Авторефераты по темам >>
Авторефераты по экономике
Моделирование инвестиционного бизнес-процесса дистанционного получения профессионального образования
Автореферат кандидатской диссертации по экономике
На правах рукописи
Галилеев Сергей Михайлович
МОДЕЛИРОВАНИЕ ИНВЕСТИЦИОННОГО БИЗНЕС-ПРОЦЕССА ДИСТАНЦИОННОГО ПОЛУЧЕНИЯ ПРОФЕССИОНАЛЬНОГО
ОБРАЗОВАНИЯ
Специальность 08.00.13. -" Математические и инструментальные
методы экономики"
Автореферат
диссертации на соискание ученой степени кандидата экономических наук
Санкт-Петербург 2010
2
Работа выполнена на кафедре информационных систем в экономике ГОУ ВПО Санкт-Петербургский государственный инженерно-экономический университет
Научный руководитель:
доктор экономических наук, профессор Соколов Роман Владимирович
Официальные оппоненты:
Заслуженный деятель науки РФ, доктор технических наук, профессор Лукинский Валерий Сергеевич
кандидат экономических наук,
профессор
Кустарев Валерий Павлович
Ведущая организация:
ГОУ ВПО Санкт-Петербургский государственный политехнический университет
Защита состоится л_ ноября 2010 в_ часов на заседании диссерта
ционного совета Д 212.219.05 по защите докторских и кандидатских дис
сертаций при ГОУ ВПО Санкт-Петербургский государственный инже
нерно-экономический университет по адресу: 191002, Санкт-Петербург,
ул. Марата, д. 27, ауд. 422
С диссертацией можно ознакомиться в библиотеке ГОУ ВПО Санкт-Петербургский государственный инженерно-экономический университет по адресу: 196084, Санкт-Петербург, Московский пр., д. 103а
Автореферат разослан л октября 2010 года.
Ученый секретарь диссертационного совета, кандидат экономических наук, профессор
В.М. Корабельников
3
I. ОБЩАЯ ХАРАКТЕРИСТИКА РАБОТЫ
Актуальность темы исследования. Наряду с традиционными формами получения высшего и второго высшего образования Ч очной, очно-заочной и заочной Ч в последнее время все большее распространение получает такая инновационная форма как дистанционное образование. Данная форма образования давно используется на Западе, где на практике доказана её эффективность. В настоящее время в США более 200 университетов предлагают дистанционные образовательные услуги. В РФ с 1997 года официально проводится эксперимент по развитию дистанционного образования. В эксперименте участвуют 18 российских вузов. Дистанционное образование дает возможность получить высшее и, в особенности, второе высшее образование и повысить квалификацию без отрыва от работы, в любой точке нашей страны и зарубежья, при этом качество полученных знаний находится на достаточно высоком уровне. Неудивительно, что институт дистанционного образования получает в нашей стране все большее распространение. Особенностью получения дистанционного образования являются возможность построения индивидуального учебного плана, многовариантность выбора траектории образования и снижения тарифов на образовательные услуги.
В тоже время, дистанционное образование является коммерческим и требует экономического обоснования его эффективности с позиций интересов обучающегося для ответа на вопросы выбора траектории образования и его экономической эффективности, что требует математического моделирования процесса получения образования.
Диссертация посвящена моделированию и экономической оценке процесса дистанционного получения образования как разновидности бизнес-процесса инвестиционного проекта.
Вопросом экономической оценки инвестиционных проектов и моделирования бизнес-процессов посвящен целый ряд научных работ отечественных и зарубежных авторов, в том числе: Кабакова B.C., Попкова В.П., Соколова Р.В., Власова М.П., Богачева В.Ф., Калянова Н.Г., Вендрова A.M., Соколова В.Н., Лукинского В.С, Семенова В.П., Кустарева В.П., Поснова В.Г., Ватника П.А., Schal Т., Томсетт Р. и др.
Анализ проблем дистанционного образования представлен в работах Тихомирова В.П., Бочкова В.Е., Башкатова, И.П., Солдаткина В.И., Cropley A., Dave R. и др.
Работы, посвященные оценке экономической эффективности инвестиций в образование, как правило, характеризуют эффективность деятельности образовательного учреждения. Между тем, экономическая эффективность инвестиций в получение образования с позиций интересов личности рассмотрена явно недостаточно. Сказанное объясняет актуальность темы диссертационного исследования, особенно с учетом возможностей дистанционного образования в обеспечении вариантности траектории
4
получения образования и осуществления рекомендаций Болонского процесса в части повышения академической мобильности обучающихся.
Цель исследования состоит в разработке методики выбора варианта траектории образования на основе моделирования, ее экономическом обосновании, согласовании экономических интересов участников бизнес-процесса получения образования.
Для достижения указанной цели в диссертации поставлены и решены следующие задачи:
- разработка CASE-модели инвестиционного бизнес-процесса дистанционного получения профессионального образования;
- построение регрессионного уравнения оплаты профессионального труда обученного специалиста;
- разработка математической оптимизационной модели выбора варианта траектории получения образования;
- формирование функции принадлежности лингвистической переменной Качество образования;
- оценка риска инвестиционного бизнес-процесса дистанционного получения образования с помощью нечеткой логики;
- проведение экспериментальных расчетов по модели;
- разработка механизма моделирования инвестиционного бизнес-процесса получения профессионального образования с использованием дистанционных технологий.
Объект исследования - инвестиционный бизнес-процесс дистанционного получения профессионального образования.
Предмет исследования - моделирование инвестиционного бизнес-процесса дистанционного получения профессионального образования. Диссертация соответствует пункту 1.4 специальностей ВАК специальности 08.00.13 Математические и инструментальные методы экономики: Разработка и исследование моделей и математических методов анализа микроэкономических процессов и систем: отраслей народного хозяйства, фирм и предприятий, домашних хозяйств, рынков, механизмов формирования спроса и потребления, способов количественной оценки предпринимательских рисков и обоснования инвестиционных решений.
Теоретико-методологической основой исследования послужили труды отечественных и зарубежных ученых в области анализа и моделирования инвестиционных проектов, бизнес-процессов, теории человеческого капитала, дистанционных технологий образования, математической оптимизации, статистического анализа и нечеткой логики. В качестве организационно-правовой базы были приняты действующие законы, законодательные и нормативные акты Российской Федерации в области образования.
5
Научная новизна исследования заключается в следующем:
- Разработана CASE-модель инвестиционного бизнес-процесса дистанционного получения образования, отличающаяся тем, что в ней представлены во взаимосвязи не только бизнес-функции стадии профессионального образования, но и бизнес-функции стадии послевузовской профессиональной деятельности. Такой подход позволяет установить временную последовательность как инвестиций в получение образования, так и возврата денежных средств в период профессиональной деятельности до устаревания знаний.
- Построено уравнение линейной регрессии для оценки оплаты труда, отличающееся использованием в числе факторов количественной оценки качества образования и периода устаревания знаний, что позволяет учесть зависимость оплаты труда как от выбранной траектории образования, так и от стажа работы.
- Разработана динамическая оптимизационная модель выбора траектории получения образования как инвестиционного бизнес-процесса. Отличительными особенностями модели являются использование в качестве критерия максимума разности между дисконтированной оплатой труда профессионала в зависимости от количественной оценки качества образования и стажа работы за период устаревания знаний и затрат на получение образования, а также наличие поэтапных ограничений на стоимостные затраты, объем учебного материала и качество образования. Разработанная модель позволяет учесть индивидуальные предпочтения обучающегося и согласовать экономические интересы образовательных учреждений и работодателей.
- Предложен алгоритм формирования функции принадлежности лингвистической переменной Качество образования, отличительной особенностью которого является совместное использование двух методов формирования функции принадлежности: экспертных оценок и парных сравнений. Использование этих дополняющих друг друга методов позволяет верифицировать вид функции принадлежности.
- Введено понятие экономического риска инвестиционного бизнес-процесса как меры отклонения значений целевой функции, полученной при четкой постановке задачи выбора траектории образования от значения целевой функции, полученной при нечеткой постановке этой задачи. Особенностью количественной оценки риска является использование дискретных а-уровней, которые позволяют преобразовать интервальные значения оценки качества к точечным значениям с последующим решением задачи в четкой постановке.
Обоснованность и достоверность полученных результатов обеспечена:
Х корректным использованием теоретических и методологических положений экономической оценки инвестиционных проектов;
6
- применением математических и инструментальных методов и моделирования;
- подтверждением адекватности моделей путем экспериментальных расчетов.
Теоретическая значимость - работа развивает теорию и методологию моделирования инвестиционных проектов применительно к бизнес-процессам дистанционного получения образования.
Практическая значимость - предложенный механизм моделирования позволяет абитуриентам, студентам и другим категориям обучающихся выбрать такую траекторию образования, которая согласовывает их экономические интересы с интересами других участников инвестиционного бизнес-процесса и дает оценку его экономической эффективности на основе сопоставления инвестиций в образование с оплатой труда профессионала.
Публикации. По результатам диссертации опубликовано пять печатных работ в сборниках научных трудов.
Структура диссертации. Диссертация состоит из введения, трех глав, заключения, списка литературы и приложений.
Во введении обоснована актуальность темы, освещена степень разработанности проблемы, сформулированы цель и задачи исследования, определены рассмотренные в нем объект и предмет, описана научная новизна, практическая ценность и апробация результатов работы.
В первой главе приведен анализ процесса получения профессионального образования как инвестиционного проекта, анализ методов и моделей экономической оценки инвестиционных проектов получения образования, сформулированы цель и задачи моделирования инвестиционного бизнес-процесса получения образования с использованием дистанционных технологий.
Во второй главе разработана CASE-модель инвестиционного бизнес-процесса дистанционного получения образования. Построено уравнение линейной регрессии для оценки оплаты труда, использующее в числе факторов количественную оценку качества образования и период устаревания знаний. Разработана динамическая оптимизационная модель выбора траектории получения образования, в которой включены критерий экономической эффективности инвестиционного проекта в виде чистой приведенной стоимости (NPV) и поэтапные ограничения на стоимостные затраты, объем учебного материала и качество образования. Предложен алгоритм формирования функции принадлежности лингвистической переменной Качество образования, совместно использующий два метода формирования функции принадлежности: экспертных оценок и парных сравнений. Введено понятие экономического риска инвестиционного бизнес-процесса как меры отклонения значений целевой функции, полученной при четкой постановке задачи выбора траектории образования от значения
7
целевой функции, полученной при нечеткой постановке этой задачи. Для количественной оценки риска использованы дискретные а-уровни, которые позволяют преобразовать интервальные значения оценки качества к точечным значениям с последующим решением задачи в четкой постановке.
В третьей главе проведена экспериментальная проверка модели инвестиционного бизнес-процесса получения профессионального образования и разработан механизм моделирования инвестиционного бизнес-процесса дистанционного получения профессионального образования.
В заключении приведены основные выводы и даны рекомендации, полученные по результатам исследования.
Апробация работы и внедрение результатов исследования. Основные результаты исследования докладывались и обсуждались на международных конференциях, научно-исследовательских форумах аспирантов и студентов, где получили положительную оценку. Материалы научной работы нашли применение при профориентации абитуриентов и чтении курсов лекций для студентов СПбГИЭУ, а также при выполнении научно-исследовательской работы по тематическому плану Минобрнауки РФ Исследование проблем теории и методологии моделирования и управления информационными, денежными и трудовыми ресурсами, в которой автор принимал участие в качестве исполнителя. Предложенный механизм моделирования инвестиционного бизнес-процесса получения профессионального образования с использованием дистанционных технологий был успешно применен в отделах поддержки дистанционного обучения СПбГИЭУ, СПбГУВК, банке ВТБ 24 для оценки кредитоспособности заемщика при предоставлении образовательного кредита.
II. ОСНОВНЫЕ ПОЛОЖЕНИЯ И РЕЗУЛЬТАТЫ ИССЛЕДОВАНИЯ, ВЫНОСИМЫЕ НА ЗАЩИТУ Выполненное исследование позволило достичь поставленной цели. На защиту выносятся следующие положения, имеющие элементы научной новизны.
1. Разработана CASE-модель инвестиционного бизнес-процесса дистанционного получения образования, отличающаяся тем, что в ней представлены во взаимосвязи не только бизнес-функции стадии профессионального образования, но и бизнес-функции стадии послевузовской профессиональной деятельности. Такой подход позволяет установить временную последовательность как инвестиций в получение образования, так и возврата денежных средств в период профессиональной деятельности до устаревания знаний.
Бизнес-процесс дистанционного получения профессионального образования представлен с использованием нотаций метода функционального моделирования IDEF0, наиболее удобном на этапе анализа бизнес-процесса. Декомпозиция модели бизнес-процесса первого уровня пред-
ставлена на рис. 1, а второй уровень в части инвестирования представлен на рис. 2. В модели показаны трансформационные и трансакционные издержки. В числе первых присутствуют прямые инвестиции и косвенные инвестиции в овладение образовательной программой, так называемые вмененные издержки или потерянные заработки.
2. Построено уравнение линейной регрессии для оценки оплаты труда, отличающееся использованием в числе факторов количественной оценки качества образования и периода устаревания знаний, что позволяет учесть зависимость оплаты труда как от выбранной траектории образования, так и от стажа работы.
Оценка оплаты труда профессионала за время устаревания знаний ТР, приведенного к началу трудовой деятельности выпускника, представлена ниже с использованием уравнения регрессии.
/=а Е K+^iG + ^O-^o))----------- ^7Т^тах,а (1)
t=T0+i(1 + ?)
где
/аа оплата труда выпускника, в руб.;
Q -качество полученного образования, в баллах;
(t-T0) -а стаж работы, в полугодиях;
t -номер полугодового периода;
То-время обучения, в полугодиях;
ТР-период устаревания знаний, в полугодиях;
cto, cii, ci2~ коэффициенты.
На качественном уровне вид уравнения регрессии выбран на основании следующих соображений:
Хв соответствии с трудовым законодательством РФ при приеме на работу гарантирован минимальный размер оплаты труда (ао);
Хв процессе собеседования устанавливается начальный размер оплаты труда с учетом качества образования претендента (ai);
Хпо мере приобретения опыта уровень оплаты труда повышается (аг).
Обобщенные статистические данные на примере рынка труда Неспециалистов по состоянию на январь 2010 года приведены в табл. 1.
Разброс в оплате труда работников одной категории при одинаковом стаже работы можно объяснить различием в качестве образования.
Применительно к компьютерным специальностям на основе статистических данных, полученных с использованием программных агентов, анализирующих информацию сайтов рынка труда найдены коэффициенты этого уравнения.
Для оценки точности прогнозирования оплаты труда выпускника предлагается процедура автоматического построения нечеткой системы типа Сугено, подтверждающая приемлемую точность прогнозирования на основе уравнения линейной регрессии.
Таблица 1 Обобщенные статистические данные
Категория работников |
Стаж (лет) |
Оплата труда, (руб/мес) |
|
от |
до |
||
Проектировщики-внедренцы: (программисты, администраторы БД, архитекторы) |
0-1 |
15000 |
25000 |
1-2 |
25000 |
45000 |
|
2-5 |
45000 |
55000 |
|
Разработчики: (менеджеры, начальники отделов, СЮ) |
0-1 |
18000 |
32000 |
1-2 |
32000 |
40000 |
|
2-5 |
40000 |
70000 |
|
Специалист по поддержке: (системные администраторы, сервис-инженеры, специалисты службы поддержки) |
0-1 |
16000 |
24000 |
1-2 |
24000 |
28000 |
|
2-5 |
28000 |
31000 |
|
Экономисты и менеджеры: (консультанты, системный аналитик, проектировщик) |
0-1 |
18000 |
24000 |
1-2 |
24000 |
34000 |
|
2-5 |
34000 |
60000 |
|
3. Разработана динамическая оптимизационная модель выбора траектории получения образования как инвестиционного бизнес-процесса. Отличительными особенностями модели являются использование в качестве критерия максимума разности между дисконтированной оплатой труда профессионала в зависимости от количественной оценки качества образования и стажа работы за период устаревания знаний и затрат на получение образования, а также наличие поэтапных ограничений на стоимостные затраты, объем учебного материала и качество образования. Разработанная модель позволяет учесть индивидуальные предпочтения обучающегося и согласовать экономические интересы образовательных учреждений и работодателей.
В условиях виртуальной образовательной среды повышается вариантность выбора возможной траектории образования. Факторами многовариантности выбора траектории образования являются:
- выбор образовательного учреждения, влияющий на качество образовательных услуг и возможное качество образования, а также определяющий плату за обучение;
- темп обучения, соответствующий возможностям и предпочтениям обучающегося;
- ограничения на финансирование образовательного процесса, в том числе с использованием образовательного кредита.
- конъюнктура на рынке труда в соответствии с полученной профессией и оценка оплаты труда с учётом качества образования и опыта
12
профессиональной работы в период от начала работы до момента устаревания знаний;
Х модель отражает тот факт, что чем ранее завершается бизнес процесс получения образования, тем раньше начинается возврат инвестиционных вложений.
Параметры блока дисциплин учебного плана представлены на рис. 3.
Критерий эффективности - максимум чистой приведенной стоимости (Net present value, NPV):
NPV
t=\аа i=\а j=\
1
(l + E)
t-\
xy+ Z (ao+aiQ + <*2(t-T0))
t=Tn+\
1
(l + E)
t-\
Ч max;
(2)
13
Ограничения: качество образования, в баллах
Q= 1111^4^ >Qdon;(3)
объем учебного материала по семестрам, в кредитно-зачетных единицах
Vt=fJfJVtiJx1J<Vdora,t = \J0;(4)
общий объем учебного материала для завершения образования, в кредитно-зачетных единицах
Т JJ
у = ТЛШуи^^удоп/,(5)
t=\аа i=\аа j=\
плата за образование по семестрам, в денежных единицах
ft = SS%xv <ofdont,t = l,T0;(6)
обязательность и однократность прохождения каждого блока дисциплины
]Txy=U = Tj;аа (7)
У=1
xir0,l;i=\l;j=\j;(8)
где
Ху -аа независимая переменная;
/ - номер блока дисциплин;
j- вариант прохождения блока дисциплин;
t- подпериод времени, в полугодиях;
ofttj- оттоки средств, в рублях;
Vy- объем блока, в кредитных единицах;
qtj-а качество, в баллах;
Оу -а веса.
Наличие параметрической связи между первым и вторым слагаемыми критерия модели предполагает постоптимальный анализ результатов моделирования и диалоговый режим решения задачи, предусматривающий вариантные расчеты для разных значений параметров продолжительности получения образования и качества образования.
Разработанная модель относится к классу математических линейных моделей с двоичными переменными. Количество переменных модели обычно находится в пределах от 30 до 100, а количество ограничений - от 90 до 150. То есть размерность задачи соответствует возможностям современных программных средств решения математических оптимизационных задач с двоичными переменными.
Таким образом, модель позволяет учесть индивидуальные предпочтения обучающегося и соответствует рекомендациям Болонского процесса в части поддержки академической мобильности.
14
Кроме того, расчеты по модели дают возможность сопоставить уровень тарифов на образование с уровнем оплаты труда профессионала по критериям окупаемости затрат на образование в приемлемые сроки. Иными словами, могут служить для согласования хозяйствующих субъектов на рынке образовательных услуг и рынке труда.
Для оценки риска инвестиций в бизнес-процесс образования можно использовать переход от предложенной детерминированной модели к модели нечёткой оптимизации. При этом фаззификации подлежат оценки качества образования по блокам образовательной программы.
4. Предложен алгоритм формирования функции принадлежности лингвистической переменной Качество образования, отличительной особенностью которого является совместное использование двух методов формирования функции принадлежности: экспертных оценок и парных сравнений. Использование этих дополняющих друг друга методов позволяет верифицировать вид функции принадлежности.
Значения функции принадлежности нечеткому множеству рассчитываются по следующей формуле:
^) = -2>i>аа (9)
п к=\
где:
п - количество экспертов,
bjj-мнение к-то эксперта о наличии у элемента ^, соответствующего качества (/,).
Экспертные бинарные оценки
**,е{0;1},аа (10)
(1) - показывает наличие соответствующего качества,
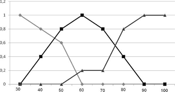
(0) - отсутствие соответствующего качества. На основании полученных данных построены функции принадлежности, графики которых представлены на рис. 4.
Для построения функций принадлежности использован также метод парных сравнений на основе шкалы Саати. Степени принадлежности принимают равными соответствующим нормированным координатам собственного вектора для максимального действительного собственного значения. Для нахождения собственных значений применялся интегрированный математический пакет MAPLE. Функции принадлежности, полученные обоими методами хорошо, согласуются между собой. Функции принадлежности, полученные в работе использовались в задаче нечеткой оптимизации.
15
|
Рис. 4. Функции принадлежности лингвистической переменной Качество образования
^- низкое качество;
ж - среднее качество;
А - высокое качество.
5. Введено понятие экономического риска инвестиционного бизнес-процесса как меры отклонения значений целевой функции, поученной при четкой постановке задачи выбора траектории образования от значения целевой функции, полученной при нечеткой постановке этой задачи. Особенностью количественной оценки риска является использование дискретных а-уровней, которые позволяют преобразовать интервальные значения оценки качества к точечным значениям с последующим решением задачи в четкой постановке.
Рассмотрим задачу нахождения максимума на заданной области. Пусть задана область вида
Р
Z Z ai<iiixi
IJ
+ Z Z vwxi
t=\аа j=\
с:аа Q
V,
Iа2>/
2=1 j=\
tijХij
OF
(И)
где коэффициенты Ч нечеткие подмножества множества R, а бинарная операция + обозначает сложение нечетких множеств. Требуется найти максимальное значение NPV на заданной области.
Коэффициент при каждой переменной в ограничениях можно считать функцией полезности, определенной на числовой оси. Можно полагать, что эти коэффициенты дают субъективную оценку различных возможностей, включая, таким образом, другие неопределенные ограничения.
16
Сведем решение исходной нечеткой задачи к решению ряда задач линейного программирования. Для дефаззиффикации вводятся дискретные а-уровни.
Таким образом, от нечетких множеств произведен переход к четко определенному интервалу (а', а"). При этом задача записывается в виде ограничений для левого и правого значений интервала. Чтобы привести задачу к виду обычной задачи линейного программирования, достаточно записать неравенства отдельно по левому и правому краям интервалов, с учетом знаков неравенства.
С помощью преобразований получена задача линейного программирования с четкими коэффициентами (при этом количество ограничений увеличилось в два раза), которая решается методом Балаша. Алгоритм решения задачи нечеткой оптимизации имеет следующий вид:
- Постановка исходной задачи.
- Введение дискретных а-уровней.
- Переход к интервальному виду ограничений.
- Дефаззиффикация интервальных значений показателей качества.
- Переход к задаче линейного программирования с четкими коэффициентами.
- Решение полученной задачи симплекс-методом.
Для решения поставленной задачи использован интегрированный пакет MatLab с Toolbox Fuzzy Logic. При решении задачи нечеткой оптимизации использованы построенные функции принадлежности, а также треугольные и гауссовы.
На основании сравнения программных продуктов, обеспечивающих решение задач с булевыми переменными был выбран пакет WinQSB, реализующий метод Балаша. Решение тестового примера подтвердило адекватность модели и возможность ее практического использования. Механизм моделирования инвестиционного бизнес-процесса дистанционного получения профессионального образования включает в себя:
Хинформационную систему моделирования;
Хорганизацию доступа пользователя к этой системе через интернет;
Хпорядок получения информации для формирования и ведения базы данных системы.
Основным звеном, отвечающим за моделирование и организацию образовательного процесса, является выбранное обучающимся образовательное учреждение РФ.
III. ВЫВОДЫ И ПРЕДЛОЖЕНИЯ Выполненное исследование позволяет сделать следующие выводы и внести следующие предложения.
1. Научные исследования, посвященные оценке экономической эффективности инвестиций в образование, как правило, касаются инвестиций в образовательные учреждения. В то же время эффективность инвестиций
17
в образование отдельного обучающегося исследована недостаточно. В условиях повышения академической мобильности образования в соответствии с Болонским процессом задача моделирования дистанционного получения образования как инвестиционного бизнес-процесса становится особенно актуальной, поскольку позволяет осуществить индивидуальный выбор траектории образования в условиях многовариантности.
- Разработанная CASE-модель инвестиционного бизнес-процесса получения образования позволяет отразить во взаимосвязи бизнес-функции как стадии получения профессионального образования с использованием дистанционных технологий, так и бизнес-функции стадии послевузовской профессиональной деятельности и соответствующие притоки и оттоки денежных средств обучающегося.
- Количественная оценка экономической эффективности процесса получения образования и вариант его организации основывается на применении динамической оптимизационной модели выбора траектории получения образования, в которой помимо критерия экономической эффективности инвестиционного проекта в виде чистой приведенной стоимости (NPV), включены поэтапные ограничения на стоимостные затраты, качество образования и объем учебного материала, что позволяет учесть индивидуальные предпочтения обучающегося.
Для оценки экономического риска инвестиционного бизнес-процесса получения образования целесообразно использовать в моделировании аппарат нечеткой логики.
- Экспериментальные расчеты по предлагаемой модели, проведенные с помощью пакета WinQSB, показали адекватность модели и возможность ее практического использования.
- Механизм практической реализации предлагаемой модели основан на использовании подсайта информационной системы моделирования в структуре сайта ВУЗа. Результаты моделирования представляют интерес не только для лица, получающего образование, но и для прочих юридических и физических лиц, связанных с инвестиционным бизнес-процессом (образовательных учреждений, банков, предоставляющих образовательные кредиты, работодателей и т. д.).
Публикации по теме диссертации
Статьи, опубликованные в рекомендуемых изданиях ВАК 1.а Галилеев СМ. Модель денежных потоков по образовательным кредитам// Вестник ИНЖЭКОНа. Сер. Экономика. 2010. Вып. 1 (36). С. 292-294. - 0,1 п.л.
18
Статьи, опубликованные в других научных изданиях
- Галилеев СМ. Задачи моделирования бизнес-процесса дистанционного образования // Сб. научн. трудов научного конгресса студентов и аспирантов ИНЖЭКОН - 2008: СПб.: СПбГИЭУ, 2008. - 0,1 п.л.
- Галилеев СМ. Экономико-математическая модель бизнес-процесса дистанционного образования как инвестиционного процесса // Современные проблемы прикладной информатики - СПб.: Изд-во Политехи, ун-та, 2009. - 0,1 п.л.
- Галилеев СМ. Модель бизнес-процесса получения дистанционного образования // Современные проблемы прикладной информатики: сб. научн. тр. Междунар. научн.-практ. конференции по современным проблемам прикладной информатики - СПб.: Изд-во Политехи, ун-та, 2010. -0,2 п.л.
- Галилеев СМ. Разработка CASE-модели дистанционного образования слушателя// Сб. научн. трудов третьего научного конгресса студентов и аспирантов ИНЖЭКОН - 2010: СПб.: СПбГИЭУ, 2010. - 0,1 п.л.
Авторефераты по темам >>
Авторефераты по экономике

