложенных моделей будет способствовать реализации основной идеи Базеля II - формирование собственных методик оценки риска при расчетеа достаточности капитала (таблица 9).
Таблица 9 - Структура экономического капитала кредитных организаций
Показатели |
ОАО Банк Петрокоммерц |
ОАО Московский индустриальный банк |
ОАО Ставропольпромстройбанк |
ОАО КБ Евроситибанк |
||||
тыс. руб. |
структура, % |
тыс. руб. |
структура, % |
тыс. руб. |
структура, % |
тыс. руб. |
структура, % |
|
Экономический капитал всего, в т.ч.: |
10365385 |
100 |
4748811 |
100 |
556517 |
100 |
254616 |
100 |
под кредитный риск |
2983301 |
28,8 |
1264026 |
26,6 |
38332 |
6,9 |
29399 |
11,5 |
под рыночный риск |
1415257 |
13,7 |
654781 |
13,8 |
190297 |
34,2 |
84514 |
33,2 |
под операционныйа риск |
5966827 |
57,5 |
2830004 |
59,6 |
327888 |
58,9 |
140703 |
55,3 |
Следует особо подчеркнуть, что в идеале размеры экономического и регулятивного капитала должны приближаться друг к другу с учетом соответствия элементов экономического капитала требованиям устойчивости - стандартной мере экономического капитала. Проведенные расчеты (таблица 10) свидетельствуют, что экономический капитал региональных кредитных организаций превышает свою стандартную меру. В крупных российских банках капитал, необходимый для покрытия непредвиденных потерь от кредитных, рыночных и операционных рисков, меньше регулятивной величины.
С целью сближения регулятивной и экономической составляющих в системе оценки достаточности капитала предполагается заключение своего рода контракта между банками и органом надзора, по которому кредитная организация принимает на себя обязательство не выходить за пределы ранее оговоренного убытка, полностью обеспеченного капиталом, а роль регулятора сводится к надзору за соблюдением ею качественных требований в системе управления банковскими рисками. В результате, в модернизированной системе управления банковскими рисками реализуется концепция стимулирующего реагирования. Для рисков, по которым не определяются требования к капиталу, необходимо установить лимиты капитала для их покрытия.
Таблица 10 - Сравнение экономического и регулятивного капитала
кредитных организаций
Наименование кредитных организаций |
Экономи-ческий капитал, тыс. руб. |
Регулятивный капитал, тыс. руб. |
Стандартная мера экономического капитала, допускаемая международным регулятором, тыс. руб. |
Разница между |
|
экономическим и регулятивным капиталом, %аа |
экономическим капиталом и стандартной мерой экономического капитала, % |
||||
1. ОАО Банк Петрокоммерц |
10365385 |
23787239 |
18075814 |
- 56,4 |
- 42,7 |
2. ОАО Московский индустриальный банк |
4748811 |
9492354 |
4425670 |
- 50,0 |
+ 7,3 |
3. ОАО Ставрополь- промстройбанк |
556517 |
671164 |
514778 |
- 17,1 |
+ 8,1 |
4. ОАО КБ Евроситибанк |
254616 |
283818 |
167920 |
- 10,3 |
+ 51,6 |
С помощью методики VAR можно оценить эффективность операций по риску и доходности. В системе RAMP (Risk-Adjusted Performance Measures) капитал размещается по бизнес-линиям в размере непредвиденных потерь, рассчитанных после уплаты налога, на прирост капитала, с определенным уровнем доверия и горизонтом прогнозирования (таблица 11):
(3)
где RAROC - скорректированная на риск доходность капитала;
E - чистая прибыль банка;
EL - ожидаемые потери вследствие реализации рисков;
ECа - экономический капитал.
Таблица 11 - Значения показателей RAROC кредитных организаций
на 01.01.2010 г., ед.
Наименование кредитных организаций |
В целом по банку |
Кредитный бизнеса |
Рыночная деятельность |
Операционная деятельность |
1. ОАО Банк Петрокоммерц |
- 1,261 |
2,422 |
- 0,677 |
0,279 |
2. ОАО Московский индустриальный банк |
- 1,061 |
2,680 |
- 0,605 |
0,562 |
3. ОАО Ставропольпромстройбанк |
- 1,527 |
8,141 |
- 0,816 |
0,432 |
4. ОАО КБ Евроситибанк |
- 1,310 |
2,205 |
- 0,875 |
0,217 |
Результаты расчетов свидетельствуют, что наиболее приоритетна для банков кредитная деятельность, это находит отражение в стратегии формирования и использования капитала крупных коммерческих банков. Как положительный, следует отметить факт эффективного функционирования подразделений, генерирующих операционный риск.
Сравнение доходности регулятивного и экономического капитала показало (таблица 12), что в кредитных организациях возможности ростаа RAROC ограничены небольшой величиной экономического капитала по сравнению с регулятивным. Следовательно, менеджменту банков необходимо опираться, в первую очередь, на концепцию экономического капитала, защищающую активы от неожиданных потерь и обеспечивающую адекватную преграду риску.
Таблица 12 - Сравнение доходности в рамках концепций экономического
и регулятивного капитала, ед.
Наименование кредитных организаций |
Концепция экономического капитала, RAROC |
Концепция регулятивного капитала, ROE |
Разница между RAROC и ROE |
1. ОАО Банк Петрокоммерц |
- 1,261 |
0,018 |
- 1,279 |
2. ОАО Московский индустриальный банк |
- 1,061 |
0,091 |
- 1,152 |
3. ОАО Ставропольпромстройбанк |
- 1,527 |
- 0,088 |
- 1,439 |
4. ОАО КБ Евроситибанк |
- 1,310 |
0,045 |
- 1,355 |
Следовательно, применение концепции экономического капитала позволит: отражать реальность деятельности кредитной организации с учетом фактически принимаемых ею рисков; сравнивать различные виды рисков и оценивать привлекательность бизнес-направлений; усилить рыночную дисциплину; стимулировать определенный стиль поведения персонала; получать более точную оценку выгод от внедряемого в практику нового вида операций, продуктов.
Таким образом, разработанные направления совершенствования методологии оценки достаточности собственного капитала коммерческого банка нацелены на реализацию концепции экономического капитала, сближение международных и национальных методик, что, в конечном итоге, повысит качество управления кредитными организациями, надежность российского банковского сектора и усилит конкурентные позиции коммерческих банков на финансовых рынках.
Основные положения диссертации ОПУБЛИКОВАны
в следующих научных работах
Монографии и учебные пособия:
1. Мануйленко, В. В. Совершенствование методики оценки достаточности собственных средств (капитала) коммерческого банка : монография / В. В. Мануйленко, А. В. Малеева. - Ставрополь : СевКавГТУ, 2006. (13,2 п. л. / 6,6 п. л.).
2. Мануйленко, В. В. Модели оценки экономического капитала коммерческого банка : монография / В. В. Мануйленко. - М. : Финансы и статистика, 2010. (16,5 п.л.).
3. Мануйленко, В. В. Система оценки достаточности капитала коммерческого банка : монография / В. В. Мануйленко, Н. Н. Куницына. - М. : Финансы и статистика, 2010. (20,0 п. л. / 10,0 п. л.).
4. Мануйленко, В. В. Международные стандарты финансовой отчетности в коммерческом банке : учебно-практическое пособие / В. В. Мануйленко. - М. : Издательство Альфа-Пресс, 2008. (29,8 п. л.).
Статьи в ведущих научных журналах, рекомендованных ВАК РФ
адля публикации основных результатов диссертации на соискание ученой степени доктора наук:
5. Мануйленко, В. В. К вопросу совершенствования методики оценки достаточности собственных средств (капитала) коммерческого банка а/ Л. И. Ушвицкий, А. В. Малеева, В. В. Мануйленко // Финансы и кредит. - 2007. - №1 (241).
(1,0 п. л. / 0,33 п. л.).
6. Мануйленко, В. В. Создание банковской группы как направление капитализации региональной банковской системы / Л. И. Ушвицкий, А. В. Малеева,
В. В. Мануйленко // Финансы и кредит. - 2007. - №3 (243). (0,88 п. л. / 0,29 п. л.).
7. Мануйленко, В. В. Регулирование капитала коммерческого банка на международном и национальном уровнях / В. В. Мануйленко // Вестник ИНЖЭКОНа. - 2008. - №6 (25). (1,0 п. л.).
8. Мануйленко, В. В. Эволюция подходов к оценке достаточности капитала коммерческого банка / В. В. Мануйленко // Вестник ИНЖЭКОНа. - 2008. -
№7 (26). (1,0 п. л.).
9. Мануйленко, В. В. К вопросу об экономическом капитале коммерческого банка / В. В. Мануйленко // Вестник Самарского государственного экономического университета. №7 (45). - Самара : СГЭУ, 2008. (1,0 п. л.).
10. Мануйленко, В. В. Концепции регулирования капитала коммерческого банка / В. В. Мануйленко // Вестник Самарского государственного экономического университета. №11 (49). - Самара : СГЭУ, 2008. (1,0 п. л.).
11. Мануйленко, В. В. Исследование подходов к определению функций собственного капитала коммерческого банка / В. В. Мануйленко // Вестник ИНЖЭКОНа. - 2009. - №6 (25). (0,75 п. л.).
12. Мануйленко, В. В. Анализ понятия собственный капитал коммерческого банка а/ В. В. Мануйленко а// аВестник аИНЖЭКОНа. а - 2009. а - №7 а(26). а(1,0 п. л.).
13. Мануйленко, В. В. Научный анализ понятия достаточность капитала: переход от регулятивного к экономическому капиталу банка / В. В. Мануйленко//Вестник Самарского государственного экономического университета.
№12 (62). - Самара : СГЭУ, 2009. (1,0 п. л.).
14. Мануйленко, В. В. Подходы к оценке экономического капитала коммерческого банка / В. В. Мануйленко // Экономические науки. - 2009. - №10 (59). (0,6 п. л.).
15. Мануйленко, В. В. Система управления собственным капиталом коммерческого банка / В. В. Мануйленко // Вестник Самарского государственного экономического университета. №2 (64). - Самара : СГЭУ, 2010. (0,75 п. л.).
16. Мануйленко, В. В. Практика оценки достаточности собственного капитала в российских кредитных организациях: проблемы и перспективы развития / В. В. Мануйленко // Финансы и кредит. - 2010. - №11 (395). (1,0 п. л.).
17. Мануйленко, В. В. Анализ реализации положений Базельского Соглашения II в национальном банковском секторе / В. В. Мануйленко // Банковское
дело. - 2010. - №3 (195). (0,9 п. л.).
18. Мануйленко, В. В. Методология формирования системы оценки достаточности капитала кредитной организации / В. В. Мануйленко // Финансы и кредит. - 2010. - №27 (411). (1,0 п. л.).
19. Мануйленко, В. В. Оценка капитализации российского банковского сектора / В. В. Мануйленко // Финансы и кредит. - 2010. - №29 (413). (1,0 п. л.).
20. Мануйленко, В. В. Методика оценки справедливой стоимости капитала кредитной организации / В. В. Мануйленко // Финансы и кредит. - 2010. - №31 (415). (1,0 п. л.).
21. Мануйленко, В. В. Совершенствование системы управления банковскими рисками как основы определения экономического капитала / В. В. Мануйленко // Финансы и кредит. - 2010. - №37 (421). (1,0 п. л.).
22. Мануйленко, В. В. Модернизация национальной внутренней кредитной рейтинговой системы согласно требованиям международного регулятора /
В. В. Мануйленко // Финансы и кредит. - 2010. - №48 (432). (1,0 п. л.).
23. Мануйленко, В. В. Внутренняя модель определения экономического капитала / В. В. Мануйленко // Банковское дело. - 2010. - №12 (294). (1,0 п. л.).
24. Мануйленко, В. В. Внутренняя модель определения капитала для покрытия операционного риска / В. В. Мануйленко // Банковское дело. - 2011. - №2 (206). (0,9 п.л.).
25. Мануйленко, В. В. Концептуальный подход к построению моделей оценки экономического капитала коммерческого банка: теоретический аспект / В. В. Мануйленко // Финансы и кредит. - 2011. - №3 (435). (1,0 п. л.).
26. Мануйленко, В. В. Развитие моделей оценки капитала под операционный риск: проблемы и перспективы / В. В. Мануйленко // Финансы и кредит. Ц2011. - №11 (443). (1,0 п. л.).
Другие публикации:
27. Мануйленко, В. В. К вопросу о регулировании достаточности банковского капитала / В. В. Мануйленко, А. В. Малеева // Материалы III межрегиональной научной конференции. Серия Экономика. - Ставрополь : СевКавГТУ, 2002. (0,08 п. л. / 0,04 п. л.).
28. Мануйленко, В. В. К вопросу управления собственным капиталом коммерческого банка / В. В. Мануйленко // Вестник СевКавГТИ. Серия
Экономика. - Ставрополь : Издательство СевКавГТИ, 2003. (0,53 п. л.).
29. Мануйленко, В. В. Достаточность капитала как критерий надежности коммерческого банка а/ аВ. В. Мануйленко а// аФинансовый абизнес. а - 2004. а - №3. (0,28 п. л.).
30. Мануйленко, В. В. О способах увеличения капитальной базы коммерческого банка / В. В. Мануйленко // Современные проблемы экономики, менеджмента и маркетинга : материалы научно-практической конференции. - Нижний Тагил : НТИ (ф) УГТУ-УПИ, 2005. (0,33 п. л.).
31. Мануйленко, В. В. Теоретические аспекты оценки достаточности собственного капитала коммерческого банка / В. В. Мануйленко // Научные записки
НГУЭУ. - Новосибирск : Издательство НГУЭУ, 2005. (0,47 п. л.).
32. Мануйленко, В. В. Оценка институциональной достаточности собственных средств (капитала) банковской системы / В. В. Мануйленко // Финансовый бизнес. - 2005. - №4. (0,89 п. л.).
33. Мануйленко, В. В. Оценка соответствия собственных средств (капитала) банковской системы Ставропольского края требованиям международных
стандартов / В. В. Мануйленко // Современные проблемы развития экономики и
социальной сферы : сборник материалов международной научно-практической конференции. - Ставрополь : АГРУС, 2005. (0,25 п. л.).
34. Мануйленко, В. В. Кредитные рейтинги в системе оценки достаточности собственных средств (капитала) коммерческого банка / В. В. Мануйленко // Современное состояние и перспективы развития экономики России : сборник статей III Всероссийской научно-практической конференции. - Пенза : Приволжский Дом знаний, 2005. (0,19 п. л.).
35. Мануйленко, В. В. Оценка состояния собственных средств (капитала) банковской системы Ставропольского края / В. В. Мануйленко // сборник научных трудов СевКавГТУ. Серия Экономика. №4. - Ставрополь : СевКавГТУ, 2006. (0,36 п. л.).
36. Мануйленко, В. В. О совершенствовании регулятивной оценки достаточности капитала российского коммерческого банка / В. В. Мануйленко // Материалы международной научно-практической конференции Актуальные проблемы социально-экономического развития России. Ч 1. - Краснодар : КубГУ, 2007. (0,83 п. л.).
37. Мануйленко, В. В. Капитализация региональной банковской системы / В. В. Мануйленко // Экономические исследования: анализ состояния и перспективы развития : монография; под общ. ред. проф. О. И. Кирикова. - Книга 12. - Воронеж : ВГПУ, 2007. (3,22 п. л.).
38. Мануйленко, В. В. Отдельные аспекты методики оценки достаточности капитала банка Базельского Соглашения II / В. В. Мануйленко // Материалы II международной научно-практической конференции Стратегические вопросы мировой экономики - 2007. Том 3. Экономические науки. - Днепропетровск : Наука и образование, 2007. (0,93 п. л.).
39. Мануйленко, В. В. Системный подход к управлению собственными средствами (капиталом) коммерческого банка / В. В. Мануйленко // Материалы II международной научно-практической конференции Наука и технологии: шаг в будущее - 2007. Т. 1. Экономические науки. - Днепропетровск : Наука и образование, 2007. (0,88 п. л.).
40. Мануйленко, В. В. О необходимости введения в российскую систему оценки достаточности капитала банка компонента рыночная дисциплина /
В. В. Мануйленко // Материалы международной научной конференции Наука и технологии: актуальные проблемы, 2007. Том 1. - Ставрополь : СевКавГТИ, 2007. (0,19 п. л.).
41. Мануйленко, В. В. О проблеме капитализации региональной банковской системы России / В. В. Мануйленко // Труды 9-й международной научно-практической конференции Экономика, экология и общество России в 21-м столетии. Ч 2. - СПб. : Изд-во Политехн. университета, 2007. (0,98 п. л.).
42. Мануйленко, В. В. Сравнительная характеристика международных методик оценки достаточности капитала коммерческого банка / В. В. Мануйленко // Материалы международной научной конференции Научный потенциал - будущее России. Экономика. - Ставрополь : СевКавГТУ, 2007. (0,19 п. л.).
43. Мануйленко, В. В. Частные международные стандарты финансовой отчетности коммерческого банка / В. В. Мануйленко // Финансовый бизнес. -
2007. - №5. (0,87 п. л.).
44. Мануйленко, В. В. МСФО для финансовых инструментов / В. В. Мануйленко // Финансовый бизнес. - 2008. - № 2. (1,5 п. л.).
45. Мануйленко, В. В. Приближение регулятивной оценки достаточности капитала российского коммерческого банка к международным стандартам /
В. В. Мануйленко // Материалы международной научно-практической конференции Модернизация экономики и глобализация: итоги и перспективы. - Ставрополь : Институт дружбы народов Кавказа, 2008. (0,44 п. л.).
46. Мануйленко, В. В. Необходимость оценки экономического капитала коммерческого банка с использованием специального программного продукта /
В. В. Мануйленко // Материалы международной научной конференции Актуальные проблемы и инновации в экономике, управлении, образовании, информационных технологиях 2009. - Ставрополь : СевКавГТИ, 2009. (0,25 п. л.).
47. Мануйленко, В. В. Модернизация национальной системы оценки достаточности капитала коммерческого банка / В. В. Мануйленко // Материалы международной научно-практической конференции Модернизационный потенциал российской экономики и общества. - Ставрополь : Институт дружбы народов Кавказа, 2011. (0,28 п. л.).
|
Авторефераты по всем темам >>
Авторефераты по экономике

СКАЧАТЬ ОРИГИНАЛ ДОКУМЕНТА
аа аа