Авторефераты по всем темам >>
Авторефераты по педагогике
Система самоуправления учебно-познавательной деятельностью студентов в сфере физической культуры
Автореферат докторской диссертации по педагогике
На правах рукописи
ЯМАЛЕТДИНОВАа ГАЛИНА АЛЕКСАНДРОВНА
СИСТЕМА САМОУПРАВЛЕНИЯ
аУЧЕБНО-ПОЗНАВАТЕЛЬНОЙ ДЕЯТЕЛЬНОСТЬЮ СТУДЕНТОВ
аВ аСФЕРЕ ФИЗИЧЕСКОЙ КУЛЬТУРЫ
13.00.08 - Теория и методика профессионального образования
АВТОРЕФЕРАТ
диссертации на соискание ученой степени
доктора педагогических наук
Москва - 2009
Работа выполнена в НОУ ВПО Гуманитарныйа университета г. Екатеринбург
Научный консультанта аадоктор педагогических наук, профессор
Рапопорт Леонид Аронович
Официальные оппоненты:аа аадоктор педагогических наук, профессор
аа Изаака Светлана Ивановна
а
доктор педагогических наук, профессор
аа Макеева Вера аСтепановна
адоктор педагогических наук, профессор
Туревскийа Ильяа Маркович
Ведущая организация аГОУ ВПО л Московскийа городской
педагогическийаа университетаа а
Защита состоитсяа л16 марта 2010 года в 11.00 часоваа на аазаседанииаа адиссертационного советаа Д аа311.03.02аа при аФГОУ ВПОа Российский государственный университет физической культуры, спорта и туризма по адресу: 105122,а Москва, Сиреневыйа бульвар, 4,а ауд. 603.
С диссертацией можно ознакомиться в библиотекеа ФГОУ ВПО Российскийаа агосударственныйа университет физической культуры, спорта и туризма.
Автореферат разосланаа л_________________а 2010 г.
Ученый секретарь
диссертационного совет М.В. Сахарова а
ОБЩАЯ ХАРАКТЕРИСТИКА РАБОТЫ
Актуальность исследования. Развитие демократических институтов, становление правового государства в России влекут коренную перестройку социальной структуры общества. Изменяется структура экономики, исчезают одни и появляются другие профессии, усиливается потребность общества в творческом и интеллектуальном труде,а интенсифицируетсяа процесс подготовки специалистов. В этой связи эффективность деятельности специалиста, владеющего глубокими профессиональными знаниями, навыкамиа их использования, обладающего личной инициативой, творчеством, самостоятельностью связана с идеей непрерывного образования и самообразования личности.
Одна из важнейших проблем высшей школы заключается в изыскании активных методов стимулирования учебно-познавательной деятельности студентов, так как высшее образование должно обеспечить человеку, прежде всего, раскрытие его духовных и физических потенций. Фактически это означает максимальную реализацию человеческогоа потенциала. аПри этом аважнейшим фактором адаптации, становления личности профессионала и оптимальной сочетаемости в ней социального и биологического являются физкультурно-спортивная деятельность и ее ценности, овладение которыми обеспечивает сформированность специфического состояния физической культуры личности.
Обобщенные результаты научных исследований показывают, что сегодня в системе физкультурного образования наблюдается тенденция, ориентированная на развитие соматической природы человека. Не всегда учитываются его психическая и социокультурная стороны, что приводит к издержкам образовательного процесса и исключает многогранную и интегративную роль физической культуры в целостной методологии, которая направлена на развитие человека в единстве телесного и духовного.
В связи с этим остро стоят вопросы внедрения такой системы физического воспитания, которая сможет переориентировать деятельность студентаа с традиционной цели - априобретения двигательных умений,а навыков и развития физических качеств - на накопление опыта творческой иа познавательной деятельности; освоение знаний и методов управления физическима развитием и физическим состоянием; формирование активно-преобразующего отношения к получаемой информации; проектирование стратегии индивидуального здорового стиля жизни; коррекцию своего физического состояния в зависимости от профессиональных и жизненных задач. Актуальным становится включать самого студента в процесс управления своей познавательной деятельностью и самим собой, своим здоровьем, поскольку ему необходимо в органичном единстве осваивать предметную и организационную стороны учения.
Основныма путем разрешенияа указанной проблемы является практическое обучение студентов самостоятельному углубленному получениюа знаний, приобретению индивидуального опыта физкультурно-спортивной деятельности и формирования требуемых для этого навыков на основе самоуправления познавательной деятельностью и создания соответствующих условий для решения данной задачи.
Решение этой проблемы позволяет педагогу организовать направленное воздействие на активизацию деятельности студента,а заложить основы подлинной индивидуализации процесса, поднять его на ановый качественный уровень. а
Однако, проблема самоуправления учебно-познавательной деятельностью студентов в сфере физической культуры на современном этапе не получила должного развития. Практика, в свою очередь, свидетельствуета о том, что отсутствие систематизированных научных знаний о сущности, этапах,а динамике иа оптимальныха условияха формирования самоуправленияа учебно-познавательной деятельностью студентов затрудняет процессы формирования физической культуры личности. Налицоа проблемная ситуация: с одной стороны - необходимость совершенствования образовательного процесса по дисциплине Физическая культура в плане подготовки его постепенного перехода в процесс самоуправления познавательной деятельностью, а с другой - отсутствие эффективного педагогического инструментария, способствующего созданию оптимальных для этого условий.
Современные знания о самоуправлении учебно-познавательной деятельностью апозволяют аподойтиа к решению этой проблемы на основеа концепции формированияа целостного процесса самоуправленияа учебно-познавательнойа деятельностью студентов как интегрального понятия педагогической науки (В. И. Андреев, 1995).а Анализ данных исследований ряда авторов (К. Д. Ушинский, 1953; аA. N. Maslow, 1959;а K. R. Rogers, 1964; аН. К.а Тутышкин, 1984;а Н. М. Пейсахов, 1985;а Г. К. Селевко, 1998;а И. Г. Широкова,а 2003;а Н.В. Пономарева, 2004;а Б. Н. Гамидуллаев, 2006) позволяет констатировать, что самоуправление - это асовмещение функций объекта и субъекта управления психическими процессами, действиями, поведением. В данном случаеа органома управления выступает его личность, которая является организатором, формирующим способностьа к деятельности, своей активности.а
В физической культуре система самоуправления учебно-познавательной деятельностью студентов в ряде исследованийа рассматриваетсяа как отдельные само-процессы: асамоопределение студента (М. Я.а Виленский, 1985); асаморазвитие и самовоспитание будущегоа учителя и специалиста (В. С. Макеева, 2001); саморазвитиеа индивидуальной физической культурыа специалиста (П. В. Старокожев, 2006);а самопознание студента в условияха гуманитарногоа образования (В. В. Черняев,а К. Ю. Акулова,а 2006). Однако, решение даннойа проблемы с точки зрения системного подхода в сфере физической культуры еще не нашло своего раскрытия. Таким образом, проведенный теоретико-эмпирический анализ самоуправления образовательного процесса по дисциплине Физическая культура студентова высших учебных заведений позволила выявить следующие апротиворечияа между:
- потребностью общества в здоровом поколении иа низким уровнем физической подготовленности студенческой молодежи;
- высокими познавательными возможностями физической культуры,аа положительным переносом знаний в профессиональную деятельность и неспособностью высшей школы комплексно и последовательно сохранять и укреплять здоровье студенческой молодежи в процессе обучения;
- возросшими требованиями к самоуправлению учебно-познавательной деятельностью будущих специалистов-выпускников вузов, потребностью личности в знаниях, умении управлять ими в повседневной жизнедеятельности и традиционной, фрагментарно организованной формойа физического воспитания студентов;
- современными требованиями к комплексному информационному обеспечению профессиональной подготовки и анедостаточным количеством научно обоснованных инновационных подходова использованияа информационных технологий в сфере физической культуры.
На основе выявленных противоречий была сформулирована проблема исследования, которая заключается ва определении, обосновании и реализации самоуправления учебно-познавательной деятельностью студентов в сфере физической культуры.
Все вышесказанное позволяет обосновать выбор темы: Система самоуправления учебно-познавательной деятельностью студентов в сфере физической культуры.
Объект исследования: образовательный процесс студентова высших учебных заведений.
Предмет исследования: самоуправление учебно-познавательной деятельностью студентов в сфере физической культуры.
Гипотеза исследования заключалась в предположении о том, что система асамоуправления учебно-познавательной деятельностью студентов в сфере физической культуры будет эффективной при выполнении следующих условий:аа
- теоретического анализа и раскрытия научно-методологических положений специфики, основных форм, методов и средств системы асамоуправления учебно-познавательной деятельностью студентова в сфере физической культуры;а
- выявления основных закономерностей и принципов, определяющих эффективность самоуправления учебно-познавательной деятельностью студентов в сфере физической акультуры;
- определения концептуальных положений системы самоуправления учебно-познавательной деятельностьюа наа основе модульно-проектной технологииа обученияа с использованием индивидуально-дифференцированного подхода;
- теоретического обоснования модели системы самоуправления учебно-познавательной деятельности студентов ва сфере физической культуры;
- выстраивания целостного процесса самоуправления, обусловленного определенным алгоритмом функционирования, этапами формирования, иха целями и функциями, авзаимодействующими компонентами;а
- выявления иа научного обоснованияа структуры и содержания комплекса организационно-педагогических условий, включающиха авторские компьютерные программы, интенсифицирующих процессыа самоуправления в сфере физической культуры иа в будущей профессиональной деятельности для разработки индивидуальных проектов здорового стиля жизни и управления им.
Цель исследования заключается в выявлении, определении, обосновании и реализации теоретических и научно-методологических положений системы самоуправления учебно-познавательной деятельностью студентов в сфере физической культуры.
Для достижения поставленной цели и проверки гипотезы были сформулированы следующие задачиа исследования:
1.Выявить основные проблемы самоуправления учебно-познавательной деятельностью студентов в сфереа физической культуры.
2. Установить основные закономерности и принципы, определяющие эффективность самоуправления учебно-познавательной деятельностью студентова в сфере физической акультуры.
3.Обосновать концептуальные положения системы самоуправления учебно-познавательной деятельностью студентов по дисциплине Физическая культура на основе модульно-проектного обучения с использованием информационных технологий.а
4. Разработать и теоретически обосновать модель системы самоуправления учебно-познавательной деятельности студентов ва сфере физической культуры.
5. Разработать алгоритм функционирования, интегрирующий содержание поэтапного процесса самоуправления учебно-познавательнойа деятельностью студентов и систему условий их реализацииа по дисциплинеа Физическая культура.
6. Разработать модульно-проектную технологию и комплекс условий ее функционирования в формировании умений самоуправления учебно-познавательной деятельностью студентов.
7. Создать информационно-методический программный комплекс, состоящий из методического инструментария и пакета компьютерных программ разных типов, обеспечивающий самостоятельную работу по дисциплине Физическая культура с целью диагностики физических состояний и формирования умений самоуправления.
8. Обосновать систему критериев и показателей, характеризующих уровни сформированности самоуправления учебно-познавательной деятельностью студентоваа в сфере физической культуры.
Методологическую основу исследования составляют философские положения о взаимосвязи явлений окружающего мира (идеи философской антропологии человека и его воспитания), о диалектическом единстве социального и индивидуального (Н. П. Дубинин, 1974; К. А. Абульханова-Славская, 1977;а С. С. Голдентрихт, 1987;а В. И. Андреев, 1988; И. М. Быховская , 1997; аЛ. А. Закс, 2005); общенаучныеа положения теории деятельности, теории познания и самопознания, систем управления и самоуправления а(М. С. Каган, 1974;а А. Н. Леонтьев, 1977;а Н. М. Пейсахов, 1985; Р. Х.а Шакуров, 1997 и др.); основы формирования содержания образования и его изложения в рамках модульного обучения (П. А. Юцявичене, 1990; Г.а В. Лаврентьев,а 1994;а Т. И. Шамова, а2006; ааБ. аА. Сазонов, 2008).
В основу построения научной концепции положены идеи интегральных характеристик человека как личности и субъекта деятельности (А. Г. Асмолов, 1985; Л. И. Анцыферова, 1990;а К. А. Абульханова-Славская, 1993; Б. Г. Ананьев, 2000;а и др.), опирающиеся на подходыа общенаучного уровня методологии -а системный, личностно-деятельностный иаа информационный.
Теоретическую основу исследованияа составляют основные положения современнойа педагогики (В. А. Сластенин, 1994;а Н. В. Бордовская,а 2001; Б. В. Краевский, 2002; С. Д. Неверкович, 2006 и др.), теория поэтапного формирования умственных действий (П. Я. Гальперин, 1968; аН. Ф. Талызина, 1984), атеоретические аспекты информационного обеспечения образовательногоа процесса (Е. И. Машбиц, 1988; аВ. Д. Сонькин, 1990;а аИ. Г Захарова, 2003;а А. аИ. Федоров,а 2004 аи адр.).
Основу построения научной концепции составили: теории функциональных систем (П. К. Анохин, 1978; аК. В. Судаков, 2000 и др.), построенияа движений (Н. А.а Бернштейн, 1947) и управленияа движениями (М. М. Боген, 1985);а концепции активности (Э. С. Бауэр, 1982;а Н. А. Бернштейн, 1990 и др.); гуманистические идеи саморазвития и самореализации человека (М. С. Каган, 1996; аA. N. Masloy, 1968;аа К. R. аRogers, 1996); проектирование деятельности и образовательного процесса (Е. С. Заир-Бек, 1995;а В. С. Безрукова, 2001;а Г .Е. Муравьева,а 2002;а О. А. Булавенко, 2006 и др.); мотивация деятельности и поведения (А. Н. Леонтьев,а 1971;а М. С. Каган, 1974; Р. Р. Бибрих, 1987;а А.а К. Маркова, 1990 и др.); теоретические положения об управлении здоровьем и физическим состоянием человека (Р. М. Баевский, 1979; аГ. Л. Апанасенко,а 2000; аС. И. Изаак, 2005).
В работе использовались теоретическиеа положения о роли и значении физической культуры в развитии личности, ее ценностных составляющиха (В. К.а Бальсевич,а 1988; Л. П. Матвеев, 1991;а Л. И.а Лубышева, 1997; М. Я.а Виленский, 1999, 2003; В. С. Макеева, 2008); основы профессионально-прикладной физическойа подготовкиа (В. В. Белинович, 1967;а В. И. Ильинич, 1978;а Р. Т. Раевский, 1985; аВ. А. Кабачков, аС. аА. аПолиевский, 1991; В. П. Полянский, 1999), аздорового образа и стиля жизни (М.а Я.а Виленский,а 2004;а В. А. Бароненко, Л. А. Рапопорт,а 2004; В. И. Ильинич, 2006;а Р. Т. Раевский,а 2008; аН. Н. Чесноков 2003 иа др.).
Ведущей идеей являются положения о формировании самоуправления аучебно-познавательной деятельностью студентов, используя средства, методы,а формыа физической культуры и информационные технологии. При реализации нашей идеи мыа опиралисьа на теорию сущности и структуры человеческой деятельности, раскрытую в трудаха М. С. Кагана (1974), и основаннуюа на динамическом самопрограммировании поведения.
Для решения поставленных в исследовании задач и проверки гипотезыа использовались теоретические методы: сравнительно-сопоставительный, системный, ретроспективный, логический анализ философской, психолого-педагогической, методической литературы,а изучение и обобщениеа педагогического опыта; эмпирические методы:а обсервационные (прямое и косвенное наблюдение, самонаблюдение), психолого-педагогические и социологические (опрос, анкетирование,а тестирование, самооценка, экспертная оценка), моделирование,а медико-биологические (определение биологического возраста, индивидуального риска заболеваний сердца, оценка адаптационного потенциала системы кровоснабжения по Р. М. Баевскому, степени утомления), экспериментальные (констатирующий, формирующий), компьютерная диагностика физического здоровья с использованием компьютерных программ (авторское свидетельство об официальной регистрации программ для ЭВМ № 2007614074), апраксиметрические (анализ результатова опытно-экспериментальной деятельности, контент-анализ), качественный и количественный анализ полученной информации с применением аметодов математической статистики.
Опытно-экспериментальная база исследования: НОУ ВПО Гуманитарный университет г. Екатеринбурга. Исследованием были охвачены студенты очного обучения шести факультетов, трех курсов, шестнадцати специальностей - более 3000 человек,а профессорско-преподавательский состав - 136 человек 17 вузов г. Екатеринбурга.
ичное участие соискателя в исследовании и получении научных результатов состояло: в проведении теоретико-педагогического анализа становления и развития системы самоуправленияа учебно-познавательной деятельностью студентов в сфере физической культуры; формулировании концептуальных положений по исследуемой проблеме; обеспечении аруководства иа организации научно-исследовательской деятельности коллектива преподавателей различных кафедр по созданию, апробации и реализации в учебный процесс информационно-методического программного комплекса, а также программ практических элективных курсова по видам спорта иа системама физическиха упражнений;а проведенииа длительной аэкспериментальнойа работы по внедрению системы самоуправления учебно-познавательной деятельностью студентов ва процессе формирования физической культуры личности.
Исследование проводилосьа в три этапа:
- теоретико-поисковый (1992-1999г.г.) включал в себя анализ философской, психолого-педагогической отечественной и зарубежной литературы, изучение практического опыта;
- экспериментально-аналитический (2000 - 2005 гг.), ав процессе которого осуществлялась проверка эффективности поэтапного переходаа управления ва самоуправление учебно-познавательной деятельностью студентов;
- теоретико-обобщающий (2006 -2009 гг.), апосвященный аанализу итогов эксперимента по формированию и развитиюа психолого-педагогических основ самоуправления, обоснованию концепции, проведению статистической обработкиа полученных данных и их систематизации; публикации основных результатов исследования; оформлению диссертации и выработке практических рекомендаций по внедрению ее положений в практику.
Достоверность результатов исследования и обоснованность научных положений, рекомендаций и выводов обеспечивается многосторонним теоретическим обоснованием концепции избранного научного направления, выбором методов исследования, адекватных объекту и задачам научного поиска, личным опытом работы автора более 30 лет в качестве преподавателя физической культуры, корректной статистической обработкой полученных результатов, репрезентативностью выборки испытуемых.
Научная новизна исследования заключается в следующем:
1.Выявлена, определена и обоснована сущность, структура и содержание понятия самоуправление учебно-познавательной деятельностью студентов по дисциплине Физическая культура.
2.Определены основные закономерности и принципы, определяющие эффективность самоуправления учебно-познавательной деятельностью студентов в сфере физической культуры.
3.Разработана концепция системы самоуправления учебно-познавательной деятельностью студентова по дисциплине Физическая культура.
4.Обоснована модель системы самоуправления учебно-познавательной деятельностью студентов в сфере физической культуры, включающая структуру, алгоритм функционирования, условия, критерии и уровни сформированности.
5.Выявлен алгоритма поэтапного формирования самоуправления учебно-познавательной деятельности студентов и условия его эффективности в процессе физического воспитания.
6.Создана, теоретически и экспериментально обоснована технология модульно-проектного обучения самоуправлению учебно-познавательной деятельностью студентов на основе индивидуально-дифференцированного подхода.
7. Разработаны структура и содержание аорганизационно-педагогических условий по дисциплине Физическая культура, направленные на развитие активно-преобразующего отношения студента к получаемой информации, способности проектировать и реализовать здоровый стиль жизни,а самостоятельноа его контролироватьа иа корректировать.
8.Обоснованы критерии, показатели и уровни сформированности самоуправления учебно-познавательной деятельностью студентов в сфере физическойа культуры. а
Теоретическая значимость исследования:
Для теории педагогики определены предпосылки, основное содержание и следствие самоуправления учебно-познавательной деятельностью студентов в сфере физической культуры.
Уточнено определение понятия самоуправление учебно-познавательной деятельностью студента по дисциплине Физическая культура, одновременно объединяющей функции объекта и субъекта как целостный апроцесс и результат деятельности, синтезирующий самопроцессы: самопознание, самоопределение, самоорганизацию, саморегуляцию,а самосовершенствование, самоконтроль иа самокоррекцию;
Выявлены основные закономерности и принципы, на основе которых сформулированы теоретико-методологические концептуальные положения системыа самоуправления учебно-познавательной деятельностью студентов в сфере физической культуры на основе модульно-проектного обученияа с использованием информационных технологий; а
Обоснована модель системы самоуправления учебно-познавательной деятельностью студентов в сфере физической культуры, включающая структуру, алгоритм функционирования, условия, критерии и уровни сформированности;а
Выявлен алгоритм поэтапного формирования самоуправления учебно-познавательной деятельности студентов и условия его эффективности в процессе физического воспитания;
Разработаны структура и содержание организационно-педагогических условий эффективности деятельности студентов по адисциплине Физическая культура, направленные на развитие активно-преобразующего отношения студента к получаемой информации, его способности проектировать и реализовать здоровый стиль жизни,а самостоятельноа его контролироватьа иа корректировать;а
Обоснованы критерии, показатели и уровни сформированности самоуправления учебно-познавательной деятельностью студентов в сфереа физическойа культуры.
Практическая значимость исследования заключается в разработке и внедрении в учебный процесс:а программ практических элективных курсов по видам спорта и систем афизических упражнений; информационно-методического программного комплекса по дисциплине Физическая культура; автоматизированной информационной системы Учебный процесс кафедры; алгоритма комплексной самодиагностики физического состояния на основе авторских компьютерных программ, способствующих унификации и стандартизации методов диагностики.
Результаты проведенных исследований могут быть использованы в: изменении теоретико-методологического подхода при разработке новых образовательных стандартов для высшего профессионального образования; самоуправленииа учебно-познавательной деятельностью студентов и школьников по дисциплине Физическая культура в учебных заведениях всех типов; самодиагностике физического состояния и консультировании при созданииа личностных проектов здорового стиля жизни; управлении физической, профессиональной и специальной подготовкой и состоянием здоровьяа студентова при организации различныха форм занятий;а поэтапном апереходе управленияа в самоуправление учебно-познавательной деятельностью студентов с использованием возможностей информационных технологий; персональной подготовке тренеров оздоровительных центров, преподавателей вузова иа других форм обучения.
Наа защиту выносятся следующие положения:
1.Концепция системы самоуправления учебно-познавательной деятельностью студентов на основе рационального использования средств, методов,а форм физической культуры и возможностей информационных технологий включает общие положения, ключевые идеи и понятийно-категориальный аппарат, теоретико-методологические основания, содержательно-процессуальное наполнение, условия эффективного функционирования процессов самоуправления учебно-познавательной деятельностью в сфере физической культуры.
2. Модель системы самоуправления учебно-познавательной деятельностью студентов в сфере физической культуры реализуется через систему компонентов, включающую структуру, алгоритм функционирования, условия,а критерии и ауровни сформированности самоуправления.
3.Технология реализации модульно-проектного обучения, которая способствует созданию и выполнению проектов здорового стиля жизни на основе внедрения алгоритмов применения компьютерных программ, обеспечивает самоуправление учебно-познавательной деятельностью студентов в рамках физкультурно-спортивной, физкультурно-оздоровительной и профессионально-прикладной деятельности.
4.Комплекс организационно-функциональных, процессуально-содержательных,а управленческих и информационных условий позволяет эффективно формировать у студентов умение самоуправления в сфере физической культуры.
5.Авторский информационно-методический программный комплекс для разработки личностных проектов здорового стиля жизни и управления ими включает методический инструментарий, пакет компьютерных программ разных типов, который интенсифицирует само-процессы в сфере физической культуры и будущей профессиональной деятельности.
6.Система критериев и показателей, характеризующих уровни самоуправленияа учебно-познавательной деятельностью в сфере физической культуры, мотивирует студента к объективнойа самодиагностике, самооценке иа анализу собственных результатов.
Апробация и внедрение результатов исследования. Основные положения и результаты исследования докладывались и обсуждались наа международныха научных симпозиумах (Одесса, 1997 - 2008),а конгрессах (Москва, 2008 и Алматы, 2009), международных и всероссийских конференциях в г.г. Минск, Москва,а Орел, аРостов-на-Дону, Нижний-Новгород, Санкт-Петербург, Йошкар-Ола, Краснодар, Екатеринбург, Челябинск, в статьях научно-теоретических журналов, учебно-методических пособиях. По теме диссертации опубликованыа 90 работ,а в том числе 3 монографии и 12 компьютерных программ общим объемом 61,4 печатных листа аиа 90,3 МБ.
Результаты исследования внедрены в учебный процесс Архангельского, Одесского, Орловскогоа государственных технических университетов, аНациональной металлургической академии (г. Днепропетровск), Донбасской государственной машиностроительной академии (г. Краматорск), персональную подготовку тренеров оздоровительных центров Ставропольского государственного университета, аиспользуются в лекционных, методических и практических занятиях Гуманитарного университета г. Екатеринбурга очной (по 16 специальностям), заочной и сокращеннойа формах аобучения, а также - в вузах разного профиля Уральского федерального округа. а
Объем и структураа диссертации отражаюта общий замысел и логику исследования. Диссертация состоита из введения, пяти глав, выводов, библиографического списка и 22 приложений. Научнаяа работа изложена на 421 странице.а Библиографический список включает 466 литературных источников, в том числе 31 на иностранных языках. В текст включены 26а таблиц,а 45 рисунков,а 6 графическиха схема иа 6а диаграмм.
ОСНОВНОЕ СОДЕРЖАНИЕа ДИССЕРТАЦИИ
Во введении обосновывается актуальность проблемы исследования,а характеризуется степень ееа разработанности,а формулируется цель, объект, предмет, гипотеза и задачи исследования, раскрывается научная новизна и практическаяа значимость работы, описываются этапы исследования, формулируютсяа основныеа положения, выносимыеа на защиту.
В первой главе Теоретико-методологические основы самоуправления учебно-познавательной деятельностью студентов вузов рассматривается сущность, структура и содержание учебно-познавательной деятельности студентов; раскрываютсяа теоретические подходыа к трактовке понятия самоуправление как личностный способ реализации учебно-познавательной деятельности студентов в процессе обучения; обосновываются факторы и условия, обеспечивающие эффективность самоуправления, а также критерии, показатели и уровни сформированности.
Выявлено, что изменение форм и организации учебного процесса может оказывать влияние на структуру и содержание познавательной деятельности студента, а совершенствование форм приводит к качественному преобразованию процессов самоуправления деятельностью. Особое значение для формирования эффективного самоуправления студентов имеет разработка форм, способов и средств рациональной организации самостоятельной работы на аудиторных занятиях и во внеаудиторное время, исследование механизма, структуры, особенностей процесса самостоятельной работы в познавательной деятельности.а
В ходе теоретического анализа определена сущность учебно-познавательных действий как специфических педагогических конструкций, которая определяется особенностями поставленных в них учебно-познавательных задач. Главная задача преподавателя - обеспечить максимальную мыслительную активность студента: научить учиться.
Установлено, что между понятиями лучебная деятельность и познавательная деятельность существуют различия. Обозначенные деятельности различаются своим продуктом. Так, продуктом познавательной деятельности человека являются знания, а происходящие при этом изменения в субъекте выступают как побочный результат. Сущностью учебной деятельности является самостоятельная, целенаправленная, самоуправляемая, мотивированная деятельность обучаемого по овладению знаниями, способами их добывания, переработки и применения. Осуществляя проблемное обучение, преподаватель активизирует протекание мыслительных процессов, в результате чего происходит усвоение приемов мышления, и от организации и характера внешней (учебной) зависит познавательная (внутренняя) деятельность.
Особенность учебно-познавательной деятельности заключается в том, что она связана с вхождением студента в новую для него действительность, что всегда обогащает студента, формирует его сознание. Полноценная учебно-познавательная деятельность -а это не развитие отдельно взятых видов деятельности, это их единство и взаимопроникновение, взаимосвязь и взаимодействие.
В процессе исследования определено, чтоа содержание и организация процесса усвоения знаний, а также развитие у студентов навыков к учебно-познавательной деятельности, самоуправление этой деятельностью должны изучаться и формироваться в структурном единстве всех ее компонентов, включающих мотивационно-целевой, познавательно-проектный, деятельностно-практический, результативно-оценочный, коррекционный, а также диагностико-аналитический.
В структуре познавательного процесса выделены чувственный и рациональный уровни. Наиболее эффективным выступаета рациональный уровень, так как рациональное познание предполагает объективизацию индивидуальных знаний, их обобщение, трансляцию и пр., обеспечивая существование таких форм познавательного творчества, как наука и философия, необходимые в сфере физической культуры.
В анализируемое понятие самоуправление входят два слова само и луправление. Управление трактуется как функция организованных систем различной природы, обеспечивающая сохранение их определенной структуры, поддержание режима деятельности. Это, прежде всего, действие субъекта управления над объектома (С. Г. Сейранов, 1995; В. И. Иванов, 2000; Л. А. Рапопорт, 2002; В. И. Жолдак, 2003 и др.). Слово само означает направленность действия на того, кто его производит.
В ряде исследований отечественных авторов самоуправление рассматривается как совмещение функций объекта и субъекта управления, где студент по отношению к своей деятельности является и объектом и субъектом управления (Н. М. Пейсахов, 1983;а А. Р. Тузиков, 1987; Г. К. Селевко, 1998; С. А. Шевцов, 2005).
В процессе деятельности, как замечают Б.а Г.а Ананьев (2000), Н. Г. Герасимов (1985),а Л. А. Закс (2005), преобразуется не только предмет деятельности, но и сам человек, который стремится реализовать себя, лосуществить (выполнить) себя. Таким образом, самоуправление выступает иа характеристикой деятельности и акачеством, обеспечивающим осознанность, целевую направленность на эффективность деятельности.
Самоуправление личности как интегральное понятие педагогической науки представляет собой целостный процесс, прямо или косвенно отражающий взаимосвязанные самости: самопознание, самоопределение, самоорганизация, самореализация, самоконтроль, самооценка, саморазвитие и др.а Все этапы целостного процесса самоуправления представляют собой усложняющиеся организации, включающие в себя предыдущие этапы в измененном, трансформированном виде.
Таким образом, в процессе теоретического анализа ва рамках данной главыа раскрыты вопросы развития и внедрения системы самоуправления,а направленной на деятельность по накоплению опыта познавательной деятельности: усвоение знаний и путей управления физическим развитием и физическим состоянием с использованием средств физической культуры; формирование активно-преобразующего отношения к получаемой информации, выстраивание индивидуального стиля жизни, корректировка физического состояния в процессе жизнедеятельности в зависимости от профессиональных и жизненных задач.
Во второй главе Особенности формирования учебно-познавательной деятельности студентов в сфере физической культуры показаны состояние здоровья,а физическое здоровье и физическая подготовленность как цель учебной дисциплины; специфика и проблема активизации учебно-познавательной деятельностью студентов в сфере физическойа культуры; проблемыа реализации Государственного образовательного стандарта по дисциплине Физическая культура во всех вузах г. Екатеринбурга; возможности информационных технологий и модульного обученияа в образовательном процессе физической культуры.
Как показали исследования многочисленных авторов (М. Я. Виленский, В. А. Беляева, 1985;а Г. Н. Сытин, 1994;а В.С. Макеева, 2001 и мн. др.)а в процессе физического воспитания осуществляется воздействие не только на биологическую основу личности, но и на ее биосоциальную целостность. Поэтому невозможно судить о физической культуре личности, опираясь лишь на развитие ее физических возможностей без учета ее мыслей, чувств, направленности и степени развитости интересов, потребностей, убеждений.
В сфере физической культуры учебно-познавательная деятельность специфична. Ее особенность заключается в том, что движения стимулируют мышление. Однако объем и интенсивность физической нагрузки (двигательная активность) должны подбираться адекватно функциональным возможностям организма на текущий момент, то есть с учетом индивидуальных особенностей студента. Если объем движений (физическая нагрузка) превышает потенциальные возможности, то в организме наблюдаются негативные изменения. На фоне большого физического утомления познавательная деятельность притормаживается.
В процессе исследования установлено, что физическая культура обладает большими возможностями в сохранении и приумножении уровня здоровья, повышении физического развития, физической и профессиональной готовности и жизнедеятельности в целом. Вместе с тем, изучение состояния физического здоровья студенческой молодежи выявило тенденцию резкого его ухудшения. Такая динамика наблюдается во всех вузах России, но темпы прироста выше в вузах гуманитарного профиля и, особенно,а негосударственных.
Теоретический анализ исследований Н. А. Бернштейна, К. К. Платонова,а ааИ. М. Сеченова и др. позволяет говорить о сущности процесса воспитания физической культуры человека, который состоит в том, что он ориентирует человека не только на освоение знаний, но и на способы этого освоения, на образцы и способы мышления и деятельности, на развитие познавательных сил и творческого потенциала человека. Так, при построении движений различной сложности команды отдаются на иерархически различных уровнях нервной системы. При автоматизации движений эта функция передается на более низкий уровень, но повторение движения не делает этот путь одинаковым. Используя разнообразные физические упражнения и управляя информацией, студент превращает их в знания, а знания - в действия. Таким образом, он улучшает свое физическое состояние и подготовленность, физически совершенствуется.
Степень физического совершенства определяется тем, насколько прочную основу оно представляет для дальнейшего развития, в какой мере оно лоткрыто новым качественным изменениям и создает условия для перевода личности в иное, более совершенное качество. Отсутствие научных знаний о сущности, этапах, динамике и оптимальных условиях формирования самоуправления учебно-познавательной деятельностью студентов затрудняет реализацию предметной цели физической культуры личности.
Социологическое исследование (136 человек, в том числе 13 заведующих кафедрами) по проблеме реализации Государственного образовательного стандартаа высшего профессионального образования по дисциплине Физическая культура в вузах г. Екатеринбурга позволилоа выявить способы оптимизации ее содержания и организации: создание у студентов осознанной мотивации сохранения здоровья и выбораа здорового стиля жизни; условия для реализации современных систем физических упражнений с правома выбора вида спорта в соответствии с их возможностями иа желаниями;а широкоеа использованиеа активных методов обучения;а выработка способности осуществлятьа самодиагностику здоровьяа и специальнойа физической подготовленности.
Проведенный анализ теоретических источников и собственная опытно-экспериментальная деятельность показали, что профессиональный рост специалиста и его социальная востребованность сегодня, как никогда, зависят от личного умения оперативно управлять своим состоянием, в том числе и своим здоровьем. В соответствии с этим на современном этапе требуется изменить отношение к образовательной подготовке в вузе, ориентируясь на формирование готовности (возможности и потребности) студентов к самоуправлению познавательной деятельностью в сфере оздоровительной физической культуры и творческой реализации ее после окончания учебного заведения в будущей профессиональной деятельности. В этом плане наиболее актуальным является использование информационных технологий, которые позволяют студенту выбирать свою собственную траекторию обучения, а также коренным образом изменяют технологию получения нового знания посредством более высоких дидактических возможностей компьютера, таких как индивидуализация учебного процесса при сохранении его целостности за счет программируемой и динамическойа адаптированности учебных программ.
При этом эффективность самоуправления учебно-познавательной деятельностью студентов будет повышаться благодаря:
Х мотивации, апредполагающей такую аорганизацию целостного поведения, при которой повышение физической активности оказывает существенное влияние на формирование цели и выбор путейа ее достижения;
Х целеполаганию, направленному наа проектированиеа личности обучаемого (желаемый результат);
Х созданию и внедрению контрольно-обучающихся компьютерных программ, позволяющих осуществлять дифференцированный подход к студентам, учитывать их мотивы, предпочтения и уровень подготовленности;
Хразработке автоматизированной информационной системы, осуществляющей управление организациейа учебного процесса и перехода его в самоуправление;
Хвнедрению алгоритма комплексной самодиагностики физического состояния на основе информационно-методического программного комплекса, способствующего унификации и стандартизации методов диагностики;
Хвключению в учебный процесс методических рекомендаций (инструментария) по проведению текущего, рубежного и итогового контроля; разработке словаря-справочника по физической культуре и сертификата физического здоровья; внедрению структурно-логических схем учебного процесса и алгоритмов методических занятий; созданию информационно-организационной системы обратной связи,а позволяющиха повысить эффективность занятий физической культурой.
Сложность и противоречивость специфических задач физической культуры (объект исследования - живой организм) не всегда позволяет формализовать процесс обработки получаемой информации. Модульная технология обеспечивает продуктивную реализацию принципов дифференциации и индивидуализации учебно-познавательной деятельности студентов на основе широкого использования в учебном процессе избирательно направленных активных методов обучения. При этом наиболее эффективной формой проведения занятий является модульно-проектное обучение на основе индивидуально-дифференцированного подхода, которое открывает реальные пути к самоуправлению учебно-познавательной деятельностью, то есть действия самого обучающегося, направленные на поэтапный переход управления в самоуправление.
В третьей главе Концептуальные основы системы самоуправления учебно-познавательной деятельностью студентов в сфере физической культуры рассматриваются система самоуправления, концептуальные положения системы самоуправления учебно-познавательной деятельностью студентов по учебной дисциплине Физическая культура, ее закономерности и принципы, модульно-проектная технология как средство достижения результата, этапы формирования самоуправления и условия их обеспечения, система критериев и показателей, характеризующих уровень самоуправления.аа
Под системой мы понимаем совокупность структурных и функциональныха элементов, находящихся во взаимоотношениях и взаимосвязях друг с другом,и на основе этого образующих определенную целостность и единство, и включающих ацель системы, содержаниеа учебной информации, средства, модель, адеятельность преподавателей и студентов в процессеа перехода от управления в самоуправление.
Анализ теоретических сведений, выявленные закономерности иа принципыа позволили нам сформулировать основы педагогической концепции системы самоуправления учебно-познавательной деятельностью студента (СУПД), состоящейа иза теоретических положений, понятийно-категориального аппарата, теоретико-методологических оснований, ядра, содержательно-процессуального накопления иа условий функционирования, которые образуюта структуру педагогической концепции.
Установлено, что концепция системы самоуправления учебно-познавательной деятельностью студентова представляета собой систему целенаправленных взаимодействий знаний и рациональной двигательной деятельности в целях совершенствования социальных, духовных, индивидуальных и телесных качеств студентов.
Ядро концепции включает совокупность закономерностей и принципов функционирования и формированияа исследуемых самопроцессов. Его представление позволяет оценить современное состояние изучаемой проблемы, проследить перспективы ее становления и развития, технологически грамотно организовать работу с объектом исследования, что дает возможность получить достоверныеа результаты и расширить представления об объекте в теоретическом и практическома плане.
Содержательно-процессуальное наполнение концепции апредставляет собой проекцию теоретических положений на практическую область деятельности педагога. В этом качестве выступают выделенные этапы самоуправления учебно-познавательной деятельности, разработанная модель СУПД, созданные практические элективные курсы, компьютерные программы и т.д. Данный раздел позволяет представить авторскую позицию по применению теоретических знаний об объекте, выявить сферу практической реализации и раскрыть технологию его использования для решения соответствующиха педагогических задач.а
Для внедрения концепции нами разработана и реализована модель системы асамоуправления учебно-познавательной деятельностью студента. Сложность выбранного объекта исследования обусловливает необходимость выделения в нем определенных систем и подсистем управляющего воздействия. Эффективность динамики самоуправления определяется условиями и характерома функционирования структурных компонентов, которые на основании выделенных критериев достигают различных уровней проявления.
Взаимодействие структурно-функциональных компонентова и их связей приводит к отражению в сознании студента его положенияа в процессе отношений и деятельности, которые реализуются: в педагогических задачах (диагностика, мотивация, целеполагание, программы деятельности,а стимулирование, выбор стратегии поведения, объективная деятельность, самосовершенствование, диагностика результатов, коррекция); в потребностях в физкультурном образовании (диагностикаа на этапе управления и самоуправления); в формировании физической культуры личности (освоение ценностей, осознанная мотивация здоровья); в организации занятий физической культурой (выбор оптимальной тренирующейа нагрузки, стратегии), в развитии навыка самоконтроля.
Цель задает содержание и форму деятельности. Она должна осознаваться студентами как перспективы познавательной и практической деятельности, что формирует положительную мотивацию учения, развивает познавательные интересы, умение ставить перед собой конкретные цели. Реализация модели системы самоуправления учебно-познавательной деятельностью студента представлена на рис.1.
В качестве основной движущей силы запуска программы самоуправления выступает осознанная потребность студента стать собойЦ реализовать, насколько возможно, собственное высшее Я в различных сфераха деятельности. Реализация собственного Я осуществляется ва процессе разрешения диалектических противоречий. Противоречия, которые запускают процесс самоуправления, обеспечивают включение студента в ситуацию выбора, принятия или отвержения физической культуры как формы социализации и индивидуализации. В самых общих чертах целью подготовки выступает хорошо интегрированная личность, способная к эффективному совмещению функций объекта и субъекта учебно-познавательной деятельности, обладающая рядом важных качеств, способностью к самоуправлению.
Самоуправление учебно-познавательной деятельностью представляется как алгоритм функционирования закономерно развертывающихся пооперационных предписаний,а выполнениеа которыха постепенно ведета к достижению определенного результата.
Теоретические и методологические подходы к конструированию системы самоуправления студентов позволили нам разработать модульно-проектную технологию самоуправления учебно-познавательной деятельностью студентов, которая включает формулирование дидактических целей (комплексной, интегрирующей и частной), определение содержания взаимосвязанных и взаимопроникающих блоков (теоретического, методического, практического, входящей и выходящей информации).
Структурирование блоков как укрупненных дидактических единиц осуществляется с учетом специфики образовательного пространства физической культуры и представлено как модуль информационных потоков, который рассматривается в рамках нашего исследования в физкультурно-оздоровительной (опытная группа А), профессиональной (группа Б) и физкультурно-спортивной (группа В) направленности.
Каждыйа блок представляет двухуровневую структуру и реализуется наа базовом и элективном уровнях. Он несет определенную смысловую нагрузку и может быть рассмотрен как некоторый дидактически законченный элемент.а Базовый уровеньа включает обязательныеа структурные единицы, элективный уровень - по выбору. На этом уровне студент самостоятельно или под руководством преподавателя (если требуется консультация) осуществляет выбор. В соответствии с уровнема подготовленности студента единицы могут интегрироваться по различным схемам.
Повышение эффективности разработанной модели обеспечивается соблюдением ряда определенных условий, к которым относятся: организационно-функциональные (диагностика, дифференцированная и индивидуальную помощь студентам в самопознании и самоопределении в физкультурно-спортивной деятельности); процессуально-содержательные (свободный выбор форм, видов и целей физкультурно-спортивной деятельности, поэтапное освоение физической культуры на основе индивидуальной формирующей или коррекционно-развивающей учебно-познавательной деятельности и психологической поддержки студентов); управленческие и информационные (программно-методическое обеспечение дифференцированной помощи студентам в овладении ценностями физической культуры, выделение критериев эффективности).
У студента самостоятельный переход от одного этапа к другому осуществляется при наличии следующих условий:а принятие учебной задачиа иа ее решение;а постановка аучебнойа задачиа иа определение аадекватных учебных действий; аадействия по реализации проекта здорового стиля жизни и действия самоконтроля и коррекции; овладение приемами логики и решения различных задач привычными способами; поиск асобственного наиболее оптимального пути решения нестандартных задач.
Этапы формирования самоуправления - диагностико-аналитический, мотивационно-целевой, познавательно-проектировочный, деятельностно-практический, результативно-оценочный и коррекционный отражаются в совмещении функций объекта и субъекта, иерархии структуры само-процессов, специфике учебно-познавательной деятельности студентов ва сфере физической культуры.
Оценка качественных и количественных изменений в самоуправлении познавательной деятельностью предполагает выявление критериев и показателей, характеризующиха влияние результатов воздействия (информационного, психологического, педагогического) и самовоздействия на состояние субъектов как меры решения поставленных задач.
Разработанная система критериев са учетом взаимосвязанныха и взаимозависимыха этапов формированияа СУПД а(перехода управления в самоуправление личности), позволяет оценить: умение осуществлять диагностику и самодиагностику,а проводить анализ, сравнивать собственные результаты; осознанно поставить иа достигать цели; проектировать индивидуальную программу здорового стиля жизни; определять доступность реализуемой программы, средств, методов и форм;а контролировать и оценивать свое физическое состояние и качество деятельности, представлять собственный проект здорового стиля жизни; производить коррекцию и самокоррекцию.
Для каждого критерия определены показатели, которые определяют количественную иа качественную характеристику конкретногоа вида деятельности. Степень выраженностиа критериев и показателейа на каждом этапе самоуправления является основанием для выделения уровней сформированности самоуправления учебно-познавательной деятельностью студентов в сфере физической культуры: недостаточный, критический, репродуктивный, продуктивный и креативный.
Такой подхода позволяет, с одной стороны, ориентировать содержание самоуправления на конечную цель - формирование самоуправления учебно-познавательной деятельностью астудента, направлять на поиск оптимальных средств, методов и форма обучения, в которыха был бы заинтересован сам обучающийся,а в том числеа использовать информационные технологии для овладения знаниями и умениями оценивать иа управлять своим физическим здоровьем. Са другой стороны -а анализировать процесс формирования самоуправления, установить связи, обосновать стратегию и тактику самоуправления учебно-познавательной деятельностью, осуществлять прогноз, определять тенденции совершенствования, перспективы дальнейшего развития и функционирования модели.а
В четвертой главе лИнформационные технологии в обеспечении самоуправления учебно-познавательной деятельностью студентов представлены разработанныеа структуры иа содержание различных автоматизированных информационных систем для самостоятельной работы по дисциплине Физическая культура с целью диагностики физических состояний, проектирования личностных программ здорового стиля жизни и формирования уменийа самоуправления.
Использование информационных технологий в сфере физической культуры основано на общенаучных подходах к организации учебного процесса -системного, личностно-деятельного, информационного. Также используются подходы индивидуально-дифференцированный и технологический, объектно-ориентированный, которые выступают как принципы организации учебно-познавательного процесса. Информационная технология может рассматриваться не только как процесс, но и как результат проектирования преподавателем (М. Я. Виленский, П. И. Образцов, А. И. Уман, 2004).
Разработанные намиа компьютерные программыа разных типов, объединенныеа по основной задаче,а мы рассматриваема кака автоматизированные системы. Совокупность автоматизированных систем иа методического инструментария образуют информационно-методический программный комплекс по дисциплине Физическая культура.
В этом плане были разработаныа различные виды функционально обособленных программ (информационных, справочных, диагностико-рекомендательных и пр.), которые могут использоваться самостоятельно. В обучающих программах осуществляется линейное представление учебного материала, т.е. обучение предлагается по заданному алгоритму. В программах тестирования аоцениваетсяа качествоа усвоенияа знанийа студентамиа и осуществляется контроль качества обучения. Это, по сути, выступает кака дидактический процесс, позволяющий на системной основе организовать оптимальное взаимодействие между преподавателем и обучающимися с целью достижения гарантированного педагогического результата. Таким образом, в процессе исследования нами:
- создан информационно-методический программный комплекс, включающий: методический инструментарий и пакет компьютерных программ для самостоятельной работы по дисциплине Физическая культура с целью диагностики здоровья, физических состояний и формирования умений самоуправления в выборе видов и форм физкультурно-спортивной деятельности;
- разработаны и внедрены проекты реализации алгоритма комплексной самодиагностики для оценки состояния здоровья студентов и автоматизированный компьютерный тест контроля уровня знаний для формирования у студентов способности к анализу, сравнению собственных результатов и получения объективной информации;
- представлен опыт по разработке и использованию автоматизированных система управления и коррекцииа проектова здорового стиляа жизни,а включающих комплексные автоматизированные системы оздоровительнойа тренировки студентова по различныма видам спорта, системама физических упражнений,а а также коррекционные программы при заболеваниях сердечно-сосудистой системы,а нарушенияха опорно-двигательного аппарата, коррекции веса,а формировании сексуального здоровья, аготовности к родам и восстановлению после родов и т.д.;аа
- определены основные функции информационной системыа Учебный процесса кафедры ОТ и ППФП - автоматизированный процесс накопления информации об объекте управления; динамическое оценивание степени усвоенияа знаний, физического состояния, профессиональной, специальной и технической подготовленности; статистическая обработка данных с различной степенью детализации в разных аспектах; формирование отчетных документов по разным формам контроля; многофакторный анализ информации; формирование многолетнего архива всей совокупности данных.
В пятой главе Результатыа развития системы самоуправленияа учебно-познавательной деятельностью студентов в сфере физической культуры представлен интегральный показатель уровня самоуправленияа учебно-познавательной деятельностью, включающий показатели самооценки способностей к самоуправлению, физического здоровья, теоретико-методической аи практической подготовленности.
В опытно-экспериментальном исследованииа принимали участиеа более 3000 студентов очного обучения шести факультетов трех курсов. Из них были выделены 223 студентки для создания опытных (А, Б, В) групп в рамках занятий физкультурно-оздоровительной, профессиональной, физкультурно-спортивной направленности и контрольной группы. Далее по тексту- студенты.
Совокупность позитивных сдвигов в показателях самооценки способности к самоуправлению, физического здоровья (адаптационный потенциал, биологический возраст, риск заболеваний сердца, оценка степени утомления), теоретической, методической, практической (физической, профессиональной, специально-технической),а подготовленности и соответствующих им уровней сформированности способствовали активному проявлению самоуправления студентов опытных групп в период экспериментальных исследований. Так, интегральный уровень самоуправления на начальном этапе оценивалсяа в опытныха группах А, Б, В соответственно в 2,65; 2,69 и 2,73 балла, а к концу эксперимента существенно выше - в 4,56; 4,07 и 3,81 балл. В контрольной группе он практически остается на том же уровне, что подтверждает эффективностьа предложеннойа концепцииа и реализации разработанныха намиа моделейа А, Б, В (табл.1).
Изменения в результатах самооценки способностей (всех самостей)а ка самоуправлению обеспечили мотивацию студентов на осознанноеа их развитие, особенно слабо развитых (саморегуляции, самоорганизации, самооценки и самоконтроля), средствами физической культуры с цельюа повышенияа уровня самоуправления. Освоение умений анализировать, сравнивать, объективно оценивать свои личностные качества и результаты своей деятельности; четко планировать свою жизнь иа свои дела как на день, неделю, месяц, так и на более длительную перспективу; выполнять свои функции с минимальным количеством ошибок; владеть способами сниженияа эмоционально-нервного напряжения в необходимых ситуациях привели к снижениюа количестваа студентова опытных групп А, Б, В са критического уровняа с 22, 14 и 13 человека доа отсутствияа и 1 человека. Увеличилось количество студентов, имеющих продуктивный и креативныйа уровни самоуправления соответственно до 46а иа 21 человека, а ав контрольной группе - только на продуктивном уровнеа - 5 человек.
Таблица 1
Сравнительная характеристика показателей уровня самоуправления
учебно-познавательной деятельностью студентов опытных
(А, Б, В) и контрольной (К) групп, кол-во баллов
Показатели |
Этапы исследования |
Группы а(М m) |
|||
Опытная А |
Опытная Б |
Опытная В |
Контрольная |
||
Самооценка способности к самоуправлению |
До |
2,87 а0,09 |
2,870,08 |
2,860,10 |
2,880,08 |
После |
4,31 0,06 |
3,590,09 |
3,300,07 |
2,92 0,08* |
|
Теоретико-методическая подготовленность |
До |
1,670,07 |
1,670,08 |
1,680,08 |
1,690,08 |
После |
4,940,03 |
4,740,06 |
4,160,07 |
3,100,07 |
|
Физическоеа здоровье |
До |
2,760,07 |
2,900,07 |
2,970,08 |
3,030,09 |
После |
4,720,02 |
4,130,04 |
3,910,05 |
2,670,08 |
|
Физическая подготовленность |
До |
1,860,09 |
1,870,11 |
1,910,11 |
1,880,11 |
После |
3,440,08 |
3,090,09 |
3,060,10 |
2,210,07 |
|
Профессионально-прикладная физичес- кая подготовленность |
До |
2,670,09 |
2,370,08 |
2,670,10 |
2,700,09 |
После |
4,500,03 |
4,090,05 |
3,850,06 |
2,640,08 |
|
Специальная физическая и техническая подготовленность |
До |
3,830,11 |
3,850,10 |
3,860,11 |
3,870,11 |
После |
4,870,02 |
4,710,05 |
4,540,07 |
3,84 0,07* |
|
Уровень cформированности к самоуправлению |
До |
2,650,19 |
2,690,20 |
2,730,19 |
2,740,22 |
После |
4,560,17 |
4,070,18 |
3,810,17 |
2,82 0,15* |
|
Примечание: вторая графа - достоверность изменений поа годам обучения;
*- после эксперимента различия неа достоверны по отношениюаа к исходному уровню;
** - после эксперимента различия неа достоверны по отношениюа к контрольной группе
Уровень теоретических знаний у студентов отмечена как очень низкий. Знания соответствовали лишь критическому уровню (до 59%)а и даже низкому. Студенты затруднялись в воспроизведенииа простейших понятий и определений, скептически относились к применению информационных технологий в сфере физической культуры, не желали получать сведения о себе, не пытались познать себя, управлять собой и своей деятельностью.
Результаты теоретико-методической подготовленности подтверждают эффективность перехода информации в знания и умения. Так практически большинство студентова опытных А, Б, Ва группа овладели метапознавательными, организационными и проектными умениямиа на высоком (креативном)а уровне -соответственноа 94, 74 и 20 процентов.а Результаты свидетельствуют о высокой эффективностиа условий, которые повышаюта педагогическое воздействие и переход их в самовоздействие,а а также использование активных методов обучения (анализ конкретных ситуаций,а метод проектов, компьютерные программы и др.), форм организации (лекции, методические занятия с использованием компьютерных программ,а индивидуальные формы - консультации и др.). Показатели студентов контрольнойа группы свидетельствуют о том, что эти умения у них не достигают высокого уровня сформированности.
Показатели уровня физического здоровья до начала эксперимента существенно неа отличаютсяа друг от друга в большинстве опытных и контрольной группа (P >0,05) и имеют низкие значения. К концу эксперимента в опытных группаха А, Б, В наблюдалась значительная положительная динамика показателей,а особенно в опытной группе А, которая занималасьа физическими упражнениями оздоровительной направленности, а ава контрольной (К) - ухудшается.
При этома показателиа оценкиа степени утомления уа студентов всех опытных групп ужеа в течение 1 года обучения достигают высоких результатов. На старших курсах показатели продолжают повышаться, но незначительно иа к концу обученияа наблюдается наибольший прирост во всех группаха А, Б, В (-59,3%,а -43,9%,а -42,2 % соответственно).а В свою очередь снижение утомленияа ка концу 3 курса способствует уменьшению показателей риска заболеванийа сердца соответственно во всех опытных группах А, Б, В (прирост составил - 53,5 %,а -44,0 %, -35,9 %). Меньший прироста результатов мы наблюдаем по показателяма индивидуального биологического возрастаа (до -43,3 %)а иа еще меньше - по показателям адаптационного потенциала (до -40,2 %). Но во всех аопытных группаха эти изменения достоверны а(Р <0,001). В первую очередь это свидетельствует о том, что студенты опытныха групп стали относиться к здоровью как к ценности.
О степени овладения умениями самодиагностики студентами опытных групп подтверждают данные об увеличении количества студентов,а у которых показателиа здоровья проявляются на высоком (креативном) уровне, и снижении их в контрольной группе. Так, абсолютно лучшие изменения от низкого к креативномуа уровню наблюдаема в группеа А (67 человек - все),а ота низкого к продуктивномуа - в группеа Б и В, соответственноа 33а и 30. Ва контрольной группе наблюдается ухудшение показателей физического здоровьяа на всех уровнях проявления, которые способствуют формированию у студентов умения управлять своей познавательной деятельностью с целью создания проектов здорового стиля жизни для формирования здоровья и его взаимосвязи с будущей специальностью.
Статистически достоверные изменения в показателях практической подготовленности позволили повысить уровень физической, профессиональной, специальной подготовленности, что также оказало положительное воздействие наа улучшение физического здоровья, повышение уровня овладения организационными и проектными умениями у студентов всех опытныха групп, особенно - группыа Аа (табл.1).
Позитивные сдвиги произошли в показателях развития физических качеств. На начальном этапе исследования уровень физической подготовленности студентов опытных и контрольной групп показал, что они имеют недостаточный (низкий) уровень во всех группах (от 1,86 до 1,91 балла), особенно в показателях скоростных способностей (от 1,25 до 1,57 балла) и способностей к выносливости (от 1,93до 2,04 балла). К концу эксперимента наибольшее количество студентов опытных группа А, Ба иа В достигло репродуктивного (соответственно 33, 29 и 29 человек)аа иа продуктивного (26, 16 и 9 человек) уровня физической подготовленности. Креативного уровня студенты достигли в основном в развитии силовых способностей.
Особенно к концу экспериментаа увеличилось количество студентов с креативным уровнема профессиональной иа специальной подготовленности в группеа А, что составилоа 41 и 63 человека (61 и 94 процентов),а в группах Б и В соответственно меньше - 5 и 46 человека (9 и 85 процентов), 2 и 33 человека (4 и 66 процентов). Однако, в опытной группе Б происходят более однородные изменения в показателях профессионально-прикладнойа физической подготовленности, что подтверждает низкий коэффициент вариации. Это свидетельствует об эффективностиа подбора специальных упражнений, методова и приемов с учетом характера познавательной деятельности.
Аналогичная тенденция наблюдалась по показателям специальной физической и технической подготовленности. Так, абсолютно лучшие изменения от низкого к высокомуа уровню наблюдаем в группе А (63 человека), в группеа Б и В, соответственноа 46а и 33 человек. Анализ интегрального показателя эффективности реализации программ специальной физической и технической подготовки студентов опытныха групп по курсам выявил положительную динамику по всем предложенным видам двигательной активности. Абсолютно лучшие изменения установлены, особенно в таких видах двигательной активности, как Фитнес-Грация, Танцевальная аэробика, Коррекционная гимнастика. Наблюдалось выраженное улучшение владения техникой выполнения двигательных действий,а инструкторской, судейской практикой и т. д.
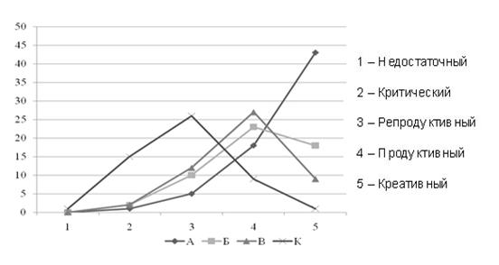
Сравнительный анализ изменения интегрального уровняа самоуправления учебно-познавательной деятельностью у студентов в сфере физической культуры по группам показал, что в начале эксперимента он достаточно низкий (рис. 2).
Рис. 2. Интегральные уровни самоуправления аучебно-познавательной
деятельностьюа студентов опытных и контрольной групп на начальном этапе
К концу эксперимента установлено, что наибольшее увеличение количества студентов выявлено с креативным уровнем сформированности в опытных группе А (с 13 человек в начале экспериментаа и до 43 - в конце), ва группе Б (с 7 до 18 человек), в группе В (с 5 до 9 человек). Следует заметить, что число студентов с недостаточным уровнема по окончанию эксперимента не выявлено. В контрольной группе наблюдается ухудшение показателей (рис.3).
тывать познавательный и физический успех.
Рис. 3. Интегральныеа уровни самоуправленияа учебно-познавательной
деятельностьюа студентов опытных и контрольной групп к концу эксперимента
Таким образом, студент, который обладает высокой работоспособностью, умеет четко определять цели, создавать индивидуальныеа проекты здорового стиля жизни, реализовать, контролировать и корректировать их,а становится конкурентоспособным специалистом.
Положительные изменения в целом стали возможными в результате возросшего умения студентов управлять своими познавательными действиями, состояниями и собой, в результате чегоа повышаетсяа уровень проявления Я-концепции:а сильные утверждаются в своих способностях, а слабые получают возможность испытывать познавательный и физический успех.
Управляя информацией и превращая ее в знания, используя разнообразные физические упражнения, студенты улучшают свое физическое состояние и подготовленность, физически совершенствуются. Физическое совершенство отражает такую степень физических возможностей, ее пластической свободы, которые позволяют личности наиболее полно реализовывать свои сущностные силы, успешно принимать участие в необходимых обществу и желательных для нее видах социально-трудовой деятельности, усиливают ее адаптивные возможности и рост на этой основе социальной отдачи. Степень физического совершенства создает прочную основу дальнейшего развития, открываета свободу новым качественным изменениям и создает условия для перевода личности в иное, более совершенное качество. Этим и обеспечивается апереход управления в самоуправление.
ВЫВОДЫа
Теоретико-методологический анализ по проблеме исследования и опытно-экспериментальнаяа работа подтвердили выдвинутую гипотезу и позволили сделатьа следующиеа выводы:
1.В соответствии с переходома отечественной образовательной системы на новый уровень развития важным становятся способы включения студента в процесс управления своей учебно-познавательной деятельностью и самим собой, своим здоровьем, в органичном единстве с освоением предметной и организационной стороной учения. Проведенные ранее исследования не рассматривали в достаточной степени проблему самоуправления учебно-познавательной деятельностью студентов с использованием средств физической культуры и возможностей модульно-проектных технологий.
2. В процессе исследования установлено, что физическая культура играета существенную роль в повышении эффективности познавательной деятельности студента и формировании у него умений и навыков самоуправления этой деятельностью, проявляющихся в аустойчивых и существенных, общих и повторяющихсяа связях между: сформированностью самоуправления учебно-познавательной деятельностью студентов иа физической культуры личности; становлением конкурентоспособного специалиста, овладевшего знаниями и умениямиа по формированиюа личностного здоровья как ценности, познанием себя, управлением собой и образовательной системойа по дисциплине Физическая культура.
3. К принципам самоуправления учебно-познавательной деятельностью студента относятся общие социально-педагогические принципы: оздоровительной направленности,а связи физического воспитания и будущей профессиональной деятельности,а единства свойств личности, ее деятельности и физической культуры; специфические методические принципы: индивидуализации и дифференциации, синергизма и природосообразности (аутентичности), саморазвития, генерализации информации, развития мышления, языка и коммуникаций, перехода педагогического управления в самоуправление личности.
4. В соответствииа с выявленными закономерностями иа принципами определены основы педагогической концепции системы самоуправленияа учебно-познавательной деятельностью студента. Ее сущность заключается не только в воздействии на биологическую основу личности, но и на ее биосоциальную целостность: совершенствование социальных,а духовных,а индивидуальных и телесных качеств студентов. Физическая культура является механизмом формирования самоуправления учебно-познавательной деятельностью студентов, который анаправленен наа оптимальноеа развитие физических возможностей личности, поступательное развитие ее мыслей, чувств, интересов, потребностей, убеждений.а
5. Реализация концепции в модели системы самоуправления учебно-познавательной деятельностью студентов в сфере физической культуры осуществлялась через систему компонентов, включающую структуру, алгоритм функционирования, условия,а критерииа иа уровни сформированности самоуправления.
6. Разработанный алгоритм функционирования самоуправления учебно-познавательной деятельностью студентов, включающий шесть взаимосвязанных этапов, позволяет в процессе учебных занятий осуществлять поэтапный переход управления в самоуправление. Каждый этап в процессеа самоуправления имеет определенную цель и основную функцию.
7. Модульно-проектная технология модели включала формулирование дидактических целей, определение содержания взаимосвязанных и взаимопроникающих блоков (теоретического, методического, практического),а входящей и выходящей информации с выделениема базовогоа и элективногоа уровней усвоения. Структурирование блоков, как укрупненных дидактических единиц, осуществляется с учетом специфики образовательного пространства физической культуры и представлено как модуль информационных потоков.
8. Процесс самоуправления учебно-познавательной деятельностью студентов осуществлялся при соблюдении ряда условий, активизирующих самостоятельную работуа по дисциплине Физическая культура.
Эффективным условием самостоятельного обучения в процессе физического воспитания явился информационно-методический программный комплекс по дисциплине Физическая культура, состоящий иза методического инструментария и пакета компьютерных программ разных типов, иа который способствует овладению аумениями самодиагностики,а прогнозирования, проектирования и конструирования индивидуального стиля жизни и его самокоррекции.
9. Разработанные авторские компьютерные программы создают условия для повышения мотивации к систематическим занятиям физкультурно-спортивной деятельностью, позволяют интенсифицировать самостоятельную работу студента по разработке индивидуальныха проектов здорового стиля жизни,а тем самыма переводя самоуправление в сфере физической культуры и в будущей профессиональной деятельности на качественно новыйа уровень развития.
10. Выделена система критериев самоуправления: умение осуществлять диагностикуа иа самодиагностику, анализ, сравнениеа полученных результатов;а осознанная постановка и достижение цели; проектирование индивидуальной программы здорового стиля жизни; доступность реализуемойа программы, средств, методов и форм, рациональностьа в их использовании; аконтроль и самоконтроль за физическим состоянием,а самооценкаа качестваа своейа деятельности, презентацияа проектов здорового стиля жизни; кореккция и самоккорекция, видение рассогласования между результатом и конечной целью.
Для каждого критерия установлены показатели, которые определяют количественную и качественную характеристику конкретного вида деятельности, а также уровни проявления сформированности самоуправления - недостаточный, критический, репродуктивный, продуктивный и креативный.
11. В результате проведения опытно-экспериментального исследования доказана эффективность применения модели системы асамоуправления учебно-познавательной деятельностью физкультурно-оздоровительной, профессиональной и физкультурно-спортивной направленности, заключающаяся не только в повышении уровня самооценки способности к самоуправлению, физического здоровья, теоретической,а методической, практической (физической, профессиональной, специально-технической)а подготовленности (от 15,4 %а доа 195,8 %) , но и высоком интегральном уровнеа сформированности у студентов опытныха групп самоуправления учебно-познавательной деятельностью в сфере физической культуры.а
12. Поэтапный переход управления в самоуправление эффективно реализуется в модульно-проектном обучении на основе индивидуально-дифференцированного подхода с использованиема информационных технологий, позволяет обеспечить увеличение количества студентов с креативныма уровнема сформированности в аопытной группе А (с 19 процентов в начале экспериментаа и до 64 - в конце), ва группе Б (с 13 до 33 процента), в группе В (с 10 до 18 процентов).
В соответствии с полученнымиа даннымиа следует выделить категорию самоуправление как интегральное качество личности, условие и предпосылка эффективной учебно-познавательной деятельности и профессиональной деятельности будущего специалиста, как результат самосовершенствования личности.
Список основных работ, опубликованных по теме диссертации
Монографии:
- Ямалетдинова Г. А. Самоуправление учебно-познавательной деятельностью студентов в сфере физической культуры: монография / Г. А. Ямалетдинова, под. ред. Л. А. Рапопорта. - Екатеринбург: Гуманитарный университет, 2008. - 136 с.а (7,9 п. л).
- Ямалетдиноваа Г. А. Пути реализации государственного образовательногоа стандарта по дисциплине Физическая культура в Вузаха г. Екатеринбурга: научная монография / Г. А. Ямалетдинова // Физическое воспитаниеа и спортивное совершенствование студентов. Современные инновационныеа технологии: материалы междунар. науч. симпозиума, под ред. Р. Т. Раевского. - Одесса: Наука и техника, 2008. - С.83-87. (35 п. л., авторский вклад 0,6 п. л).
- Ямалетдинова Г. А. Структура и содержание автоматизированной информационной системы управления организацией учебного процесса кафедры физического воспитания: научная монография / Г. А. Ямалетдинова // Физическое воспитание и спортивное совершенствование студентов. Современные инновационные технологии: тр. междунар. науч. симпозиума, под ред. Р. Т. Раевского. - Одесса: Наука и техника, 2008. - С.144-145. (35 п. л., авторский вклад - 0,3 п. л).
- Ямалетдинова Г. А. Формирование самоуправления учебно-познавательнойа деятельностью студентов в сфере физической культуры: научная монография / Г. А. Ямалетдинова // Физическое воспитание и спортивное совершенствование студентов. Современные инновационные технологии: материалы междунар. науч. симпозиума, под ред.а Р. Т. Раевского.- Одесса: Наука и техника, 2008. - С.146-149. (35 п. л., авторский вклад - 0,4 п. л).
- Ямалетдинова Г. А. Учебно-познавательная деятельность студентов в сфере физической культуры как педагогическаяа проблема: научная монография / Г. А. Ямалетдинова // Физическая культура, спорт и туризм. Интеграционные процессы науки и практики: материалы III междунар. науч.-практ. конф., под ред. В. С. Макеевой. - Орел: Орел ГТУ, 2009. - С. 54-64. (30 п.л., авторский вклад - 0,7 п. л).
Статьи в изданиях,а рекомендованныха ВАКа РФ для публикации
основныха результатов диссертационныха исследований:
- Раевский Р. Т. Профессионально-прикладная физическая подготовка следователей органов внутренних дел / Р. Т. Раевский,а Г. А. Ямалетдиноваа // Теория и практика физической культуры.-1994. - № 3-4. -С. 25-27. (0,4 п.л., авторский вклад - 0,2 п. л).
- Ямалетдинова Г. А. Перспективы информационных технологий в оздоровительной физической культуре студентов / Г. А. Ямалетдинова, Л. А.а Рапопорт // Вестник УГТУ-УПИ. Серия Образование и воспитание. Экономика и управление физической культурой и спорта. Современные проблемы развития физической культуры в образовательном учреждении: сб. науч. тр., под ред.а И. В. Брызгалова, Л. А. Рапопорта. -а Екатеринбург: ГОУ ВПО УГТУ-УПИ, 2004. Вып. 3. - № 9 (39). - С. 270-273. (0,3 п. л., авторский вклад - 0,2 п. л).
- Ямалетдинова Г. А. Подходы к построению автоматизированной информационной системы Учебный процесс кафедры ОТ и ППФП / Г. А. Ямалетдинова, С. А. Пьянзин // Теория и практика физической культуры. - 2005. - № 12. - С. 16-19. (0,6 п. л., авторский вклад - 0,5 п. л).
- Ямалетдинова Г. А. Модульная технология построения в спецкурсе повышения квалификации тренеров оздоровительных центров / Г. А. Ямалетдинова // Вестник УГТУ-УПИ. Серия Образование и воспитание. Экономикаа иа управление физической культуры и спорта Современные проблемы развития физической культуры и спорта: сб. науч. тр., под ред. И. В. Брызгалова,а Л. А. Рапопорта. - Екатеринбург: ГОУ ВПО УГТУ-УПИ, 2005. - № 16 (68). Вып. 5.а Т.1. -а С. 395-399. (0,4 п. л.).
- Ямалетдинова Г. А. Технология самоуправления познавательной деятельностьюа / Г. А. Ямалетдинова // Профессиональное образование. Столица. -а 2009. - № 3. - С. 15-16. (0,3а п. л).аа
- аЯмалетдинова Г. А. Опыт реализации дисциплины Физическая культура в вузах г. Екатеринбурга / Г. А. Ямалетдинова, Л. А. Рапопорт а// Образование и наука. Известия Уральского отделенияа Российскойа Академии образования. - 2009. - № 4 (61). - С. 139-144. (0,6 п. л., авторский вклад- 0,5 п. л).
- аЯмалетдинова Г. А. Специфика функционирования самоуправления учебно-познавательной деятельностью студентов в сфере физическойа культурыа / Г. А. Ямалетдинова // Образование и общество. Научный, информационно-аналитическийа журнал. -а 2009. -а №а 3 (56). Май - июнь. -а С. 31- 36. (0,9 п. л).
- Ямалетдинова Г. А. Модульное обучение как средство самоуправленияа в сфере физической культуры / Г. А. Ямалетдиноваа // Высшее образование в России. - 2009. - № 7. - С. 173-177.а (0,4 п. л).
Научные труды:
- аРаевский Р. Т. Тренажеры для массового физического совершенствования / Р. Т. Раевский, Г. А. Ямалетдинова // Биомеханика на защите жизни и здоровья человека: тез. докл. I Всерос. конф.-ярмарка. - Нижний Новгород, 1992. - Т. 2. -а С. 210-211. (0,1 п. л., авторский вклад- 0,05 п. л).
- аРаевский Р. Т. Программно-аппаратный комплекс для диагностики физического состояния и разработки индивидуальных режимов рациональной двигательной деятельности / Р. Т. Раевский, О. Г. Калиберда,а Г. А. Ямалетдинова // Биомеханика на защите жизни и здоровья человека: тез. докл. I Всерос. конф.-ярмарка. - Нижний Новгород, 1992. - Т. 2. - С. 212-213. (0,1 п. л., авторский вклад- 0,04 п. л).
- Раевский Р. Т. Олимпийское движение и компьютеризация: проблемы и перспективыа / Р. Т. Раевский,а Г. А. Ямалетдинова: тез. докл. Ш. Всерос. науч.конф. - Санкт-Петербург, 1992. - С.67-68. (0,1 п. л., авторский вклад- 0,05 п. л).
- аРаевский Р. Т. Спорт и человеческий фактор современного обществаа / Р. Т. Раевский, Г. А. Ямалетдинова: тез. докл. Ш Всерос. науч. конф. - Санкт-Петербург, 1992. - С.73-75. (0,2 п. л., авторский вклад- 0,1 п. л).
- аЯмалетдинова Г. А. Физическая и профессиональная культура инженера: концепцуальный анализ путей решения проблемы / Г. А. Ямалетдинова // Проблемы профессионально-прикладной физической подготовки студентов в вузе: тез. докл. Междунар. науч. конф. -а Минск, 1993. - С. 51-52. (0,1 п. л.).
- аЯмалетдинова Г. А. Организация физической культуры студентов старших курсов по рейтинговой системе / Г. А. Ямалетдинова // Проблемы физического воспитания в высших учебных заведениях: сб. тр.- Екатеринбург: УГТУ-УПИ, 1994. - С. 58-59. (0,1 п. л.).аа
- аЯмалетдинова Г. А.а Определение рейтинга обучения студентов физической культуре / Г. А. Ямалетдинова // Проблемыа физического воспитания в высших учебных заведениях: сб. тр. - Екатеринбург: УГТУ-УПИ, 1994. - С. 59-60. (0,1 п. л.).
- аРаевский Р. Т. Современная технология ППФП студентов в вузе / Р. Т. Раевский,аа аГ. А. Ямалетдинова // Проблемы профессионально-прикладной физической подготовки студентов в вузе: тез. докл. Междунар.науч.-метод. конф.- Минск: БГЭУ, 1994. Ч.1. - С. 28-29.(0,1 п. л., авторский вклад -0,05 п. л).
- аЯмалетдинова Г. А. Методические основы ППФП студентов следственных факультетова / Г. А. Ямалетдинова // Проблемы профессионально-прикладной физическойа подготовки студентов в вузе: тез. докл. Междунар. науч.-метод. конф. - Минск: БГЭУ, 1994. - Ч.2. -а С. 67-69. (0,3 п. л.).
- аЯмалетдиноваа Г. А.а Система профессионально-прикладной физической подготовки в юридической академииа / Г. А. Ямалетдинова // Проблемы профессионально-прикладнойа физическойа подготовки студентов в вузе: тез. докл. Междунар. науч.-метод. конф.- Минск: БГЭУ, 1994. - Ч.2. -а С. 69-71. (0,3 п. л.).
- аЯмалетдинова Г. А.а Новые формыа организации физического воспитания студентов специального отделения / Г. А. Ямалетдинова // Организация и методика учебного процесса, физкультурно-оздоровительнойа и спортивной работы: тез. докл. Ш межунивер. науч.-метод. конф. (20-24 июня 1994 г.). - Йошкар-Ола: Марйский ГУ, 1994. -а С. 78. (0,1 п. л.).
- аЯмалетдинова Г. А. Оптимизация физического воспитания молодежи с помощью компьютерной технологии / Г. А. Ямалетдинова // Молодежь на порогеа третьего тысячелетия: поиск приоритетов: материалы междунар. науч.-практ. конф. - Одесса: ОПИ, 1995. -а С. 67-68. (0,2 п. л.).аа а
- аЯмалетдинова Г.а А.а Элективное обучение студентов физической культуре / Г. А. Ямалетдинова: материалы юбилейной науч.-практ. конф. - Екатеринбург: УГТУ-УПИ, 1995. - С.24-25. (0,1 п. л.).а аа
- аЯмалетдинова Г. А.а Новая форма обучения студентов Гуманитарного университета физической культуреа / Г. А. Ямалетдинова // Организация и методика учебного процесса, физкультурно-оздоровительнойа и спортивной работы: тез. докл. 1V Межунивер. науч.-метод. конф. - Краснодар,а 1996. - С. 12-13. (0,1 п. л.).
- аЯмалетдинова Г. А. Комплексный контроль соматического здоровья студенческой молодежи с помощью компьютерныха технологийа / Г. А. Ямалетдинова // Организация и методика учебного процесса, физкультурно-оздоровительнойа и спортивной работы: тез. докл. 1V Межунивер. науч.-метод. конф. - Краснодар,а 1996. - С. 212-213. (0,2 п. л.).
- Раевский Р. Т. Формирование физической культуры у студенческой молодежи с помощью компьютерных технологийа / Р. Т. Раевский, Г. А. Ямалетдинова // Современное состояние и перспективы развития гуманитарных наук (социология, социальная психология, менеджмент):а сб.ст. -а Одесса: ОПИ, 1997. - Ч. 2.а - С. 11-13. (0,2 п. л., авторский вклад -0,1 п. л.). а
- аЯмалетдинова Г. А. К проблеме оптимизации гуманизации учебного процесса по физической культуре студентов / Г. А. Ямалетдинова // Вестника УГТУ-УПИ. Валеологическиеа аспекты физкультурного образования студентов. -а Екатеринбург: УГТУ, 1997. -а С. 32-33. (0,2 п. л.).
- аЯмалетдинова Г. А. Состояние здоровья и психофизические кондиции студентов Гуманитарного университета и пути их улучшения / Г. А. Ямалетдинова //Фiзична пiдготовленiсть и здоров'я населення: Зб. мат. Мiжнар. наук. Симпозiуму /Загальний уклад. i наук. ред. Р. Т. Раевський. - Одеса: ТЕС, 1998. - С. 73-74. (0,2 п. л.).
- аЯмалетдинова Г. А. Формирование валеологической культуры студентов на личностном уровнеа / Г. А. Ямалетдинова //Фiзична пiдготовленiсть и здоров'я населення: Зб. мат. Мiжнар. наук. Симпозiуму /Загальний уклад. i наук. ред. Р. Т. Раевський. -а Одеса: ТЕС,а 1998. -а С. 170-171. (0,2 п. л.).
- аЯмалетдинова Г. А.а Повышение уровня валеологического образования с помощью компьютерных технологийа / Г. А. Ямалетдинова // Тестовые технологии и педагогические тесты в общем и профессиональном образовании: тез. докл. 1 обл. науч.-практ.конф. -а Екатеринбург: Изд-во ИРРО,а 1998. - С.38-39. (0,1 п. л.).
- аЯмалетдинова Г. А. Технология изучения методического раздела по физической культуре с использованием ПЭВМа / Г. А. Ямалетдинова //Организация и методика учебного процесса, физкультурно-оздоровительнойа и спортивной работы: тез. докл. V межунивер. науч.-метод. конф. - Ростов н /Д, 1998. - С. 35-37. (0,2 п. л.).
- аЯмалетдинова Г. А. Дидактический текст как объективный метод оценки знаний студентов по фи зической культуреа / Г. А. Ямалетдинова // Проблемы повышения роли физического воспитания в высших учебныха заведениях: тез. докл. науч.-прак. конф. - Екатеринбург: УГТУ, 1998. -а С.57-58. (0,1а п. л.).аа
- аЯмалетдинова Г. А.а Формирование валеологической культуры в высшей школе / Г. А. Ямалетдинова // Проблемы повышения роли физического воспитания в Вузах: тез. докл. науч.-прак. конф. - Екатеринбург: УГТУ, 1998.- С.55-57. (0,2 п. л.).аа
- аЯмалетдинова Г. А. Интегральная технология обучения физической культуре в высшей школеа / Г. А. Ямалетдинова // Организация и методика учебного процесса, физкультурно-оздоровительнойа и спортивной работы: материалы междунар. конф. -а М.: Изд-воа Московскогоа университета, 2000. - Ч. 1. -а С. 85-86. (0,1 п. л.).
- аЯмалетдиноваа Г. А. Генезис валеологической культуры в высшей школеаа /а Г. А. Ямалетдинова,а А. Г. Костюнина // Ценности и социальныеа технологии демократического общества XXI века как цельа высшегоа гуманитарногоа образования: тез. докл. науч. конф. -а Екатеринбург: ГУ, 2000. - Т.2а С. 139-143. (0,4 п. л., авторский вклад- 0,35 п. л).
- Ямалетдинова Г. А. Образовательная технология формирования физической культуры личности студентаа / Г. А. Ямалетдинова // Молодь та суспiльство: проблеми фiзичноi культури молодi в перiод оновлення суспiльства: Зб. Наук. Ст. та мат. Всеук. наук. конф., загальний уклад. i наук. ред. Р. Т. Раевський. -а Одеса: Техносервic,а 2001. - Т.3. - С. 30-34. (0,4 п. л.).а
- аЯмалетдинова Г. А. Компьютерная технология Вводный курс атлетической гимнастики как фактор оздоровленияа / Г. А. Ямалетдинова,а Е. П. Пьянзина // Организация и методика учебного процесса, фикультурно-оздоровительной и спортивной работы: материалы междунар. конф. - Ростов н/Д:а Изд-во МГУ, 2002. - Ч.1. - С. 106-107. (0,1 п. л., авторский вклад- 0,08 п. л).
- аЯмалетдинова Г. А. Диагностика и коррекция индивидуального здоровья студента с использованием компьютерных технологий / Г. А. Ямалетдинова //Личность студента в образовательно-развивающем пространстве физической культуры: тез. докл. Всерос. науч.-прак. конф. - Москва, 2003. - Ч.2. - С.321-325. (0,4 п.л.).
- аЯмалетдинова Г. А. Самоуправление познавательной деятельностью студентов с целью оздоровления / Г. А. Ямалетдинова //Актуальные вопросы физической культуры и спорта студентов: материалыа II междунар. науч.- прак.а семинара 22-24 апреля 2004 г., под ред. В. С. Макеевой - Орел: ОреГТУ, 2004. - С. 119-125. (0,6 п. л.).а
- аЯмалетдинова Г. А. К проблеме создания комплекса информационно-меточеского обеспечения по оздоровительной физической культуре / Г. А. Ямалетдинова // Организация и методика учебного процесса, физкультурно-оздоровительной и спортивной работы: материалы междунар. конф.- М.: Изд-во УРАО, 2004.Ч.1.-С. 56-57. (0,1 п. л.).
- аЯмалетдинова Г. А. Управление организацией учебного процесса кафедры физического воспитанияа помощью автоматизированной системы культуре / Г. А. Ямалетдинова // Физическая культура, спорт и туризм. Интеграционные процессы науки и практики: материалыа Ш междунар.а науч.-прак. семинара 19-20 апреля 2005г., под ред. В. С. Макеевой - Орел: Орел ГТУ, 2005. - С. 95-100. (0,6 п. л.).
- аЯмалетдинова Г. А. Создание автоматизированной информационной системы Учебный процесс кафедры ОТ и ППФП / Г. А. Ямалетдинова, С.А. Пьянзин // Между прошлым и будущим: социальные отношения, ценности и институты в изменяющейся России: материалы междунар. науч. - прак. конф. - Екатеринбург: Гуманитарный университет Фонд Фридриха Наумана, 2005. - Т. 1. С. 337-339. (0,3 п. л., авторский вклад -а 0,2 п. л).
- аЯмалетдинова Г. А. Решение проблемы создания автоматизированной информационной системы управления организациейа учебного процесса кафедры ОТ и ППФПа / Г. А. Ямалетдинова // Здоровье, физическое развитие и образование: состояние проблемы и перспективы: тез. докл. 1-й регион. науч.-практ. конф. Екатеринбург, 19-21 октября 2005 г. - Екатеринбург: РГППУ, 2005. -а С.78-80. (0,2 п. л.).
- Ямалетдинова Г. А.а Результаты внедрения информационных технологий по физической культуре в образовательный процесс вузаа / Г. А. Ямалетдинова // Физическая культура, спорт и туризм. Интеграционные процессы науки и практики: материалы междунар. науч.-прак. конф. 21-23 апреля 2006 г. , под ред. В. С. Макеевой - Орел: Орел ГТУ, 2006. - С. 127-130. (0,4 п. л.).
- аЯмалетдинова Г. А. Пути и подходы к построению автоматизированной информационной системы управления организацией учебного процесса кафедры физического воспитания / Г. А. Ямалетдинова, С. А. Пьянзин // Организация и методика учебного процесса, физкультурно-оздоровительной и спортивной работы: материалы междунар. конф.- М.: Изд-во МГУ, 2006. -Ч. 1. С.18-21.(0,3 п. л., авторский вклад-0,2 п. л).
- аЯмалетдинова Г. А. Балльно-рейтинговая система оценки как фактор самоуправления познавательной деятельностью студентов / Г. А. Ямалетдинова,а С. А. Марчук, аТ.М. Лебедихина // Физическая культура, спорт и туризм. Интеграционные процессы науки и практики: материалы II междунар. науч.-прак.а конф. 17-18 апреля 2007 г., под ред. В. С. Макеевой. - Орел ГТУ, 2007. - С. 150-152. (0,3 п. л., авторский вклад-0,25 п. л).
- аМарчук Ю. В. Самоуправление здоровьема как один иза определяющих факторов успешной профессиональнойа деятельности будущего специалиста / Ю. В. Марчук,а С. А. Марчук, Г. А. аЯмалетдинова // Здоровье, физическое развитие и образование: состояние проблемы и перспективы: тез. докл. Всерос. науч.-практ. конф., Екатеринбург, 9-10 ноября 2007 г.а - Екатеринбург: ГОУ ВПО л РГППУ, 2007. -а С. 440- 445. (0,4 п. л., авторский вклад- 0,3 п. л).
- аЯмалетдинова Г. А. Организационно-функциональнаяа модель самоуправления учебно-познавательной деятельностью студентова в процессе физического воспитания / Г. А. Ямалетдинова //Здоровье, физическое развитие и образование: состояние проблемы и перспективы: тез. докл. Всерос. науч.-практ. конф., Екатеринбург, 9-10 ноября 2007 г. -а Екатеринбург: ГОУ ВПО РГППУ, 2007. - С.90-100. (0,8 п. л.).а аа
- аЯмалетдинова Г. А. Теоретико-методологичесие основы формирования учебно-познавательнойа деятельностью студентов в процессе физическогоа воспитанияа / Г. А. Ямалетдинова // Современныйа Олимпийский и Паралимпийский спорт и спорт для всех: материалы XXII международного научного конгресса, 26-28 мая. - Москва. М.: Изд-во Физическая культура, 2008. - Т.3. - 290 с. (С.168-169) . (0,1 п. л.).а
- Ямалетдинова Г. А. Модульно-проективнаяа технология формирования самоуправленияа учебно-познавательнойа деятельностью студента в процессе физического воспитания / Г. А. Ямалетдинова // X Межунивер. научн-метод. конф. Организация и методика учебного процесса, физкультурно-оздоровительной и спортивной работы: материалы междунар. конф. - М.: Изд-во МГУ, 2008. - С.58-59. (0,1 п. л.).аа а
- Ямалетдинова Г. А. Самоуправление учебно-познавательной деятельностью студентов с использованиема балльно-рейтинговой системы / Г. А. Ямалетдинова, С. А. Пьянзин // X Межунивер. научн-метод. онф. Организация и методика учебного процесса, физкультурно-оздоровительной и спортивной работы: материалыа междунар. конф. - М.: Изд-во МГУ, 2008. С.62-63. (0,2 п. л., авторский вклад - 0,15 п. л).аа
- Ямалетдинова Г. А. Концептуальныеа основыа формированияа системы самоуправленияа учебно-познавательнойа деятельностьюа студентова по физической культуре /а аГ. А. Ямалетдинова // Инновационные преобразования в сфере физической культуры, спорта и туризма: тр.XIа Междунар. науч.-практ. конф. пода ред. Ю. И. Евсеева. Т. 1. - Ростов на/Д - п. Новомихайловский, 2008. - С.217-221. (0,4 п.л.).
- Ямалетдиноваа Г. А. Проблемы ареализации Государственногоа образовательногоа стандарта по дисциплине Физическая культура в вузах г. Екатеринбурга / Г. А. Ямалетдинова // Здоровье детей и подростков. Формирование культуры здоровья и здорового стиля жизни у подростающегоа поколения: тез. докл. Всерос. науч.-метод. конф. - Челябинск, 2008 - С. 56-61. (0,4 п.л.).
- Ямалетдиноваа Г. А. Системаа критериев иа показателей,а характеризующих уровень самоуправления учебно-познавательнойа деятельностью студентов / Г.А. Ямалетдинова // Автономия и личность. - 2009. - № 1. - С. 25-31. (0,6 п.л.).аа
- ааЯмалетдинова Г.А. Модульно-проективная технологияа как средство самоуправления познавательной деятельностью / Г. А. Ямалетдиноваа // Современный Олимпийский спорт и спорт для всех: материалы XIIIа Междунар.а науч. конгресса (7-10 октября 2009 г.). -а Алматы-Казахстан. - Т.1. - 2009. - С.659-662.а а(0,3 п. л
- Ямалетдинова Г. А. Самоуправление студентов ва учебно-познавательной деятельности с в сфере физической культуры / Г. А. Ямалетдиноваа // Образование и саморазвитие. - 2009. - №а 5 (15). - С. 48-53.а (0,6 п. л).
Компьютерные программы (Свидетельство об официальной регистрации
апрограммы для ЭВМ № 2007614074 от 24.09.07):
- Ямалетдинова Г. А. Вводный курс атлетической гимнастики [Электронный ресурс] а/ Г. А. Ямалетдинова, Р. Т. Раевский, Е. П. Пьянзина. 17,1 Мб.
- Раевский Р. Т. Корригирующий тренинг [Электронный ресурс] / Р. Т.Раевский,а Г. А. Ямалетдинова, Е. П. Пьянзина. 14,2 Мб.
- Ямалетдинова Г. А. Физическое здоровье [Электронный ресурс]а / Г. А. Ямалетдинова,а Е. П. Пьянзина. 3,1 Мб.
- Ямалетдинова Г. А. Расчет калорийности питания [Электронный ресурс] / Г. А. Ямалетдинова, Е. П. Пьянзина. 4,3 Мб.
- Ямалетдинова Г. А. Компьютерная программа определенияа уровняа физического состояния по Пробе Руфье [Электронный ресурс] / Г.А. Ямалетдинова, Е. П. Пьянзина. 2,4. Мб.а
- Ямалетдинова Г. А. Автоматизированная система для контроля знаний [Электронный ресурс] / Г. А. Ямалетдинова,а Е. П. Пьянзина. 5,6а Мб.а
- Ямалетдинова Г.А. Индивидуальный риск сердечно-сосудистых заболеваний [Электронный ресурс] /Г. А. Ямалетдинова,а Е. П. Пьянзина. 3,0а Мб. а
- аЯмалетдинова Г.А. Комплексные технологии дляа повышения работоспособности [Электронный ресурс] / Г. А. Ямалетдинова,а Е. П. Пьянзина. 10,4а Мб.
- Ямалетдинова Г.А. Снижение факторов риска сердечно-сосудистых заболеваний [Электронный ресурс] / Г. А. Ямалетдинова, Е. П. Пьянзина.а 7,7 Мб.
- Ямалетдинова Г. А. Нормализация повышенного давления [Электронный ресурс] / Г. А. Ямалетдинова,а Е. П. Пьянзина. 13,4 Мб.
- Ямалетдинова, Г. А. Снижение избыточной массы тела [Электронный ресурс]а / Г. А. Ямалетдинова, аЕ. П. Пьянзина. 12,5 Мб.
- Ямалетдинова Г. А. Автоматизированная информационная система Учебный процесс кафедры оздоровительной тренировки и профессионально-прикладной физической подготовки[Электронный ресурс] / Г. А. Ямалетдинова, С.А. Пьянзин. 22 Мб.
Учебно-методические атруды:
- аРаевский аР. Т. Основы оздоровительной тренировки: метод. реком. для студентов спец. отд. / Р. Т. Раевский,а Г.А. Ямалетдинова. - Екатеринбург: Изд-во УрГЮА, 1993. - 51 с. (3,1 п.л.,а авторский вклад 1,5 п.л).
- Раевский Р. Т. Оздоровительная тренировка при болезнях позвоночника и суставах: метод. реком. для студентов спец. отд./ Р. Т.а Раевский,а Г. А. Ямалетдинова. -а Екатеринбург: Изд-во УрГЮА, 1993. -а 36 с. (4,2 п. л., авторский вклад -2,1 п. л).а
- Раевский Р. Т. Оздоровительная тренировкаа при болезнях органов дыхания: метод. реком. для студентов спец. отд./ Р. Т. Раевский,а Г. А. Ямалетдинова. - Екатеринбург:а Изд-во УрГЮА, 1993. - 20 с. (2,4 п. л., авторский вклад -1,7 п. л).
- аРаевский Р. Т. Оздоровительная тренировка универсальной и лечебной направленности на основе упражнений хатха-йоги: метод. реком. для студентов спец. отд. / Р. Т.а Раевский,а Г. А. Ямалетдинова. -а Екатеринбург: Изд-во УрГЮА,а 1993. -а 44 с. (5,1 п. л., авторский вклад - 2,5 п. л).
- аРаевский Р. Т.а Оздоровительная тренировка при болезнях сердечно-сосудистой системы: метод. реком. для студентов спец. отд./ Р. Т.а Раевский,а Г. А. Ямалетдинова. -а Екатеринбург:а Изд-воа УрГЮА, 1993. - 23 с. (2,8 п. л., авторский вклад -2,4 п. л).
- аЯмалетдинова Г. А. Оздоровительная тренировка при болезнях органов пищеварения: метод. реком. для студентов спец. отд. / Г. А. Ямалетдинова. -а Екатеринбург:а Изд-во УрГЮА, 1993. - 16 с. (1,9 п. л).
- аЯмалетдинова Г. А. Оздоровительная тренировка при миопии: метод. реком. для студентов спец. отд./ Г. А. Ямалетдинова. - Екатеринбург: Изд-во УрГЮА, 1993. - 15 с. (1,9 п. л.).
- Ямалетдинова Г. А. аПрограмма учебной дисциплины Физическая культура (оздоровительная тренировка и профессионально прикладная физическая подготовка) для студентова Гуманитарного университета: учебно-методическое издание / Г. аА. Ямалетдинова. -а Екатеринбург:а Изд-воа ГУ,а 1997. -а 25 с. (1,5 п. л).
- Ямалетдинова Г. А. Физическая культура для студентов Гуманитарного университета: учебно-методическое издание / Г. А. Ямалетдинова. -а Екатеринбург: Изд-во ГУ, 2002. - 75 с. (4,4).
- Хлынова М. Э. Программно-тематическое содержание занятий оздоровительной тренировки и профессионально-прикладной подготовки на базе аэробной гимнастики для студентов с заболеваниями различной этиологии: метод. реком. / М.Э. Хлынова, Г. А. Ямалетдинова, под ред. Г. А. Ямалетдиновой. - Екатеринбург: Изд-во ГУ, 2003. -а 87с. (5,1 п. л., авторский вклад -3,1 п. л).
- аЛебедихина Т. М. Подготовка демонстраторов одежды на базе элективного курса Грация дисциплины Физическая культура: метод. реком. / Т. М. Лебедихина, Г.А. Ямалетдинова, под ред. Г.А. Ямалетдиновой. - Екатеринбург: Изд-во ГУ, 2003. - 35 с.(2,1 п. л., авторский вклад -1,1 п. л).
- аШарина О. А. Программно-тематическое содержание занятий на базе курса Танцевальная аэробика: метод. реком.а /О. А. Шарина,а Г. А. Ямалетдинова, под ред. Г. А. Ямалетдиновой. - Екатеринбург: Изд-во ГУ,а 2003. -а 43 с. (2,6 п. л., авторский вклад -1,6 п. л).
- аПермякова А. И. Программно-тематическое содержание оздоровительной тренировки и профессионально-прикладной подготовки на базе курса калланетики: метод.а реком. /А. И. Пермякова,а Г. А. Ямалетдинова, под. ред. Г. А. Ямалетдиновой.- Екатеринбург: Изд-воГУ, 2003. - 43 с. (2,6 п. л., авторский вклад- 1,8 п. л).
- аЯмалетдиноваа Г. А. Проблемы реализации Государственного Стандарта высшего профессионального образования по дисциплине Физическое воспитание: анкета /а аГ. А. Ямалетдинова, Л. А. Рапопорт, Е. А. Шуклина. -а Екатеринбург: Изд-во ГУ, 2004.-15с.(0,9 п. л., авторский вклад - 0,7 п. л).
- аЯмалетдинова Г. А. Учебный словарь дисциплины Физическая культура: учебное пособие / Г. А. Ямалетдинова [и др.]. - Екатеринбург: НОУ ВПО ГУ, 2007. - 64 с. (3,7 п. л., авторский вклад - 2,5 п. л).
- аЯмалетдиноваа Г. А. Методические рекомендации по подготовке к текущему, рубежному, и итоговому контролю по дисциплине Физическая культура:а учеб.-метод. издание /Г. А. аЯмалетдинова, Т. М. Лебедихина, В. А. Филиппова. -а Екатеринбург: НОУ ВПО ГУ, 2007. - 32с. (1,9 п. л., авторский вклад -1,5 п. л).
- аЯмалетдинова Г. А. Физическая культура: программа учебной дисциплины для студентов очной формы обучения: учеб.-метод. издание / Г. А. Ямалетдинова, Т. М. Лебедихина. - Екатеринбург:а НОУ ВПО ГУ,а 2007. - 36 с. (2,1 п. л., авторский вклад- 2,0 п. л).
- Ямалетдинова Г. А. Словарь-справочник по физической культуре : учебное пособие. Рекомендовано к изданию Международной академией педагогического образования в качестве учебного пособия для студентов, изучающиха дисциплину Физическая культура в высших учебных заведениях / Г. А. Ямалетдинова [и др.].-Екатеринбург: Изд-воа ГУ, 2007.- 116 с. (6,7 п. л., авторский вклад - 4,9 п. л).
Авторефераты по всем темам >>
Авторефераты по педагогике
