Все научные статьи
Степанов А.А., Старченко С.В. Сферически-симметричный теплоперенос в мантии
Научная статья
Электронный научный журнал ИССЛЕДОВАНО В РОССИИаа Степанов А.А. fstepsoft@yandex.ru), Старченко СВ.
Рыбинская государственная авиационная технологическая академия им. П.А. Соловьева
Введение
Главные тепловые источники в мантии Земли - это запас тепла, оставшегося еще со времен раннего расплавленного состояния, и тепло, образующееся при распаде радиоактивных элементов. Усредненное содержание радиоактивных элементов в земной коре не превышает тысячных долей грамма на килограмм породы, однако генерируемый ими тепловой поток оказывает существенное влияние на тепловые свойства Земли в целом [1, 2]. Если бы внутри Земли радиоактивные вещества содержались бы в тех же пропорциях, что и в поверхностных горных породах, то температура в недрах стала бы не падать, а расти, и мантия была бы полностью жидкой, что противоречит современным представлением. Поэтому, следуя [8, 9] считаем, что радиоактивных изотопов пренебрежимо мало в верхней и в нижней мантии. Используемое нами из [1] содержание радиоактивных изотопов в коре: калий К - 235 ррт, торий Th - 76.4 ppb, изотоп урана U - 0.14 ppb, изотоп урана U - 20.1 ppb. Удельная теплотворная способность изотопов и постоянная распада: 3.47-10" мВт/кг и 5.54-10" 1/год для К, 26.4 мВт/кг и 4.95-10"11 1/год для 232Th, 4.04 мВт/кг и 9.85-10"10 1/год для 235U и 94.0 мВт/кг и 1.551-Ю"10 1/год дляа U.
О тепловом запасе недр Земли можно судить по распределению температур. Наиболее надежными считаются определения температур основанные на температурах плавления глубинных недр. Современная техника еще не в состоянии прямо смоделировать соответствующие условия, экстраполируя результаты экспериментов, выполненных с использованием ударных волн. Поэтому расхождение моделей распределения поля температур находится в пределах одной - двух тысяч градусов [5, 6, 7]. Среди этих моделей наибольшую температуру плавления 8240 К в центре Земли дает Вильямсон и др. [5], а Бухлер [7] дает наименьшую температуру - 5150 К. Расчетные значения температур плавления берутся несколько ниже в связи с присутствием легкого компонента, причем отклонение может составлять от 500 до 1000 К [2]. Вместе с тем существуют и достаточно уверенно определяемые необходимые нам средние современные значения теплофизических величин представленные в таблице 1 и в таблицах 2-3 далее.
Электронный научный журнал ИССЛЕДОВАНО В РОССИИаа Свойство Значение S, площадь поверхности 5.10-Ю14 м2 М, масса 5.976-1024 кг Q, полный тепловой поток 44-1012Вт с , удельная массовая изобарная теплоемкость, верхняя мантия 1250 Дж/кг-К ср , удельная массовая изобарная теплоемкость, нижняя мантия 1260 Дж/кг-К к, теплопроводность, верхняя мантия 5 Вт/м-К к, теплопроводность, нижняя мантия ЮВт/м-К
Существенное влияние на тепловое состояние Земли оказывает тепловой поток Q(см. табл.1) с ее поверхности, который определяется достаточно уверенно [2]. Не менее важная величина теплового потока из ядра в мантию во многом определяется конвективными процессами, происходящими в ядре, интенсивность которых в свою очередь влияет на величину генерируемого в нем магнитного поля. Различия в оценке этого теплового потока из ядра Земли лежат в пределах от 3 до 20 ТВт (1 ТВт =10 Вт), как отмечалось еще в [4]. И до сих пор эта определяющая генерацию Главного геомагнитного поля величина остается также плохо определенной [10, 11, 12, 13].
В работах [2, 16] уже строились самосогласованные модели теплового состояния сферически симметричной Земли, опирающиеся на модели температур плавления и зависимости между безразмерными термодинамическими и теплофизическими параметрами. Недостатком подобных работ является использование параметров мало связанных с условиями в глубинных недрах Земли. В других работах [17, 18] моделируется прямая задача эффективного теплопереноса, причем авторы задают как распределение радиоактивных источников, так и величины эффективной теплопроводности. В настоящее время этот подход получил свое развитие в работах посвященных численному моделированию тепловой конвекции в мантии Земли [19, 20, 21, 22, 23, 24]. Однако в подобных работах сферически симметричный тепло перенос в мантии фактически задается изначально через фиксированные источники тепла, температуры и/или тепловые потоки у границ мантии.
Цель этой работы - определение полностью самосогласованной долговременной (на временах до нескольких сотен миллионов лет) модели сферически симметричного теплоперенос ваа мантии,аа развиваяаа идеиаа работыаа [15].аа Предполагаемыйаа результат
Электронный научный журнал ИССЛЕДОВАНО В РОССИИаа 1.аа Приближенное решение уравнений теплопереноса
В самом простом случае, используя эффективную теплопроводность [25], Землю можно представить в виде сферических слоев, обладающих постоянными теплофизическими свойствами. Тогда задача об охлаждении Земли сводится к решению уравнения теплопроводности для сферического слоя с постоянными значениями удельной массовой теплоемкости с , теплопроводности к и средним для слоя значением плотности
Р
дТ^ = а^Т{г,т)+С^^.(1)
дтсрр
где а = к1срраа - температуропроводность;аа Таа -а температура;аа qv{r,т)аа -а функция
объемной мощности внутренних источников тепла, г - радиальная координата, г -время.
В качестве граничных условий на внешней границе слоя Ro, исходя из достаточно
достоверно известных данных, зададим изменяющиеся во времени величины температуры и теплового потока. Т.о. граничные условия будут иметь вид
Условие ( 3) соответствует заданию теплового потока
0(Я)=-4<(^И)а ^ =?(т).
Начальные условия, когда г = 0 :
Т(г,6) = /(г).(4)
Для получения аналитического решения задачи представим все функции (температура и тепловой источник) в уравнении (1) в виде разложения в ряд Тейлора по времени:
Т(г,т) = Т0(г) + Т1(г)-т + Т2(г)-т2+... + Тя(г)-тя+...;(5)
Электронный научный журнал ИССЛЕДОВАНО В РОССИИаа
чЛг^) = чЛг)+чЛг)-т+чЛг)-т2 + -+qvД(r)-T" + ХХХХ
Ограничимся рассмотрением только нулевого и первого членов ряда (5)
Т(г, г) = Т0 (г) + Тх (г) ж т ; qv(г, г) = qv0 (г) + qvl(г) Х г . (6)
Это приближение, для времен порядка 100 млн. лет привносит в решение погрешность порядка нескольких процентов, т.к. характерное время теплопереноса порядка 10 млрд. лет [4]. Такая погрешность вполне допустима, так как теплофизические характеристики пород, слагающих недра Земли известны с большей погрешностью.
Также допустим, что распределение радиоактивных элементов не изменяется со временем, а изменяется только мощность тепловыделения, представляя
(7) |
qv{r^) = 4(r){q{)-qlz), где q{r) - относительная плотность распределения внутренних источников.
(8) |
Подставив (6) и (7) в уравнение (1), получим следующее соотношение cppT1(r) = kV2T0(r) + kV2T1(r)-T + q(r)(q0-q1T). Приравнивая члены при одинаковых степенях г, перепишем (8) в виде системы
(9) |
\kV%(r) = cpp(r)Tl(r)-q0q(r\ {kV2Tl(r) = qlq(r).
Граничные условия в этом случае будут иметь вид
'дТо(гУ\аа _аа ^оаа .WdLД.а (dTi(r))
ТМо)=%: |
(10) |
дг |
1 ж> |
4xR2 |
ж4rt-Щ=л
Система (9) с граничными условиями (10) допускает аналитическое решение
г
Q1(r) = 4K$eqvlPv(№ + V1,
(И)
( |
Тг(г)-
1
(г х
[I71
1 г- |
+ Щ |
Г/ |
W\eq,pMWi+f
\Ro
Q0{r)=47r]e(qvlpM)-cppTM))dZ + 4s0.,
1а 1
KRorJj
+ <h,а (12) (13)
1 (r1аа "
4жк{1оГ,
]\]e(qvlpM-cppTl(^))d^17
Vя ^аа Ro
+ <Po
?о_
4л-
Vаа оJJ
+ <Po
(14)
Электронный научный журнал ИССЛЕДОВАНО В РОССИИаа
2.аа Общая методика определения теплопереноса в мантии
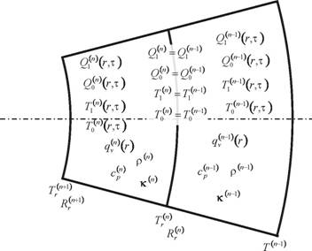
Для нахождения распределение теплового потока в мантии разделим ее на iV-1 сферический слой с различными фазовыми состояниями, см. рисунок 1.

4м Рисунок 1 - Разделение на сферические слои Законы сохранения требуют непрерывности температуры и теплового потока, т.е. для членов разложения в ряд (6) на границе между двумя соседними слоями п-\ и п :
е^И^^'К"1). T}n)(Rin))=^(kw), Qin)(Rin))=Qtl){R{?])>
j{n)(j^(n)\_j(n)а j(n)(j^(n+\)\_j(n+\)/^4
Здесь Ту' - n-e значение температуры фазового перехода, Ry- п-й радиус разделения на сферические оболочки.
Электронный научный журнал ИССЛЕДОВАНО В РОССИИаа Ql(K)=Q**a,T№)=0.(16)
Аналогичным образом для самого нижнего слоя:
T^(r?) = 0 , T0N-'(R?)= TrN.(17)
Окончательно получим трансцендентную систему из 5Nуравнений, составленных из (15), (16) и (17) в соответствии с (11), (12), (13) и (14). Неизвестны тут постоянные интегрирования <р", <р", у/", у/", эффективные теплопроводности к" для п>1 и среднее
значение функции распределения радиоактивных источников тепла pv(г) = р" = const.
3.аа Тепловая модель Земли
Следуя [2, 16] область от границы ядро-мантия до поверхности разделим на четыре сферических слоя, см. рисунок 2. Для определения средних значений плотности слоев использовалась модель строения Земли PREM [27]. Температуры фазовых переходов взяты из [9, 26], а тепловой поток с поверхности Земли - Q3eMJlu= 44ТВт из [2]. В таблице
2 представлено такое разделение на слои. Таблица 3 содержит средние по слою значения теплофизических величин, искомые величины обозначены иск. Постоянные радиоактивныеаа значенияаа изаа (7)аа ваа соответствииаа саа [1]аа равныаа q0=4.722375 -1СГа и
qx=-2.680118-Ю"26.
Электронный научный журнал ИССЛЕДОВАНО В РОССИИаа
44ТВт Слой 3 Слой 2 Слой 1
5771 6371
R, кма 5971 6271
Рисунок 2 - Слоистая модель Земли Таблица 2 - Значения температур фазовых переходов на границах слоев
Граница |
Радиус, км |
Температура, С |
поверхность Земли |
6371 |
0 |
Зона плавления вулканических лав |
6271 |
1160... 1240 |
первая зона фазового перехода |
5971 |
1600 |
вторая зона фазового перехода |
5771 |
1900 |
Граница ядро-мантия |
3480 |
3000... 5000 |
Таблица 3 - Теплофизические свойства слоев
№ слоя |
Средняя плотность р, [кг/м3] |
Теплоемкость ср, [Дж/кг С] |
Эффективная теплопроводность к, [Вт/] |
Относительное среднее содержание источников тепла qv |
1 |
3165.22 |
1250 |
5...6 |
иск |
2 |
3385.42 |
1250 |
Иск |
0 |
3 |
3841.85 |
1250 |
Иск |
0 |
4 |
4861.23 |
1260 |
Иск |
0 |
Для решения совокупности систем нелинейных уравнений (15), (16) и (17) была разработана программа, которая выдала физически значимые для Земли результаты представленные на рисунках 3, 4 и таблице 4, нефизические решения отбрасывались.
Электронный научный журнал ИССЛЕДОВАНО В РОССИИаа
35 30 25 20 15 10 5 0 QCMBJBm ... Д SSSSSSi iiiSBS" :5ss==5 ==ssssissssasf................ j
к, =5.5Вт/мС т ^т - Ч = ^ Е * * /мС sаа ваа = =аа = ашй *"i = эпт = ^^ =--------- 5000(
---------- ^i - 40f )0С
---------- - 3000^ ---------- ---------- ---------- ---------- ----------
(2)
1160аа 1170аа 1180аа 1190аа 1200 1210аа 1220аа 1230аа 1240а Тг
5.0е-2 4.0е-2 3.0е-2 2.0е-2 1.0е-2 0.0е-2 |
ч? |
Рисунок 3 - Зависимость QCMBот теплопроводности внешнего слоя, температур первого фазового перехода и температуры у границы ядро-мантия (разные цвета)
к1 = |
ЪВт 1 |
мС |
|||||
к,а =5 |
ЪВт 1 |
мС |
|||||
кjа = 6Вт 1 мс |
С |
||||||
(2)
1160 1170аа 1180аа 1190аа 1200аа 1210аа 1220аа 1230аа 1240а Тг
Рисунок 4 - Зависимость среднего содержания радиоактивных веществ в коре от температуры первого фазового перехода и теплопроводности во внешнем слое Из рисунка 3 видно, что наиболее сильное влияние на величину теплового потока
из ядра в мантию оказывает величина усредненной эффективной теплопроводности в
верхнем поверхностном слое. Меньшее влияние оказывает температура первого фазового
перехода, тепловой поток из ядра и температура на границе раздела ядро-мантия.
Содержание радиоактивных источников (см. рисунок 4) в поверхностном слое ни как не связано с изменением температуры на границе ядро-мантия, но зависит от температуры первого фазового перехода на глубине 100 км.
Об эффективности конвекции в верхней и нижней части мантии можно судить по данным из таблицы 1 и величинам соответствующих эффективных коэффициентов теплопереноса к2 4, которые представлены в таблице 4.
Таблица 4 - Коэффициенты теплопереноса к, относительная концентрация радиоактивностиа qvlи тепловой поток QCMBиз ядра при фиксированной температуре
Электронный научный журнал ИССЛЕДОВАНО В РОССИИаа т?\с ^^\^Вт/м С Параметр~^"^\^ 5 5.5 6 3000 к2, Вт/м С 25.123 35.062 44.876 къ, Вт/м С 22.722 32.894 42.748 кА, Вт/м С 92.627 158.561 218.372 ?vl 0.0363 0.0284 0.0206 Qcmb , ТВт 10.5 18.6 26.1 4000 :2, Вт/м С 24.958 34.939 44.793 :3, Вт/м С 22.249 32.553 42.522 :4, Вт/м С 42.107 78.654 111.537 qvl, Вт/м С 0.0362 0.0284 0.0205 Qcmb , ТВт 8.4 17.4 25.4 5000 :2, Вт/м С 24.881 34.873 44.746 :3, Вт/м С 22.030 32.372 42.395 кА, Вт/м С 26.509 51.693 74.471 Я* 0.0362 0.0284 0.0205 Qcmb , ТВт 7.62 16.7 24.9
Заключение
В ходе работы построена простая самосогласованная тепловая модель мантии Земли, опирающаяся только на достоверно известные данные. Показана зависимость теплового состояния мантии от возможных вариаций температуры на границе ядро-мантия, теплопроводности во внешнем слое и температуры фазового перехода на глубине 100 км.
Пользуясь результатами этой работы, легко оценить распределения температуры и теплового потока в недрах Земли, а также их эволюцию в зависимости от уточняемых температур фазовых переходов, концентраций радиоактивных источников и теплопроводности самой верхней твердой части мантии (фактически коры, океанов и материков).
Разработанный оригинальный метод построения тепловой модели планеты является независимым от других методом определения температуры и теплового потока и может быть использован как один из критериев для проверки корректности других методов.
Электронный научный журнал ИССЛЕДОВАНО В РОССИИаа итература
- Van Schmus W.R. Natural radioactivity of the crust and mantle. Global Earth Physics. A Handbook of Physical Constants. AGU Reference Shelf 1. Am. Geophys., 1995, p.p. 283-291.
- Takesi Yukutake. The inner core and the surface heat flow as clues to estimating the initial temperature of the Earth's core. Physics of Earth and Planetary Interiors, 121, 2000, p.p. 103-137.
- Болт Б. В глубинах Земли. О чем рассказывают землетрясения. Пер. с англ. - М.: Мир, 1984,-189с, ил.
- Ф. Стэйси. Физика Земли. Пер. с англ. - М.: Мир, 1972, - 344 с.
- Q. Williams, Е. Knittle, R. Jeanloz. The high-pressure melting curve of iron: a technical discussion. J. Geophys. Res., 96 (1991), pp. 2171-2184.
- O.L. Anderson, A. Duba. Experimental melting curve of iron revisited. J. Geophys. Res. 102 (1997), 22659 - 22669.
- R. Bouhler. Temperature in the Earth's core from melting point Measurements of iron at high static pressures. Nature 363 (1993), 534 - 536.
- Stacey F.D. Physics of the Earth. Brookfield Press, Queensland, Australia, 1992, 513p.
- Жарков B.H., Трубицин В.П. Физика планетных недр. - М.: Наука, Главная редакция физико-математической литературы, 1980, - 448с.
- Roberts P.Н., Jones С. A., Calderwood A.R. Energy fluxes and ohmic dissipation in the Earth's core.
- Loper D.E. The nature and consequences of thermal interaction twixt core and mantle. J. Geomagn. Geoelectr. 43 (1991), P. 79 - 91.
- Roberts P.H., Gladzmaier G.A.. Geodynamo theory and simulations. Review of Modern Physics, Vol. 72, No. 4, 2000, pp. 1081 - 1123.
- G.A. Gladzmaier, P.H. Roberts. Simulating the geodynamo. Contemporary Physics, 1997, volume 38, number 4, pages 269 - 288.
- Жарков B.H. Внутреннее строение Земли и планет. М.: Наука, 1978.
- Старченко СВ., Степанов А.А. Источники и потоки тепла в мантии Земли // ДАН, 2002, Т. 384, № 3, С. 391 - 394.
- Stevenson D.J., Spohn Т., Schubert G. Magnetism and thermal evolution of the terrestrial planets // ICARUS 54, 1983, P. 466 - 489.
Электронный научный журнал ИССЛЕДОВАНО В РОССИИаа
Все научные статьи
