Авторефераты по всем темам >>
Авторефераты по экономике
Повышение конкурентоспособности продовольственных товаров: теория, методология, практика
Автореферат докторской диссертации по экономике
На правах рукописи
ЖАРИКОВ РОМАН ВИКТОРОВИЧ
ПОВЫШЕНИЕ КОНКУРЕНТОСПОСОБНОСТИа
ПРОДОВОЛЬСТВЕННЫХ ТОВАРОВ:
теория, методология, практика
Специальность 08.00.05 - Экономика и
управление народным хозяйством:
маркетинг
АВТОРЕФЕРАТ
диссертации на соискание ученой степени
доктора экономических наук
Воронеж - 2008
Работа выполнена на кафедре маркетинга Государственного образовательного учреждения высшего профессионального образованияа Тамбовский государственный технический университет
Научный консультант: доктор экономических наук, профессор
Воронкова Ольга Васильевна
Официальные оппоненты: доктор экономических наук, профессор
Самостроенко Георгий Максимович
доктор экономических наук, профессор
Баутин Василий Михайлович
доктор экономических наук, профессор
Кармышев Юрий Анатольевич
Ведущая организация: Государственное образовательное учреждение высшего профессионального образования Казанский государственный технический университет имени А.Н.Туполева а
Защита состоитсяа л____ ____________2009 г. ваа ___ часов на заседании диссертационного совета ДМ 212.038.21 при Государственном образовательном учреждении высшего профессионального образованияа Воронежский государственный университет по адресу: 394068, г. Воронеж, ул. Хользунова,
д. 40, ауд. 225
С диссертацией и авторефератом можно ознакомиться в библиотеке Государственного образовательного учреждения высшего профессионального образования Воронежский государственный университет.
Автореферат диссертации разосланаа л______________2009 г.
Ученый секретарь
диссертационного советаа В.И. Тинякова
ОБЩАЯ ХАРАКТЕРИСТИКА РАБОТЫ
Актуальность темы диссертационной работы. Мировой продовольственный кризис отразился и на продовольственных рынках России. Значительный рост цен на продовольствие в конце 2007 года и в соответствии с этим высокие темпы инфляции ва 2008 году показали, что в стране недостаточно уделяется внимания производству и повышению конкурентоспособности отечественных продовольственных товаров. Вместе с тем значительную долю на российском рынке занимают зарубежные продовольственные товары, которые часто ниже отечественного продовольствияа по качеству.
За время проведения экономических реформ в стране значительно снижен научно-производственный потенциал. Особенно это коснулось сельского хозяйства: миллионы гектаров заброшенных пахотных земель (площади посева зерновых в 2007 составляли 46 млн. га, а в 2008 году - 47,1 млн. га вместо 63 млн. га в 1990 году, а всего из обработки выведено 33 млн. га пашни), значительно сократилась численность скота (почти в два раза), машинотракторный парк изношен и устарел. Сельскохозяйственное производство в связи с высокой трудоемкостью за последние годы стало низко рентабельным, особенно это касается животноводства. К тому же в стране сложились диспропорции в ценах на сельскохозяйственную и промышленную продукцию в пользу последней. Поэтому объемы сельскохозяйственного производства резко сократились. Выходом из сложившейся ситуации послужили закупки продовольствия за рубежом. Так в 2001 году Россия закупила за рубежом 400 тыс. тонн замороженного мяса, а в 2007 году - 1,3 млн. тонн. В настоящий момент Россия получает свыше 35% продовольственных товаров из-за рубежа и находится на грани потери продовольственной безопасности страны. Понимая положение дел в сельском хозяйстве, в стране принят в числе других национальный проект по развитию сельского хозяйства, который с 2008 года преобразован в государственную программу Развитие АПК.
Проблемы обеспечения продовольственной безопасности страны и удовлетворения потребностей населения в продуктах питания, а также глобализация мировой экономики выдвигают на первый план задачу повышения конкурентоспособности отечественных продовольственных товаров и развития внутреннего рынка продовольствия в стране.
Решаемая автором проблема актуальна для экономики страны, логично встраивается в научное направление повышения конкурентоспособности отечественных продовольственных товаров, наполняемости рынка продовольствием по доступным для населения ценам, и, в конечном счете, в реализацию государственной программы Развитие АПК.
Степень изученности проблемы. Теория рыночных отношений формировалась в процессе эволюции экономических систем. При этом можно однозначно утверждать, что развитие рынка связано с конкурентоспособностью его субъектов и объектов.
Теоретические и методологические основы конкуренции товарных рынков глубоко рассмотрены в работах представителей различных экономических школ, среди которых Ф. Кене, А. Курно, К. Маркс, А. Маршалл, Дж. Милль,
В. Ойкен, М. Портер, Д. Риккардо, Дж. Робинсон, А. Смит, Ф. Хайек, Э. Чемберлен, Й. Шумпетер и другие.
В развитие современных экономических теорий по конкуренции внесли значительный вклад отечественные исследователи, такие кака А.Ю. Юданов, изучавший продвижение товаров на рынок, Н.М. Розанова и С.Б .Авдашева, исследовавшие структуру товарных рынков.
Проблемы конкуренции отражены также в работах В.И. Видяпина,
А.И. Добрынина, В.В. Радаева, И.В. Стародубровской, Н.В. Федорковой,а С.В. Цухло, А.Н. Чеканского и др.
Многоплановость понятия конкурентоспособности как экономического явления рассматривалась с различных позиций представителями различных экономических школ, среди которыха С. Брю, Д. Гелбрейт,а М. Интрилигейтор, Д. Кейнс, Ч. Кетелс, К. Макконнелл, Ф. Найт, П. Хейне и другие.
Для обеспечения эффективной деятельности в конкурентных условиях производителям необходимо постоянно владеть конъюнктурой на различных сегментах рынка. Маркетинговым исследованиям, бизнес - прогнозированию и построению маркетинговой стратегии посвятили свои работы зарубежные и отечественные ученые: Ф. Котлер, Э. Ханк, У. Уичерн, Дж. Райтс, О. Уолкер, Х. Бойд, К. Ларше, Дж. Маллинз, К. Келлер, Л.М. Бадалов, В.М. Баутин,
О.Н. Беленов, А.Г. Поршнев, М.Г. Лапуста,а Г.М. Самостроенко,аа Ю.Л. Старостин,а Л.Г. Скамай и др.
Особое место в структуре товарных рынков занимает рынок продовольственных товаров. От его наполняемости товарами по доступным для населения ценам зависит качество жизни населения и его здоровье.
Исследованиям продовольственного рынка посвящены научные работы А.В. Гордеева, Р.Р. Гумерова, И.Н. Буробкина, Е.В. Закшевской,аа В.П. Соколова, И.Ф. Хицкова, И.Ф. Шишкина и др.
Зарубежные и отечественные ученые внесли существенный вклад в теорию рыночных отношений (развитие теоретических основ конкуренции, формирование методологии проведения маркетинговых исследований, построение стратегии маркетинга на товарных рынках), однако, в этих работах не рассматривались данные проблемы в условиях глобального мирового кризиса продовольственного рынка, трансформации экономической системы и дефицита продовольственных товаров, не отражены особенности сельскохозяйственного производства, как важнейшего фактора повышения конкурентоспособности отечественных продовольственных товаров и обеспечения продовольственной безопасности стран.
Несмотря на достаточное количество работ, связанных с исследованием конкуренции, остается неисследованной проблема формирования конкурентоспособности отечественных продовольственных товаров, развития региональных рынков продовольствия, выявления динамики и тенденций его развития, а также условий и факторов, способствующих повышению конкурентоспособности отечественного продовольствия на внутреннем и внешнем рынках. В свою очередь, для региональной экономики проблемы, связанные с развитием локальных региональных рынков выходят на первый план для обеспечения качества жизни населения, выхода на международные рынки и требуют всестороннего научного анализа. Отсюда возникает необходимость постоянного исследования изменений, как на внутренних, так и на внешних продовольственных рынках.
Целью диссертационного исследования является разработка теоретических и методологических положений повышения конкурентоспособности отечественных продовольственных товаров, формирование и реализация маркетинговой стратегии на региональном рынке продовольствия.
В рамках сформулированной цели выделены следующие задачи:
-расширить содержание понятия конкуренции и сформулировать сущность и содержание региональной системной конкурентоспособности на продовольственных рынках;
-предложить системную модель концепции маркетинга региона с учетом развития элементов маркетинга и производственной инфраструктуры;
-разработать методологию повышения конкурентоспособности отечественных продовольственных товаров на основе системы принципов, методов и подходов;
-предложить маркетинговый подход к формированию ассортимента продовольственных товаров на основе ранжирования по предложенной системе показателей;
-проанализировать состояние машинотракторного парка в регионе (на примере Тамбовской области) и определить прогнозную оценку потребности в новой технике и капитальных вложениях на обновление машинотракторного парка;
-провести исследование состояния и тенденций на региональном рынке продовольственных товаров;
-разработать организационно-экономический механизм повышения конкурентоспособности продовольственных товаров;
-разработать алгоритм формирования маркетинговой стратегии повышения конкурентоспособности продовольственных товаров;
-предложить маркетинговую систему управления регионом и сетевую модель сельскохозяйственного сектора региональной экономики на логистической основе;
-разработать товарный знак для отечественных экологически чистых продовольственных товаров;
-разработать региональные балансы и прогноз объемов производства основных продовольственных товаров, возможные сценарии и направления развития регионального рынка продовольственных товаров.
Объектом исследования являются экономические и организационно-управленческие проблемы, связанные с повышением конкурентоспособности отечественных продовольственных товаров.
Предметом исследования является совокупность теоретических, методологических и практических подходов повышения конкурентоспособности отечественных продовольственных товаров.
Информационно-эмпирическая база исследования формировалась на классической концепции рыночной экономики и соответствующей ей представлении о сущности и закономерностях развития конкурентоспособности товаров, монографических исследованиях отечественных и зарубежных ученых-экономистов, на результатах ранее выполненных обзорно-аналитических исследований по конкурентоспособности продовольственных товаров.
Диссертационная работа опирается также на достижения в области системного, структурного и факторного анализа, статистики, теории принятия управленческих решений, методов маркетинговых исследований, планирования и прогнозирования,а компьютерных технологий.
Методологической основой исследования послужили общенаучные принципы системного подхода и диалектический метод изучения экономических процессов.
В процессе диссертационного исследования изучены, проанализированы и использованы материалы Россельхозакадемии, органов государственной статистики, отчетные данные предприятий, федеральные и региональные нормативно-правовые акты, материалы сети INTERNET.
Диссертационная работа выполнена в соответствии с подпунктами:
- 3.9. Повышение конкурентоспособности товаров/организаций, стратегия и тактика ведения конкурентной борьбы и
- 3.13. Маркетинговые аспекты управления продуктом/проектом и ассортиментом
Паспорта специальности 08.00.05 - Экономика и управление народным хозяйством (маркетинг).
Научная новизна исследования и положения, выносимые на защиту.
Научная новизна исследования состоит в разработке теоретических и методологических положений и маркетинговой стратегии повышения конкурентоспосбности отечественных продовольственных товаров.
В частности, в диссертации изложены следующие положения и разработки, которые можно отнести к новым.
1.Расширены теоретические понятия конкуренции как экономической категории и разработано положение системной конкурентоспособности отечественных продовольственных товаров:
-дано авторское определение конкуренции, которое отличается тем, что данная экономическая категория рассматривается нами как непрерывный процесс ликвидации противоречий между постоянно возрастающими потребностями покупателей и возможностями производителей (либо наоборот) по созданию, производству и поставкам продовольственных товаров, отвечающих желаниям потребителей в пределах совокупного спроса и ограничений обществаа по ресурсам и экологической чистоте на соревновательной основе;
- сформулировано понятие системной конкурентоспособности на региональных продовольственных рынках, которая складывается из конкурентоспособности региона (региональной власти), отдельных организаций и товаров, что дало основание автору построить системную модель конкурентоспособности, позволяющую определять слабые элементы в системе и целенаправленно работать над их повышением;
- продовольственный рынок в диссертации рассматривается как совокупность товарно-денежных отношений субъектов рынка по поводу удовлетворения потребностей различных по доходу групп населения в продовольственных товарах дифференцированных по качеству, ценам, содержанию полезного вещества, характеризуемого множеством сегментов, стабильностью и преимущественно неэластичным спросом;аа
2. Дана авторская трактовка конкурентоспособности региона, организации, продовольственных товаров, позволяющая формировать системную конкурентоспособность с целью возможного повышения конкурентоспособности продовольственных товаров на внутреннем и мировом рынках:
-конкурентоспособность региона определена нами, как состязательная способность формирования рыночной инфраструктуры и условий для функционирования и постоянного развития эффективного конкурентоспособного рынка продовольственных товаров на его территории и за ее пределами;
-конкурентоспособность перерабатывающих организаций, рассматривается в диссертации,а как способность в условиях свободной конкуренции производить и поставлять продовольственные товары, удовлетворяющие запросы внутреннего и/или мирового рынка по качеству и ценам и обеспечивающие качественные, ресурсные и технологические конкурентные преимущества;
-конкурентоспособность продовольственных товаров заключается в том, что они должны отвечать стандартам по качеству, упаковке, срокам хранения и содержанию необходимых полезных веществ, а также по цене доступной для населения и быть конкурентоспособными с товарами внутренних и зарубежных поставщиков.
3.Предложена модель концепции маркетинга региона на рынкеа продовольственных товаров, отличающаяся от известных системным подходом к ее построению, включающая в себя расширение номенклатуры и повышение качества продовольственных товаров, интенсификацию сбытовых усилий и способствующая формированию и развитию региональной производственной инфраструктуры, диверсификации производства и расширению географии рынка.
4.Предложена методология повышения конкурентоспособности продовольственных товаров на региональном рынке, отличающаяся комплексным подходом и включающая в себя принципы (научности, непрерывности, системности, единства целей, эффективности маркетинга,а специализации, координации действий, сбалансированности ресурсов, идентификации наиболее опасных конкурентов), методы (экспертно-аналитический и статистический) и формы организации конкурентных отношений в границах региона и за его пределами (презентация продовольственных товаров во внешней среде: в стране и за рубежом; активный маркетинг сильных конкурентных преимуществ; активное содействие привлечению в регион инвестиций для развития сельскохозяйственного производства; повышение информированности жителей региона о стратегии развития, крупных проектах и программах развития производства и сбыта продовольственных товаров).
5.Предложен маркетинговый подход к управлению ассортиментом выпускаемой продукции, отличающийся оптимизацией объемов производства и максимизацией прибыли и включающий принципы (научности, системности, оптимизации объемов производства продукции и максимизации прибыли, гибкости, непрерывности, равномерности или равномерного нарастания), методы (ранжирования по уровню прибыльности и рентабельности, по вкладу на покрытие, сравнительного многомерного анализа) и подходы (более полная загрузка производственных мощностей и площадей, сохранение квалифицированных кадров, обновление продукции, диверсификация производства на основе сохранения сложившейся специализации и дифференциации товаров, а также связей с традиционными потребителями) и позволяющий обеспечивать рентабельность в краткосрочном периоде и в долгосрочной перспективе.
6.Выявлены состояние и обеспеченность региона сельскохозяйственной техникой, а также разработан прогноз потребности в новой технике и в объемах капитальных вложений, необходимых для обновления машинотракторного парка, что позволяет принимать управленческие решения по изысканию источников инвестиций и развитию лизинговых отношений.
7. Выявлены тенденции последних лет на рынке продовольственных товаров в Тамбовской области:
-малый бизнес в сельском хозяйстве низко эффективен;
-эффективным сельскохозяйственным сектором в обеспечении населения продуктами питания являются личные подворья крестьян, что позволяет переориентировать приоритетность инвестиционных проектов в сельском хозяйстве;
-поголовье крупного рогатого скота продолжает снижаться;
-организовано строительство крупных свинокомплексов, птицефабрик и товарно-молочных ферм с полным обеспечением инвестициями по программе Развитие АПК и использованием инноваций в животноводстве.
8. Разработан организационно-экономический механизм повышения конкурентоспособности отечественных продовольственных товаров с учетом отраслевых особенностей сельскохозяйственного производства, включающий в себя все функции управления: планирование, организацию, производство, стимулирование, контроль и регулирование на основе диверсификации видов деятельности, дифференциации товаров и расширяющейся отраслевой специализации.
9.Разработан алгоритм формирования и реализации маркетинговой стратегии на основе анализа рыночной среды и внутренних возможностей, включающий развитие по всем основным компонентам маркетинга (товар, цена, география рынка, стимулирование сбыта) в рамках общей стратегии развития региона, что позволяет обеспечивать конкурентоспособность отечественных продовольственных товаров и эффективное развитие аграрного региона.а
10.Предложена маркетинговая система управления регионом возглавляемая областной администрацией, включающая в себя подразделения маркетинга предприятий, НИИ, местных органов власти и обеспечивающая расширение каналов товародвижения и мониторинг по всей логистической цепи: спрос, закупки ресурсов, производство товаров, сбыт, сервис.
11.Предложено модернизировать структуру экономики региона путем формирования кластеров и сетевой модели сельскохозяйственного сектора региональной экономики на основе взаимодействия поставщиков сельскохозяйственного сырья и перерабатывающих организаций крупного и малого бизнеса, отличающуюся построением кластеров на основе специализации, а сетей на логистической основе и позволяющую замкнутьа цикл лисследование-производство в одном специализированном кластере, а переработку сельскохозяйственного сырья и сбыт готовой продукции в одной сети, что дает возможность субъектам кластеров и сетей формировать общую стратегию развития, ценовую политику и распределять прибыль между участниками на компромиссной основе.
12.На основе анализа теоретических положений формирования брэндов, предложены товарные знаки на региональные экологически чистые продовольственные товары, отличающиеся узнаваемостью и информативностью преимуществ перед продукцией конкурентов и позволяющие повышать конкурентоспособность товаров, расширять географию рынка и стимулировать роста объемов продаж.
13.Разработаны:
-региональные балансы (вывоза и ввоза) основных видов продовольственных товаров в Тамбовской области;а
-прогноз оценки использования земельных ресурсов и роста объемов производства основных продовольственных товаров в Тамбовской области до 2012 года;
-сценарии развития рынка продовольственных товаров в стране;
-направления реализации маркетинговой стратегии повышения конкурентоспособностиа отечественного продовольствия, что ориентирует властные структуры различных уровней на формирование, поддержание и повышение конкурентного статуса производителей отечественных продовольственных товаров.
Практическая значимость диссертации определяется возможностью широкого использования теоретических и методологических положений и практических рекомендаций по повышению конкурентоспособности продовольственных товаров и качества жизни населения, решения демографических проблем.
Самостоятельное практическое значение имеют:
-методология повышения конкурентоспособности продовольственных товаров;
-маркетинговая система управления регионов на основе кластеров;
-организация сетевой модели сельскохозяйственного сектора экономики на логистической основе;
-методология формирования ассортиментной политики сельскохозяйственных предприятий и региона с оптимизацией объемов производства и максимизацией прибыли;
-прогноз потребности в новой технике и объемов производства продовольственных товаров;
-товарные знаки продовольственных товаров;
-выявленные резервы развития объемов производства и повышения конкурентоспособности отечественных продовольственных товаров.
Апробация и внедрение результатов диссертационного исследования.
Основные положения и рекомендации диссертационного исследования использованы на предприятиях и в организациях Тамбовской области, что подтверждено справками о внедрении. В частности, результаты исследования внедрены в практику работы областной администрации Тамбовской области, ОАО Тамбовская производственная корпорация, ООО Кондитерская фирма ТАКФ.
Теоретические положения диссертации используются также в учебном процессе Академии параллельного образования и институте экономики и управления производствами Тамбовского государственного технического университета.аа
Результаты диссертационной работы докладывались на пяти международных научно-практических конференциях (г. Тамбов - 1998, 2004, 2005, 2006 годы,а г. Саратов - 2004 году), на 1V Всероссийской научно-практической конференции г. Воронеж - 1998, Межрегиональной научно-практической конференции г. Брянск - 2004 г., на четырех Межвузовских научно-практических конференциях (г. Москва - 2004 г., г. Тамбов - 2003, 2004, 2008 годы), на двух Областных научно-практических конференциях в г. Тамбове - 1998, 2001 годы.
Публикации. По теме диссертации опубликовано 45 печатных работ общим объемом 73,08 (авторских 50,1) печатных листа. Результаты диссертации изложены в трех монографиях и трех учебных пособиях, в 18 статьях, опубликованных в журналах, рекомендованных ВАК РФ, остальные в сборниках научных трудов, материалах конференций.
Состав и структура работы. Диссертационная работа изложена на 360 страницах и состоит из введения, пяти глав, включающих 16 параграфов, заключения, списка используемой литературы и приложений. В диссертацию включено 45 таблиц и 28 рисунков.
Во введении диссертационной работы обоснована актуальность, цель, задачи, предмет и объект исследования.
В первой главе Теоретические аспекты конкурентоспособности продовольственных товаров: маркетинговый подход приведена история развития и дано авторское понимание конкуренции как экономической категории; обоснована системная конкурентоспособность, элементами которой являются регион, организация, продовольственные товары; рассмотрены условия и факторы формирования конкурентоспособности на российском экономическом пространстве; приведена структура концепции маркетинга повышения конкурентоспособности отечественных продовольственных товаров.
Во второй главе Методология повышения конкурентоспособностиа отечественных продовольственных товаров на основе определенного состава принципов, методов и подходов разработана методология повышения конкурентоспособности продовольственных товаров на региональном рынке, разработаны товарные знаки для экологически чистых продовольственных товаров региона, предложена методология управления ассортиментом продовольственных товаров на основе оптимизации объемов производства продукции и максимизации прибыли.
В третьей главе Исследование состояния и развития регионального рынка продовольственных товаров рассмотрена возможность обновления и развития материально-технической базы сельского хозяйства в регионе, исследовано состояние и развитие регионального рынка продовольственных товаров, предложены организационные структуры управления экономикой региона.
В четвертой главе Система повышения конкурентоспособности АПК региона рассмотрены отраслевые особенности сельскохозяйственного производства, разработан организационно-экономический механизм повышенияа конкурентоспособности продовольственных товаров и проанализировано инвестиционное обеспечение повышения конкурентоспособности региона.
В пятой главе Формирование и реализация маркетинговой стратегии рассмотрен экономический потенциал Тамбовской области по сравнению с другими регионами Центрально-Черноземного экономического района, дан прогноз развития рынка сельскохозяйственной продукции, приведены основные направления реализации маркетинговой стратегии региона.
В заключении приведены выводы и предложения.
ОСНОВНЫЕ РЕЗУЛЬТАТЫ И ПОЛОЖЕНИЯ РАБОТЫ
Теоретические основы конкуренции как экономической категории и системной конкурентоспособности отечественных продовольственных товаров. На основе критического анализа подходов и определений экономической категории конкуренции и конкурентоспособности в диссертации:
-дано определение конкуренции, которая рассматривается нами как процесс удовлетворения постоянно возрастающих потребностей покупателей (платежеспособного спроса) под действием научно-технического прогресса за счета растущих возможностей производителей на соревновательной основе в борьбе за сохранение определенного сегмента рынка. При этом возможно три варианта: когда производство, отставая от возрастающих потребностей, устраняет разрыв между потребностями и их удовлетворением, либо производство опережает в своем развитии потребности и формирует спрос, либо процесс возрастания потребностей и развитие производства происходит синхронно. Таким образом, конкуренция - это сложное социально-экономическое явление: с одной стороны, - это борьба за потребителя, с другой стороны, - это процесс удовлетворения возрастающих потребностей общества и отдельных индивидов на более высоком технико-технологическом и эколого-экономическом уровне, а, в третьих, - это борьба за выживание и сохранение своего сегмента на рынке.
-определено содержание продовольственного рынка, который представляет собой совокупность товарно-денежных отношений производителей и потребителей продовольственных товаров. При этом данный рынок дифференцирован по качеству, цене и содержанию полезного вещества для потребителей с разными доходами. Продовольственный рынок имеет множество сегментов по товарам и потребителям и характеризуется стабильным спросом. По основным продуктам питания данный рынок неэластичен.
-уточнено понятие регион. В Основных положениях региональной политики Российской Федерации регион определяется как часть территории Российской Федерации, обладающая общностью природных, социально-экономических, национально-культурных и иных условий. Регион может совпадать с границами субъекта Российской Федерации либо объединять территории нескольких субъектов РФ. В тех случаях, когда регион выступает как субъект права, под ним понимается только субъект Российской Федерации.
Регион в нашем исследовании рассматривается как территория, обладающая определенным, как правило, ограниченным ресурсным потенциалом (природным, трудовым, инновационным, финансовым, в том числе инвестиционным).
Конкурентоспособность региона нами рассматривается как система, которая складывается из конкурентоспособности власти, отдельных отраслей, предприятий и товаров. В качестве критерия оценки конкурентоспособности региона нами принято качество жизни населения.
Согласно экспертной оценки конкурентоспособности власти, исходя из уровня жизни населения, анализируемых областей рейтинг имеет следующие значения: Липецкая - 1; Рязанская - 2; Воронежская - 3; Саратовская - 4; Тамбовская - 5; Курская - 6.
В свою очередь, регион является элементом логистической цепи, то есть производителем и поставщиком товаров в другие регионы и на экспорт, а, с другой стороны, он является потребителем товаров, производимых в других регионах и странах. При этом конкурентоспособность региона необходимо рассматривать по сальдо баланса: поставки на сторону и потребление продовольственных товаров со стороны.
На уровне организации конкурентоспособность определяется созданием и производством качественного сырья и продуктов питания (предприятия сельскохозяйственного производства), использованием доброкачественного сырья, новых технологий и новой техники, современной тары и упаковки, товарных знаков при сравнительно низкой себестоимостиа с товарами - конкурентами зарубежных фирм (организации перерабатывающей промышленности).
На уровне товаров - они должны отвечать стандартам по качеству, упаковке, срокам хранения и содержанию необходимых компонентов, а также по цене доступной для населения и быть конкурентоспособными с товарами зарубежных поставщиков.
Если рассмотрение системной конкурентоспособности продовольственных товаров ведется на мировом рынке, то необходимо в этой системе учесть и конкурентоспособность страны в целом.
Построение и реализация механизма конкурентной борьбы должно предусматривать стратегический выбор специализации региона, исходя из имеющихся преимуществ. Например, при скудных полезных ископаемых в Тамбовской области и слабо развитой производственной инфраструктуры, она обладает черноземами, при рациональном использовании которых, регион может быть солидно представлен на столичном и на внешнем рынках продовольственных товаров.
Модель концепции маркетинга повышения конкурентоспособностиа продовольственных товаров. Конкуренция как экономическая категория отражает экономические отношения между хозяйствующими субъектами различных уровней, возникающие на всех этапах воспроизводственного процесса, по поводу реализации их экономических интересов на продовольственных рынках.
Предложенный маркетинговый подход к повышению конкурентоспособности отечественных продовольственных товаров заключается в формировании системной конкурентоспособности: регион, организация, товар.
На уровне региона создается инфраструктура развития сельскохозяйственного производства, хранения и переработки сырья в товары, пригодные к употреблению, распределения и поставок конечному потребителю - населению, обеспечивающая формирование конкурентоспособности на уровне организации и товаров.
Модель концепции маркетинга определяет рыночный подход, основанный на приоритете потребителя, и проявляется в более полнома удовлетворении его постоянно возрастающих потребностей.
На рисунке 1 указаны основные пути развития рынка сельскохозяйственной продукции по всем компонентам маркетинга, как конкурентного направления аграрного региона.
Для формирования системной конкурентоспособности необходима развитая инфраструктура, котораяа включает все необходимые элементы для устойчивого развития рынка сельскохозяйственной продукции, а также создание новых товаров, ценообразование, расширение (сужение) рынка, стимулирование сбыта. При этом со стороны государства должен быть организован надлежащий контроль за качеством и сроками годности продуктов питания.
Методология повышения системной конкурентоспособности.
аМетодология формирования системной конкурентоспособности авключает в себя принципы, методы и формы организации конкурентных отношений в границах региона и за его пределами.
К определяющим принципам повышения конкурентоспособности можно отнести следующие.
Принцип научности. Выбор направления развития экономики региона должен проводиться на научной основе. Основанием для выбора направления служат: исследование рынка и его сегментирование, разработка товара и ценообразование, продвижение товаров на рынок и обеспечение их долгосрочной конкурентоспособности.
|
Рисунока 1 - Системнаяа модель концепции маркетингаа повышения конкурентоспособности продовольственных товаров |
Принцип непрерывности. Проблемы формирования и развития конкурентоспособности должны решаться постоянно, при этом маркетинг должен стать философией управления и поэтому организационно-экономические мероприятия маркетинговой направленности должны быть непрерывными.
Принцип системности - система маркетингового управления должна опираться на собственные закономерности, принципы и методы, иметь свой инструментарий.
Принцип разделения функций между организациями, состоящими в единой логистической цепи: производители ресурсов (поставщики), переработчики (производители товаров), сбытовые организации.
аПринцип единства целей: объем продаж, прибыль, рентабельность собственного капитала, доля рынка, положительное сальдо экспортно - импортных операций - основные цели, достижение которых возможно при ориентации на наполняемость рынка продовольственными товарами и реализации указанных принципов в управлении регионом.
Принцип эффективности маркетинга. Затраты на маркетинг и его инфраструктуру должны быть окупаемыми.
Принцип единоначалия - маркетинговая стратегия должна соответствовать миссии и общей стратегии развития региона, аа управленческие решения должны исходить из единого центра ответственности (руководителя).
Принцип специализации - регион должен специализироваться на определенных сегментах рынка, а организация на производстве определенных продовольственных товаров. Например, сегмент рынка товаров для Тамбовской области - это рынок сельскохозяйственной продукции, желательно с глубокой переработкой сельскохозяйственного сырья до конечного продукта. Конкурентным преимуществом в этом случае является экологически чистая продукция из натурального сырья (натуральные продукты питания).
Принцип координации действий Ц должна обеспечиваться четкая координация действий между маркетинговыми исследованиями емкости рынка, выбором целевого сегмента (потребностями), поставщиками, производителями, сбытовыми организациями.
Принцип сбалансированности целей и задач с ресурсами, прав и обязанностей всех уровней управления, затрат с результатами труда.
Принцип децентрализации управления и передачи полномочий на более низкий уровень: от региона организации.
Принцип идентификации наиболее опасных (приоритетных) конкурентов. Первый шаг в определении приоритетных конкурентов обычно осуществляется исходя из определенных концепций. Так, в зависимости от своей роли в конкурентной борьбе все организации могут быть разделены на четыре группы: рыночный лидер, претендент, последователь и организация, нашедшая рыночную нишу.
При проведении маркетинговых исследований можно использовать следующие методы.
Экспертный метод состоит в обобщении ряда экспертных оценок специалистов по имеющимся тенденциям и возможным направлениям изменения рыночной конъюнктуры. Метод требует тщательного подбора экспертов и детального отбора анализируемых состояний.
Аналитический метод основан на анализе большого числа разнообразных источников информации. Сущность данного метода заключается в системном анализе составных элементов и факторов, повышающих или понижающих потенциальные возможности региона или организации. Факторный анализ при этом позволяет учесть одновременное влияние на емкость рынка и ценообразование различного рода факторов и оценку степени их положительного и отрицательного воздействия.
Статистический метод основан на использовании ряда статистических приемов. Метод базируется на статистическом анализе с применением средних величин, индексов, дисперсии (абсолютного отклонения от средних величин), а также на корреляционно-регрессионном анализе.
Методы анкетирования и опроса потребителей. Данные анкетирования и опроса анализируются и используются в принятии управленческих решений для формирования и поддержания конкурентоспособности продовольственных товаров.
Методы стимулирования сбыта продукции. Многие специалисты все больше склоняются к выводу, что основным фактором успеха большинства предприятий является верность потребителей, то есть их лояльность к продукции фирмы. Высшая степень лояльности (преданности) потребителей - это признание бренда.
Предложен товарный знак, оболочка которого (пятиугольник) представляет поле действия региона, а надписи отвечают содержанию бренда и названию региона (рис. 2).

Рисунок 2 - Торговая марка на экологически чистые продукты питания из натурального сырья
Предложенная товарная марка для российского внутреннего рынка использует психологическое влияние (пятиугольник у российского покупателя ассоциируется со Знаком качества в бывшем СССР) и достоверного факта - натуральных продуктов. При этом пять углов означают:
- экологически чистое сырье;
- экологически чистые уникальные технологии;
- экологически чистая упаковка;
- высококвалифицированные кадры;
- доставка в срок.
Данный товарный знак может использоваться и в англо-германской интерпретации.
Известно, что конкурентоспособность продовольственных товаров зависит, прежде всего, от качества. При этом качество зарубежных продуктов питания значительно ниже отечественных (табл. 1).
Таблица 1 - Забраковано и снижена сортность на продукты питания поставленных на внутренний рынок (в процентах от проверенных)
№ |
Наименование продукции |
Отечественное |
Импортное |
1 |
Мясо всех видов |
1,2 |
48,6 |
2 |
Колбасы, колбасные изделия и копчености |
18,9 |
95,5 |
3 |
Масло животное |
19,3 |
77,0 |
4 |
Консервы мясные и масло растительное |
25,0 |
99,1 |
Данные таблицы показывают, что качество отечественных продуктов питания значительно выше, поэтому для повышения качества питания населения необходимо наращивать объемы производства продовольственных товаров отечественного производства при строгом контроле их качества и соответствия стандартам. При этом необходимо отметить роль государства в этом процессе. Существуют некоторые простые, основополагающие принципы, которым должно следовать правительство для оказания адекватного позитивного воздействия на конкурентоспособность предприятия, отрасли, региона:
-необходимо поощрять изменения;
-способствовать формированию внутренней конкуренции;
-стимулировать внедрение инноваций. Исходя из сложившихся условий в стране, нами предложен индекс оценки регионов по конкурентоспособности (ИКР) внутри страны по следующей зависимости:
, (1)
где d1 Цдоля переработки до конечного продукта, реализованных природных ресурсов в ВРП; d2 - доля расходов на НИОКР в ВРП;аа d3 - доля экспортных поставок в ВРП; d4 - доля произведенных товаров в ВРП; d5 - прирост ВРП, в долях единицы.
Данная методика позволяет достаточно просто определять конкурентоспособность региона и не требует большого объема информации.
Маркетинговый подход к формированию ассортиментной политики. Основная цель ассортиментной политики заключается в разрешении противоречия: минимизации объемов производства продукции и максимизации прибыли.
Подходами при формировании ассортиментной политики могут быть следующие:
1. Сохранение квалифицированных кадров при низком спросе на продукцию.
2. Наиболее полная загрузка производственных мощностей.
3. Обновление выпускаемой продукции.
4. Выпуск продукции с высоким потенциальным спросом в будущем.
5. Диверсификация производства продукции с проникновением на новые рынки.
6. Сохранение сложившейся специализации производства.
7. Сохранение и развитие связей с традиционными потребителями продукции предприятия и поставщиками ресурсов.
8. Развитие сферы услуг.
аа К основным принципам формирования ассортиментной политики можно отнести следующие.
аа Принцип научности, который предполагает использование научного инструментария (положений и методик, математического аппарата, информационных технологий и соответствующей техники) в планировании и прогнозировании емкости рынка и объема продаж.
аа Принцип системности, который заключается в увязке всех ресурсов предприятия: материальных, трудовых и финансовых. Особое место в обеспечении производства занимает кадровый потенциал, пропускная способность каждой группы оборудования, обеспеченность сырьем, материалами, полуфабрикатами и поставляемыми со стороны компонентов.
аа Принцип оптимизации объемов производства и максимизации прибыли. Экономическая теория дает на это ответ: максимизация прибыли возможна в случае равенства предельных издержек и предельного дохода. Данный принцип обеспечивается набором эффективного портфеля заказов - таких номенклатурных позиций, которые максимизируют прибыль предприятия.
аа Принцип максимизации прибыли. Данный принцип тесно взаимосвязан с предыдущим, но его обеспечение требует дополнительных усилий по снижению материальных, трудовых, организационных и трансакционных издержек на производство и сбыт продукции.
аа Принцип гибкости обеспечивается возможностью производства и кадров перестраиваться на выпуск новых ассортиментных позиций с минимальными капитальными и текущими затратами. Переход на выпуск новых видов продукции требует порой значительных изменений в торговых сетях.
аа Принцип непрерывности - процесс производства и реализации продукции должен быть непрерывным, и должна обеспечиваться непрерывность финансовых потоков. При этом эффективность заключается в том, что сальдо доходов и расходов должно быть положительным.
аа Принцип равномерности или равномерного нарастания. Соблюдение данного принципа предполагает, что объемы производства и сбыта продукции постоянны по временным периодам или непрерывно растут. Эффективность в этом случае достигается опережающим темпом роста прибыли по сравнению с темпом роста объемов сбыта продукции. С учетом сезонности в сельскохозяйственном производстве нарастание объемов производства должно учитываться по результатам года.
Для более эффективного набора ассортимента выпускаемой продукции нами предложен метод выбора номенклатуры с использованием сравнительного многомерного анализа матричным методом.
аа Данный метод анализа используется для исследования сложных и многомерных структур и основан на линейной и векторно-матричной алгебре. На примере продукции АПК нами проведен анализ эффективности реализации различных видов товаров. Данный метод включает в себя следующие этапы.
1.Выбор и обоснование системы оценочных показателей и формирование матрицы исходных данных на единицу товара.
2.Построение матрицы стандартизированных коэффициентов. Данные коэффициенты определяются по формуле:
, (2)
где а - используемые в анализе технико-экономические показатели по продуктам; а мах - максимальный одноименный показатель по продуктам.
3.Расчет и построение матрицы квадратов и рейтинговая оценка продуктов по комплексному показателю эффективности - R, определяемому по формуле:
а,а (3)
где к1,к2Екn а- коэффициенты весомости показателей.
Весовые коэффициенты по показателям определяются экспертным путем (в нашем случае):
- себестоимость товара аа - 0,1
- цена продукта а - 0,3
- объем реализации а - 0,25
- прибыль от реализации а - 0,35
Разработка ассортиментной политики нами проведена на примере четырех видов сельскохозяйственной продукции. При этом использованы следующие показатели: масса прибыли, уровень рентабельности, доля каждого вида продукции в общем объеме продаж, вклад на покрытие или валовая маржа (как разница между выручкой и переменными затратами), величина операционного рычага (как отношение валовой маржи к прибыли). Данная методология позволяет формировать рациональный набор товаров с максимизацией прибыли.
В таблице 2 проведено ранжирование продукции. Видно, что в первую очередьа необходимо набирать заказы на производство и поставку товара 4, затем товара 1 и т.д.
Таблица 2 - Ранжирование продуктов по различным показателям эффективности
Наименование товаров |
Уро-вень рентабельности, % |
Вклад на покрытие, руб. |
Величина операцион-ного рычага |
Доля в объеме продаж, % |
Масса прибыли |
Комплексный показатель эффективности |
Ранг |
Товар 1 |
0,690 |
0,050 |
0,076 |
0,371 |
0,370 |
0,582 |
2 |
Товар 2 |
1,000 |
0,100 |
0,086 |
0,072 |
0,072 |
0,540 |
3 |
Товар 3 |
0,180 |
0,198 |
0,379 |
0,130 |
0,130 |
0,436 |
4 |
Товар 4 |
0,110 |
1,000 |
1,000 |
1,000 |
1,000 |
0,886 |
1 |
аа
Выявлены состояние (табл. 3), обеспеченность региона и разработан прогноз потребности в сельскохозяйственной технике и объем капитальных вложений, необходимых для обновления машинотракторного парка (табл. 4).Так, на начало 2008 года обеспеченность сельского хозяйства области тракторами составила 62,0% потребности, зерноуборочными комбайнами 37%, грузовыми автомобилями - 63,0%, кормоуборочной техникой 75%, почвообрабатывающими и посевными машинами 45 - 56%.
Таблица 3 - Состояние основной сельскохозяйственной техники Тамбовской области, единиц
№ |
Наименование |
На 1.01. 2006 г. |
На 1.01. 2008 г. |
||||
Наличие |
Исправно |
% |
Наличие |
Исправно |
% |
||
1. |
Тракторы |
9864 |
7332 |
74 |
10151 |
8020 |
79 |
2. |
Зерноуборочные комбайны |
2918 |
2238 |
77 |
2870 |
2500 |
87 |
2. |
Автомобили грузовые |
6387 |
4886 |
76 |
6142 |
4760 |
77 |
3. |
Плуги |
2887 |
2368 |
82 |
2977 |
2556 |
86 |
4. |
Сеялки |
4278 |
3139 |
73 |
4453 |
3386 |
76 |
5. |
Культиваторы |
4682 |
3487 |
74 |
4902 |
3699 |
75 |
Из табл. 3 видно, что парк комбайнов Тамбовской области насчитывает 2587 единиц и представлен комбайнами производства Ростсельмаш (67 %), Красноярского комбайнового завода (10 %), а также комбайнами прочих производителей.
Таблица 4 - Потребность сельскохозяйственных предприятий Тамбовской области ва технике
Наименование |
Кол., шт. |
Цена, тыс. руб. |
Капитальные вложения млн. руб. |
1.Тракторы |
16686 |
1150 |
9594 |
2.Прицепы всех марок |
15326 |
150 |
1150 |
3.Машины для внесения минеральных и органических удобрений |
6427 |
330 |
519 |
4.Машины для хим. защиты |
1978 |
156 |
154 |
5.Комбинированные агрегаты |
1335 |
290 |
194 |
6.Плуги |
7416 |
70 |
260 |
7.Лущильники |
1508 |
300 |
226 |
8.Бороны дисковые |
1965 |
250 |
246 |
9.Бороны зубовые |
71564 |
1,8 |
64 |
10.Бороны посевные |
990 |
0,8 |
0,5 |
11.Глубокорыхлители |
1088 |
120 |
65 |
12.Культиваторы-плоскорезы |
12100 |
120 |
726 |
13.Культиваторы противоэрозионные |
927 |
78 |
36 |
14.Культиваторы для сплошной обработки |
6798 |
60 |
204 |
15.Культиваторы-растениепитатели |
740 |
60 |
22 |
16.Культиваторы-окучники |
1750 |
150 |
44 |
17.Сеялки зерновые |
7880 |
113 |
445 |
18.Сеялки свекловичные |
1333 |
300 |
200 |
19.Катки |
3325 |
90 |
150 |
20.Сцепки |
4944 |
65 |
161 |
21.Косилки |
7480 |
50 |
187 |
22.Косилки-измельчители |
6194 |
210 |
650 |
23.Грабли |
2225 |
30 |
33,5 |
24.Пресс-подборщики |
2571 |
200 |
257 |
25.Жатки |
6428 |
150 |
482 |
26.Зерноуборочные комбайны |
7700 |
1650 |
6353 |
27.Машины для уборки соломы |
600 |
87 |
27 |
28.Кормоуборочные комбайны |
14490 |
1200 |
8694 |
29.Ботвоуборочные машины |
1353 |
300 |
203 |
30.Корнеуборочные машины |
1097 |
1200 |
658 |
31.Снегопахи |
334 |
300 |
50 |
ИТОГО |
32055 |
||
Прогноз рассчитан по посевным площадяма сельскохозяйственных предприятий и фермерских хозяйств в Тамбовской области на 2008 год:
всего - 1236 тыс. га, в том числе:
-зерновые и зернобобовые культуры всего - 750,4;
-подсолнечник - 249,7;
-сахарная свекла - 67,3;
-прочие культуры Ц168,6.Для восстановления машинотракторного парка Тамбовской области требуетсяа 32 млрд. рублей. Для сравнения на закупку сельхозтехники расходуется в России за год около 70 млрд. рублей, что еще раз говорит о мизерности инвестиций в сельское хозяйство по отношению к потребности в них. При этом в области для целей обновления машинотракторного парка сельскохозяйственными предприятиями всех форм собственности за последние три года в среднем направляется около 3 млрд. рублей. А это значит , что для полного обновления машинотракторного парка области необходимо увеличить инвестиции по данному направлению в десять раз, что, практически в ближайшие годы сделать невозможно. В этом случае необходимо шире использовать лизинговые отношения в обеспечении сельскохозяйственной техникой, создавать машино-технологические станции по всей территории региона, формировать прокатные центры, регулировать очередность уборки урожая по районам области.
Исследование состояния и развития регионального рынка сельскохозяйственной продукции нами проведен на примере Тамбовской области.
В табл. 5 представлена динамика регионального рынка мяса и мясопродуктов.
Таблица 5 - Региональный рынок мяса и мясопродуктов (в пересчете на мясо), т. тонн
Годы |
Ресурсы |
Поставки |
|||
Всего |
В т. ч. ввоз, включая импорт |
На внутренний рынок |
На внешний рынок |
Чистые поставки на (+внешний. Цвнутрен-ний рынок) |
|
2000 |
76,9 |
12,0 |
61,3 |
12,4 |
0,4 |
2001 |
73,7 |
14,3 |
59,1 |
11,7 |
-2,6 |
2002 |
74,3 |
14,3 |
59,6 |
12,0 |
-2,3 |
2003 |
76,8 |
14,8 |
62,0 |
12,0 |
-2,8 |
2004 |
82,1 |
18,5 |
61,3 |
17,9 |
-0,6 |
2005 |
81,8 |
22,2 |
61,0 |
18,1 |
-4,1 |
2006 |
81,3 |
21,1 |
61,8 |
16,9 |
-4,2 |
Данные табл. 5 показывают, что кроме 2000 года этот рынок работает с дефицитом, то есть ввоз мяса в регион превышал вывоз. Чистые поставки (объем вывоза за минусом объема ввоза) в 2001-2006 годы отрицательны. В настоящее время в области в соответствие с национальной программой Развитие АПК начато строительство 9 свинокомплексов и ферм, которые на полную мощность выходят в 2012 году с объемом производства свинина 57 тыс. тонн в год. В перспективе развитие свиноводческого комплекса позволит увеличить производство свинины в области на 145 тыс. тонн.
В табл. 6 представлены данные с регионального рынка молока и молокопродуктов.
Таблицаа 6 - Региональный рынок молока и молокопродуктов (в пересчете на молоко), т. тонн
Годы |
Ресурсы |
Поставки |
|||
Всего |
В т.ч. ввоз, включая импорт |
На внутренний рынок |
На внешний рынок |
Чистые поставки на (+ внешний, - внутренний рынок) |
|
2000 |
335,4 |
16,3 |
306,7 |
23,5 |
7,2 |
2001 |
334,2 |
23,8 |
299,5 |
30,0 |
5,2 |
2002 |
366,0 |
47,8 |
305,2 |
55,7 |
7,9 |
2003 |
365,4 |
52,4 |
312,1 |
47,5 |
-4,9 |
2004 |
386,7 |
79,8 |
304,3 |
77,4 |
-2,4 |
2005 |
357,9 |
72,1 |
274,5 |
79,1 |
7,0 |
2006 |
380,9 |
95,7 |
271,8 |
104,3 |
8,6 |
Из приведенных данных можно наблюдать общую тенденцию роста данного рынка, хотя и не всегда объемы вывоза молока и молокопродуктов превышают ввоз в регион этих продовольственных товаров.
Развитие этого регионального рынка возможно путем строительства молочных ферма и создания условий крестьянским подворьям в заготовке кормов для содержания коров.
При этом для роста стада крупнорогатого скота необходимо принимать меры на уровне национального проекта по воссозданию и развитию племенного животноводства, строительства ферм с современным оборудованием, обеспечение своевременного сбора молока.
Скачок цен в конце 2007 года оказался особенно высоким на масло растительное. И, несмотря на договоренности Правительства с бизнесменами, цены так и остались высокими, практически увеличились в два раза.
Область постоянно поставляет на внешний рынок масло растительное. При этом в 2006 году чистые поставки на внешний рынок увеличились более чем в 3 раза по сравнению со среднегодовыми поставками в анализируемом периоде. Рост потребления (спроса) в конце 2007 начале 2008 года масла растительного объясняется ростом цен на сливочное масло, увеличением тарифов на услуги ЖКХ, а также бедностью населения.
Значительные объемы зерна область поставляет на внешний рынок, в другие регионы страны. Так в 2006 году на внешний рынок областью поставлено 394,9 тыс. тонн зерна. В 2008 году в области собрано свыше трех млн. тонн зерновых, что значительно выше потребностей региона.
В общем можно отметить рост объемов производства сельскохозяйственной продукции за последние годы. При этом резко возрастают объемы производства сельскохозяйственной продукции на душу населения в основном по двум причинам:
-устойчивый рост объемов сельскохозяйственной продукции;
-снижение численности населения за счет значительного превышения смертности над рождаемостью (более двух раз) и миграции населения из региона.
У области имеются огромные резервы по увеличению объемов производства продовольственных товаров. На начало 2008 года 300 тыс. га земель находятся в фонде перераспределения и 350 тыс. га невостребованных земельных паев.
Выявлены тенденции последних лет на рынке сельскохозяйственной продукции в Тамбовской области:
1.Растут посевные площади под зерновыми культурами и сахарной свеклой. Из данных табл. 7 видно, что как под зерновыми культурами, так и под сахарной свеклой за последние годы посевные площади сократились по сравнению с 1990 годом. Однако, начиная с 2001 года, посевные площади под этими культурами имеют тенденцию роста. Так, в 2007 году посевная площадь под зерновыми культурами увеличилась почти на 120 тысяч гектаров, а посевная площадь под сахарной свеклой соответственно - на 14 тысяч гектаров по сравнению с 2000 годом.
Таблица 7 - Динамика посевных площадей
1990 |
2000 |
2001 |
2002 |
2003 |
2004 |
2005 |
2006 |
2007 |
|
Зерновые культуры |
1165,1 |
701,9 |
778,4 |
851,9 |
755,7 |
801,3 |
813,7 |
818,4 |
822,1 |
Сахарная свекла (фабричная) |
118,1 |
57,4 |
55,6 |
61,9 |
67,5 |
63,1 |
64,3 |
66,7 |
71,0 |
аа При этом в области увеличивается валовой сбор зерна (табл. 8), а некоторое снижение сбора зерна в 2003-2004 годы объясняется в основном погодными условиями, дефицитом в обеспечении сельскохозяйственной техникой и ростом цен на ГСМ.
Таблица 8 - Валовой сбор зерна в Тамбовской области предприятиями всех форм собственности
1990 |
2000 |
2001 |
2002 |
2003 |
2004 |
2005 |
2006 |
2007 |
2008 |
|
Зерно |
2449 |
1025 |
1521 |
1704 |
1567 |
1314 |
1704 |
2100 |
1701 |
3050 |
С учетом численности населения в регионе и достаточности в среднем 1000 кг. зерна на душу населения, можно сделать вывод, что область имеет околоа двух миллионов тонн товарного зерна.
2.Особую озабоченность вызывает положение в животноводстве, которое является убыточным. В последние годы в результате принимаемых мер убыточность животноводческой продукции снижается.Анализ динамики поголовья скота в Тамбовской области показывает, что оно продолжает снижаться (численность коров снизилась почти в три раза, свиней - в 4,4 раза, а поголовье овец и коз снизилось более чем в восемь раз (табл. 9).
Таблица 9 - Динамика поголовья скота в Тамбовской области, тыс. голов
1990 |
2000 |
2001 |
2002 |
2003 |
2004 |
2005 |
2006 |
2007 |
|
Коровы |
301,8 |
133,2 |
127,0 |
120,5 |
109,8 |
95,9 |
101,2 |
101,8 |
102,7 |
Свиньи |
887,7 |
203,4 |
215,0 |
254,6 |
225,7 |
188,4 |
188,2 |
194,6 |
201,7 |
Овцы и козы |
494,3 |
63,3 |
60,9 |
61,2 |
60,3 |
57,1 |
55,3 |
54,1 |
53,2 |
В связи с резким сокращением поголовья скота значительно сократилось производство продукции животноводства (табл. 10). В этой связи работа ряда мясокомбинатов, в том числе и в городе Тамбове приостановлена.
Таблица 10 - Производство продукции животноводства в регионе
1990 |
2000 |
2001 |
2002 |
2003 |
2004 |
2005 |
2006 |
2007 |
|
Мясо, тыс.тонн |
239,3 |
96,4 |
87,6 |
90,3 |
94,4 |
92,3 |
95,2 |
81,8 |
87,0 |
Молоко, тыс.тонн |
802,0 |
313,7 |
305,4 |
313,7 |
308,0 |
301,2 |
304,6 |
380,9 |
390,2 |
Яйца, млн. шт. |
523,5 |
319,1 |
351,5 |
356,5 |
360,8 |
348,7 |
352,1 |
354,3 |
360,7 |
Шерсть, т. |
1330 |
99 |
95 |
97 |
91 |
83 |
80 |
78 |
75 |
3.В диссертации проведен анализ поставок мясомолочной продукции на рынок Тамбовской области (табл. 11)
Таблица 11 - Структура производства мясомолочной продукции на
рынок региона по производителям
Доля категорий поставщиков в общем объеме поставок, % |
|
Мясо (скот и птица на убой в живом весе): |
100,0 |
- сельхозпредприятия |
17,7 |
- хозяйства населения |
81,4 |
- крестьянские хозяйства |
0,9 |
аМолоко |
100,0 |
- сельхозпредприятия |
31,6 |
- хозяйства населения |
66,9 |
- крестьянские хозяйсива |
1,5 |
а Яйца всех видов (млн. шт.) |
100,0 |
- сельхозпредприятия |
63,9 |
- хозяйства населения |
35,3 |
- крестьянские хозяйства |
0,8 |
аа аИз данных табл. 11 видно, что основную долю продукции животноводства производят и поставляют на рынок хозяйства населения. В этой связи и государственная поддержка должна быть целенаправленной. Вложенные средства в крестьянские (фермерские) хозяйства должной отдачи не дают, а это значит, что данный проект неэффективен.
Решение проблемы обеспечения населения продукцией животноводства требует переориентации направления инвестиций в личные подворья и в сельскохозяйственные предприятия. Для повышения производительности и механизации труда необходимо создать и организовать серийное производство малых форм механизации процесса приготовления кормов (мини агрегаты для производства комбикорма и травяной муки) и переработки сельскохозяйственной продукции (мини мельницы, мини агрегаты для производства масла, колбасы и сыра, мини-пекарни, машины для упаковки продукции и т.д.). Развитие же крестьянских (фермерских) хозяйств должно проводиться, исходя из их возможностей.
Маркетинговая стратегия повышения конкурентоспособности АПК региона должна учитывать отраслевые особенности,а организационно-экономический механизм и инвестиционную стратегию как элемент общей стратегии развития.
аВыявлены отраслевые особенности сельскохозяйственного производства на основе изучения специальной литературы, основными из которых являются.
1.Сельское хозяйство в АПК занимает центральное место, являясь емким внутренним рынком для ряда промышленных производств, а также услуг производственной инфраструктуры, тем самым, обеспечивая занятость, как в этих отраслях, так и на предприятиях легкой и перерабатывающей промышленности.
2.Сельское хозяйство является значительной сферой материального пронизводства, в нем занято около 19% общего числа занятых в народном хозяйнстве. Около 25% населения России проживает в сельской местности, 37,5% всей территории России Ч это земли сельскохозяйственных производителей.
3.В сельском хозяйстве главным является совершенно специфическое средство производства - земля. Результаты производства зависят от качества земли, ее плодородия, местоположения, климатических условий.
4.В качестве специфических средств производства в сельском хозяйстве выступают живые организмы - животные и растения. Вследствие этого в развитии сельского хозяйства очень тесно переплетается действие биологических и экономических законов воспроизводства.
5. Сельскохозяйственное производство пространственно рассредоточено и ведется на больших площадях. Следует принимать во внимание различие почвенно - климатических условий при механизации, химизации, мелиорации, подборе сортов культур, пород животных, а также при определении договорных цен на продукцию, налогов, оплаты труда. Работа на больших площадях требует большого расхода топлива, в том числе на самопередвижение агрегатов по полю.
6.В сельском хозяйстве продукцию часто получают один или два раза в год, либо в какие-то промежутки. Отсюда возникают проблемы увязки опланты труда и материального стимулирования с качеством труда, с конечными результатами производства.
7. Готовый продукт сельского хозяйства (свыше 20% валовой продукции) входит в последующий цикл производства уже как средство производства (семена, корма, приплод животных).
8. В сельском хозяйстве на его результаты велико влияние погодно-климатических условий, что влияет на рыночную конъюнктуру.
9. Свои особенности имеет материально-техническая база сельскохозяйственного производства. В связи с сезонностью работ в сельском хозяйстве и многообразием используемой техники на разных операциях последняя имеет низкую эффективность использования, а последние годы недостаточно обновлялась, поэтому применение таких новых форм организации материально-технического снабжения, как создание пунктов проката техники, сети комиссионных магазинов, расширение лизинговых услуг является крайне необходимым.
10. К особенностям состояния и развития сельскохозяйственного производства относится демографическая ситуация на селе.
На протяжении последних 25 лет демографическая ситуация в Российнской Федерации характеризуется заметным сокращением численности сельнского населения Ч на 9,1 млн. чел. (на 10,7%). Помимо численности населения очень важны складывающиеся структурные характеристики по полу и возрасту. Сельское население по переписи 2002 года постарело на 3,6 года после переписи 1989 года.
11. Потребность в высоком качестве сельскохозяйственной продукции Ч неотъемлемая часть повышения качества жизни населения. Увеличение содержания полезного вещества в сельскохозяйственной продукции (жира, белка, сахара, крахмала и т. д.) позволяет нетолько соответственно увеличить производство потребительских товаров в перерабатывающей промышленности, но и снизить на этой основе издержки производства и одновременно сократить посевные площади и поголовье скота при производстве того же количества этих продуктов.
Перечисленные и другие особенности должны находить отражение в аграрной политике государства. Дальнейший подъем сельскохозяйственного производства все больше зависит от успешного развития отраслей, обеспечивающих укрепление материально-технической базы сельского хозяйства - машиностроения.
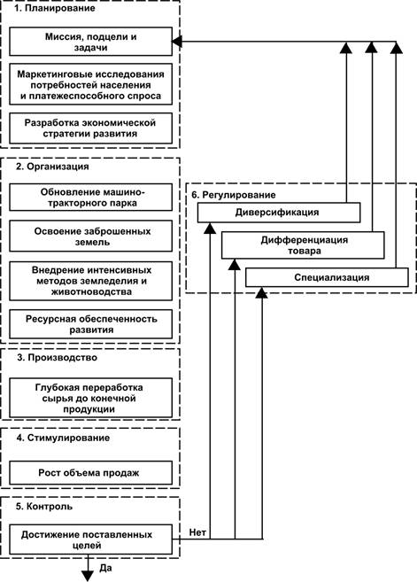
Разработан организационно-экономический механизм развития рынка сельскохозяйственной продукции региона, который включает в себя все основные функции управления: планирование, организацию, производство, мотивацию, контроль и регулирование. В качестве регуляторов предложено использовать специализацию, диверсификацию и дифференциацию товаров (рис. 3).
Регионам с аграрной направленностью необходимо переходить на глубокую переработку сырья с целью получения экологически чистой конечной продукции, имея современное оборудование и малые формы техники.
С целью более эффективного хозяйствования необходимо шире использовать такие формы организации производства как:
-углубление специализации. Эффективность достигается как за счет более низких текущих затрат, так и капитальных.
-дифференциация товаров с целью более полного удовлетворения покупателей;
-диверсификация производства, когда снижается риск снижения доходов от узкоспециализированного производства.
Рисунок 3 - Организационно - экономический механизм развития рынка сельскохозяйственной продукции
Разработана инвестиционная стратегия повышения конкурентоспособности региона. Потеря научно-производственного потенциала страны сопровождается катастрофическим старением основного капитала - износ основных фондов в различных отраслях колеблется от 60 до 80 процентов, а на отдельных предприятиях около 90 процентов. В этой связи в недалеком будущем ожидается рост платежеспособного спроса на продукцию машиностроения.
По оценке специалистов средний возраст оборудования в 2007 году перешагнул за 20 лет против 17,9 в 1999 году (с учетом обновления), то есть тенденция старения нарастает.
Обновление основных фондов отраслей народного хозяйства уже в ближайшие годы значительно увеличит инвестиционный спрос и к этому необходимо готовить ресурсы по всей технологической цепочке: инвестиционные ресурсы, станкостроение, машиностроение, при этом должна выпускаться конкурентоспособная продукция, в противном случае отечественные производители будут вытеснены с внутреннего рынка. А для этого необходимо сформировать инфраструктурное обеспечение: информационное, методическое, научное, кадровое, инвестиционное. Прежде всего, необходимо сформировать и развивать инвестиционную инфраструктуру, а затем обновить станочный парк фондообразующих отраслей (машиностроение и в первую очередь станкостроение, строительство и др.).Предложены алгоритм и компьютерная программа прогнозирования технико-экономических показателей, основанные на цепи взаимосвязанных детерминированных зависимостей. При этом выходной результат одной модели является исходной величиной последующей модели. Оригинальность данной компьютерной программы заключается в том, что по исходным данным она позволяет определить чистую прибыль проекта, либо по заданной чистой прибыли определить входные параметры, то есть компьютерная программа позволяет проводить поисковый и нормативный прогноз плановых технико-экономических показателей деятельности предприятия или реализуемого проекта, что позволяет снижать инвестиционные риски.
Формирование и реализация маркетинговой стратегии.
Прогнозирование развития рынка сельскохозяйственной продукции
проводилось с помощью компьютерной программы Table Kurwe, были получены регрессионные зависимости, с помощью которых определены прогнозные оценки основных показателей регионального рынка сельскохозяйственной продукции.
1.Объемы посевных площадей под зерновыми культурами и под сахарной свеклой на 2008-2012 годы и валовой сбор зерна (табл. 12).
аа Таблица 12 - Прогнозная оценка посевных площадейа и валового сбора зерна (тыс. га)
2008 |
2009 |
2010 |
2011 |
2012 |
|
Посевные площади под зерновыми культурами |
832 |
848 |
852 |
853 |
875 |
Посевные площади под сахарной свеклой (фабричной) |
73 |
76 |
78 |
79 |
82,5 |
Валовой сбор зерна, тыс. тн. |
2150 |
2280 |
2300 |
2328 |
2365 |
аа
Проведенное исследование позволяет сделать оптимистический прогноз, что с решением проблем по обеспечению сельскохозяйственных предприятий техникой, запасными частями и ГСМ национальная программа Развитие АПК будет в области успешно выполняться.
2.Выявлены тенденциидинамики поголовья скота за последние пятнадцать лет и на этой основе с помощью компьютерной программы построен прогноз поголовья скота на 2008-2012 годы (табл. 13).
Таблица 13 - Прогноз поголовья скота в Тамбовской области
2008 |
2009 |
2010 |
2011 |
2012 |
|
Коровы |
110,5 |
113 |
115 |
118,5 |
123,8 |
Свиньи |
213 |
216,4 |
218,0 |
220 |
225 |
Овцы и козы |
55,3 |
56,5 |
58,8 |
60,5 |
62,5 |
аа Из данных табл. 13 видно, что в ближайшей перспективе произойдет некоторое увеличение поголовья скота, но рост не станет определяющим. Для значительного увеличения поголовья скота необходимо принимать меры на уровне государства: уже в ближайшие годы - должны строиться животноводческие комплексы, развиваться племенное животноводство и стимулирование развития животноводства на подворьях за счет ликвидации ножниц цен на промышленные товары и сельскохозяйственную продукцию, а также за счет ликвидации перекупщиков и развития потребительской кооперации.
В связи с резким сокращением поголовья скота резко сократилось производство продукции животноводства.
Получены регрессионные зависимости с помощью компьютерной программы Table Kurwe производства мяса, молока и шерсти в регионе на основе выявленных тенденций за 1990 - 2007 годы, по которым получены прогнозные оценки производства мяса, молока и шерсти в Тамбовской области на 2008 - 2012 годы (табл. 14).
Таблица 14 - Прогнозная оценка объемов производства продукции животноводства в регионе
2008 |
2009 |
2010 |
2011 |
2012 |
|
Мясо, тыс.тонн |
89 |
90,5 |
92,5 |
93,1 |
97,1 |
Молоко, тыс.тонн |
390 |
395 |
400 |
402 |
412,2 |
Яйца, млн.штук |
364 |
368 |
372 |
377 |
379 |
Шерсть, тонн |
78 |
84 |
86 |
87,5 |
93 |
Прогнозные оценки объемов производства продукции животноводства показывают, что если не принять кардинальных мер по развитию мясомолочного комплекса в регионе, то в ближайшие годы существенного улучшения в этом секторе экономики не предвидится.
Алгоритм формирование и реализация маркетинговой стратегии. С целью выхода региона на уровень макроэкономической системной конкурентоспособности необходимо сформировать, постоянно корректировать и реализовывать маркетинговую стратегию, алгоритм которой показан на рис. 4. Из рисунка видно, что маркетинговая стратегия формируется в рамках стратегии развития региона с учетом внешней среды. При этом развитие должно вестись по всем компонентам маркетинга с учетом бенчмаркета.
Алгоритм формирования и реализации маркетинговой стратегии в регионе включает в себя блоки: анализ рыночной ситуации, анализ возможностей региона, формирование стратегии, ее реализация и контроль. Если цель не может быть достигнута имеющимися ресурсами, тогда необходимо проводить диверсификацию видов деятельности и/или дифференциацию товаров.
Маркетинговая стратегия направлена на совершенствование всех компонентов: товар, цена и ценовая политика, география рынка и стимулирование сбыта.

Рисунок 4 - Алгоритм формирования и реализации маркетинговой стратегии в регионе
Предложено маркетинговое управление регионом в рамках обшей стратегии развития региона.
Исследованием и развитием рынка сельскохозяйственной продукции должны заниматься соответствующие службы, в частности маркетинговый центр при областной администрации.
Для реализации маркетинговой стратегии повышения конкурентоспособности региона в структуре региональных властей должны быть соответствующие подразделения, во главе которых должен находится заместитель главы администрации. При этом используют общепринятые функции управления: прогнозирование и планирование, организацию, контроль и регулирование, мотивацию.
В условиях маркетингового управления необходимо организовать и постоянно расширять каналы товародвижения, заниматься организацией производства и сбыта продукции, подготовкой и переподготовкой персонала. Необходима система мониторинга по всей логистической цепи: закупки, производство, сбыт, сервис.
Региональные власти должны обеспечить контроль на всех стадиях логистической цепи и в случае отклонения принимать корректирующие решения.
В этом случае при областной администрации (например, в областном органе госстатистики) формируется маркетинговый региональный центр, в структуру которого войдут маркетинговые подразделения НИИ, которые имеют отраслевую специализацию, а вокруг НИИ будут на добровольной основе формироваться кластеры (группа предприятий отраслевой специализации).
Маркетинговые отделы предприятий будут при этом сотрудничать с отраслевыми НИИ. Естественно, что в сфере маркетингового управления должны присутствовать и районы области, во-первых, потому, что на их территории расположены предприятия и организации, а, во-вторых, они также должны владеть конъюнктурой рынков (рис. 5).

Рисунок 5 - Пирамида региональной маркетинговой системы управления
Организация кластеров. В настоящее время дискутируется вопрос создания и функционирования кластеров. Кластер (сгустки) - английское название (cluster), использующееся во многих странах для обозначения двух вещей. Оно может означать сектор экономики на национальном или на региональном уровнях. Но в строгом понимании, термином кластер обозначают совокупность высоко конкурентных предприятий, относящихся к сектору экономики и имеющих реальную привязанность к конкретному географическому месту, которые, несмотря на малый территориальный размер, занимают лидирующую позицию.
Выделяются четыре характеристики кластера: близость расположения, взаимосвязи в деятельности предприятий, входящих в кластер, технологическое взаимодействие, критическая масса (возможность эффективного управления).
Кластеры могут организовываться:
1.На основе научно-технического обеспечения (вокруг НИИ или КБ).
2.На основе технологии производства или переработки продукции.
3.На основе логистического подхода. В этой ситуации создание сетей поставщиков, производителей и потребителей может стать решающим фактором для создания кластера.
4.На основе взаимодействия крупного и малого бизнеса в рамках технологического процесса, когда вокруг крупного предприятия создается кластер малых, которые взаимодействуют на партнерских отношениях.
5.На основе развития территорий (на примере наукограда-Мичуринск).
Предложена сетевая модель сельскохозяйственного сектора экономики на основе логистического подхода. Место отраслей в современной экономике постепенно должны будут занимать кластеры, иначе нельзя будет обеспечить конкурентоспособность страны и ее регионов в глобальном рынке в долгосрочной перспективе, а интегрированные регионы по всей видимости будут все более и более тесниться сетевыми. В этой связи нами рекомендуется функционально-матричная структура управления, построенная матричным методом:
-по основным функциям управления: планирование, организация, контроль и мотивация;
-по логистическим операциям.В этом случае формирование себестоимости продукции происходит по новому. Затраты на производство и сбыт продукции определяются по функциям логистической цепи по основным видам деятельности и по товарам (табл. 15).
Таблица 15 - Формирование себестоимости продукции в логистических системах
Затраты Товары |
Закупка сырья и материалов |
Транс-порти-ровка |
Хране-ние |
Произ-водство |
Сбыт |
Сер-вис |
Всего |
Товар 1 |
+ |
+ |
+ |
+ |
+ |
+ |
+ |
Товар 2 |
+ |
+ |
+ |
+ |
+ |
+ |
+ |
Товар 3 |
+ |
+ |
+ |
+ |
+ |
+ |
+ |
Итого |
+ |
+ |
+ |
+ |
+ |
+ |
+ |
Данный подход к формированию затрат позволяет проводить структурный анализ себестоимости и разрабатывать мероприятия по их снижению, обеспечивая при этом конкурентоспособность товара и заинтересованность в снижении затрат всех участников логистической цепи.
Выделены приоритетные направления развития региона с целью завоевания и удержания конкурентных преимуществ на рынке продовольственных товаров. К приоритетным направлениям развития аграрного региона можно отнести следующие.
1.Государственная поддержка развития сельского хозяйства регионов, включая дотации на основные продовольственные товары (мука, хлебобулочные изделия, крупы, растительное масло, молочные продукты, овощи).
2.Эффективная реализация национальных проектов.
Развитие приоритетных направлений с использованием мировых тенденций: производство органических продуктов питания, неиспользуемые пахотные площади засеваются травами.
3.Строительство агрогородков по обслуживанию комплекса животноводческих ферм, с обустройством таких агрогородков всей необходимой инфраструктурой
4.Решение кадровой политики на селе нами видится в строительстве агрогородков и организации сельских поселений с привлечением к этому процессу осужденных. При этом годовой экономический эффект только от этого предложения составит свыше 20 млн. рублей.
Исходя из анализа регионального рынка сельскохозяйственной продукции и стратегии социально-экономического развития Тамбовской области до 2015 года , принятой решением коллегии администрации Тамбовской области от 23 августа 2006 года №14/2, нами разработаны три возможных сценария развития регионального рынка продовольственных товаров.
Первый сценарий (пессимистический). Состояние сельскохозяйственного производства растет сложившимися темпами (согласно Программе развития АПК - 4% в год). В этом случае цены на продукцию сельского хозяйства, в связи с отставанием спроса от потребностей и ростом цен на импортные товары, начиная с мая 2008 года начинают расти (договоренность Правительства РФ с предпринимателями о замораживании цен на продукты первой необходимости закончилась 30 апреля 2008 года) на 50 Ц80 процентов до конца года. Рост цен или ограниченность продовольственных товаров на рынке может привести к ажиотажному спросу и введением карточной системы в стране.
Второй сценарий (реальный). Правительство принимает меры по сдерживанию роста цен на продовольственных рынках страны путем импорта продуктов питания по умеренным ценам из стран СНГ (Белоруссии, Молдавии, Украины и др.). В этом случае спрос можно уравновесить с предложением и рост цен составит 8 - 10 процентов до конца года (на уровне планируемой инфляции).
Третий сценарий (оптимистический). Резкое увеличение производства продовольственных товаров за счет строительства и ввода в действие свинокомплексов на 100 тыс. голов каждый в Гавриловском, Никифоровском, Мучкапском районах, птицефабрики в Инжавинском районе и 14 молочнотоварных ферм по районам области. При этом должна соответствующим образом развиваться инфраструктура (например, для обеспечения кормами каждого свинокомплекса необходимо засевать около 25 - 30 тысяч гектар пахотной земли, а также иметь комбикормовый завод). В этом случае спрос может превысить предложение, что может привести к снижению цен на внутреннем продовольственном рынке и позволит увеличить экспортные поставки. Приа этом удастся повысить качество питания населения области и Россия сможет сформировать второе направление конкурентного преимущества на европейском пространстве, наряду с природными ресурсами, поставки экологически чистых из натурального сырья продовольственных товаров..а По всей видимости, в первые годы работы нового правительства будет действовать первыйа сценарий с постепенным переходом ко второму, а затем и к третьему сценарию.
Выводы и предложения
Повышение системной конкурентоспособности региона зависит от его экономического потенциала и специализации. У большинства депрессивных регионов (Тамбовская, Курская, Пензенская области и др.) основным направлением деятельности является сельское хозяйство. В зависимости от успехов в сельском хозяйстве формируются цены на продовольственных рынках и складывается качество жизни населения.
В диссертации разработаны теоретические положения и практические рекомендации повышения конкурентоспособности отечественных продовольственных товаров на основе маркетингового подхода.
1.Уточнены экономические категории конкуренция и конкурентоспособность, системная конкурентоспособность. При этом системная конкурентоспособность включает в себя следующие элементы: конкурентоспособность региона, организации, товаров.
2.В работе предложена модель концепции маркетинга, базирующаяся на развитии производственной инфраструктуры, создании конкурентной среды в регионе и развитии всех элементов маркетинга.
3.В работе предложена методология повышения конкурентоспособности региона на основе сформулированных подходов, принципов и методов развития рынка продовольственных товаров.
4.Использован маркетинговый подход к формированию ассортимента продукции, производимой субъектом сельскохозяйственного рынка.
5.Разработана стратегия маркетинга, включающая в себя организационно-экономический механизм повышения конкурентоспособности продовольственных товаров и инвестиционную стратегию, обеспечивающую возможность роста конкурентных преимуществ региона.
6. В работе предложена маркетинговая система управления регионом на основе кластерного подхода. Администрация региона становится во главе пирамиды управления и выполняет роль исследовательского, методического и координационного центра по обеспечению информацией, инновациями и инвестициями.
7.В диссертации проведен мониторинг, выявлены тенденции развитияа и выполнен прогноз регионального рынка сельскохозяйственной продукции и продовольственных товаров.
8.Анализ состояния парка сельскохозяйственных машин показал значительный его износ. В этой связи определен прогноз потребности области в сельскохозяйственной технике на ближайшие годы и объем капитальных вложений. С целью обеспечения сельскохозяйственных предприятий техникой необходимо шире развивать лизинговые отношения.
9.В работе предложен товарный знак для экологически чистых продовольственных товаров, производимых в Тамбовской области.
10.В исследовании использованы компьютерная программа (разработаны алгоритм и программа поискового и нормативного прогнозирования плановых технико-экономических показателей субъектов хозяйствования).
11.Предложены три сценария развития рынка продовольственных товаров в стране: пессимистический, реальный и оптимистический с учетом положений, изложенных в Государственной программе Развитие АПК.
Реализация положений концепции маркетинга и предложенной маркетинговой стратегии способствует развитию рынка отечественных продовольственных товаров, повышению их конкурентоспособности и росту качества жизни населения.
ПУБЛИКАЦИИ ПО ТЕМЕ ДИССЕРТАЦИИ
1.Монографии
1.Жариков, Р.В. Развитие регионального рынка: теория, методы, резервы: монография /Р.В.Жариков - Тамбов: Изд-во Тамб. обл. ин-та повышения квалиф. работн. образования, 2006. - 8,4 п. л.
2.Жариков, Р.В. Методология моделирования управленческих решений в логистических системах: монография /Р.В.Жариков - Тамбов: Изд-во Тамб. обл. ин-та повышения квалиф. работн. образования, 2006. - 9,4 п. л.
3.Жариков, Р.В. Теория и методология эффективного развития промышленных предприятий в конкурентных условиях: монография /Р.В.Жариков, С.Е.Белова, Е.Г.Дмитриева, В.В.Жариков - М.: Изд-во Машиностроение-1, 2002. - 6 п. л./1 п. л.
2.Статьи согласно перечню периодических научных изданий, рекомендуемых ВАК России
1.Жариков, Р.В. Формирование конкурентно-партнерских отношений на российском рынке /Р.В.Жариков // Организатор производства. Изд-во Экономика и финансы - 2006. - №4(31). - С. 88-91. - 0,6 п. л.
2.Жариков, Р.В.а Состояние и аа прогнозирование развития сельскохозяйственного производства в регионе /В.Д.Жариков, Р.В.Жариков // Вестник Тамбовского государственного технического университета. Изд-во Тамбов. гос. техн. ун-та - 2006. Том 12 - №4Б. - С. 1162-1170. - 0,8 п. л./0,5 п. л.
3.Жариков, Р.В. Управление промышленными предприятиями на основе логистического подхода. /Р.В.Жариков // Вестник Тамбовского государственного университета, Изд-во Тамб. гос. ун-та - 2005. Выпуск 3 (39). -С. 19-23. - 0,8 п. л.
4.Жариков, Р.В. Эффективность функционирования машиностроительных предприятий в новых экономических условиях /Р.В.Жариков, В.В.Жариков // Российский научный журнал Экономика и управление - 2006 -№ 2(23), - С. 90-96. - 0,8 п. л./ 0,4 п. л.
5.Жариков, Р.В. Совершенствование организационных структур на основе кластерного подхода. /В.Д.Жариков, Р.В.Жариков// Вестник Тамбовского государственного технического университета Изд-во Тамбов. гос. техн. ун-та - 2005. Том 12 - №1Б. - С. 213-219. - 0,6 п. л./0,3 п. л.
6.Жариков, Р.В. Основные фонды предприятий и организаций региона: структура, состояние, инвестиционные ресурсы по обновлению и наращиванию.
/ Р.В.Жариков // Организатор производства. Изд-во Экономика и финансы - 2005. - №4 (26). - С. 37-41. - 0,6 п. л.
7.Жариков, Р.В. Волновой характер развития и функционирования промышленных предприятий / Р.В.Жариков, В.В.Жариков // Организатор производства. Изд-во Экономика и финансы - 2005. - №4 (26). - С. 23-26. - 0,6 п. л./0,3 п. л.
8.Жариков, Р.В.а Организация и развитие малых предприятий в производственной сфере / Р.В.Жариков // Организатор производства. Изд-во Экономика и финансы - 2005. - №4(31). - С. 65 Ц68. - 0,6 п. л.
9.Жариков, Р.В. Конкурентоспособность промышленного предприятия и пути ее повышения. /Жариков Р.В., Жариков В.В.// Вестник Тамбовского государственного технического университета. Изд-во Тамбов. гос. техн. ун-та - 2005. Том 11 - №4. - С. 1013-1020. - 0,6 п. л./0,3 п. л.
10.Жариков, Р.В. Законы, принципы и правила в принятии управленческих решений на промышленных предприятиях. /Р.В.Жариков // Организатор производства. Изд-во Экономика и финансы - 2005. - №3 (22). - С. 9-12.а - 0,7 п. л.
11.Жариков, Р.В. Функционально-матричная структура управления логистическими системами / Р.В.Жариков // Организатор производства. Изд-во Экономика и финансы - 2004. - №42 (21). - С. 29-32. - 0,5 п. л.
12.Жариков, Р.В. Приоритетные направления развития сельского хозяйства в регионе. /В.Д.Жариков, Р.В.Жариков// Вестник Тамбовского государственного технического университета. Изд-во Тамбов. гос. техн. ун-та. - 2007. Том 13.а
№ 3. - С. 814-820. - 0,8 п. л./ 0,5 п. л.
13.Жариков, Р.В. Развитие сервиса сельскохозяйственной техники в регионе /И.А.Минаков, Р.В.Жариков// Тракторы и сельскохозяйственные машины. Изд-во Машиностроение - 2007. - №2. - С. 10-11. - 0,5 п. л./0,3 п. л.
14.Жариков, Р.В. Обновление материально-технической базы региона /Р.В.Жариков // Тракторы и сельскохозяйственные машины. Изд-во Машиностроение - 2006.- №9. - С. 6-7. - 0,5 п. л.
15.Жариков, Р.В. Методика прогнозирования развития мясомолочного комплекса /Р.В.Жариков // Молочное и мясное скотоводство - 2006 - №7. - С. 25-26. - 0,6 п. л.
16.Жариков, Р.В. Какая сельхозпродукция выгодна региону? /Р.В.Жариков // Сельский механизатораа - 2006 - №9. - С. 14-15. - 0,4 п. л.
17.Жариков, Р.В. Стратегия управления региональным рынком сельскохозяйственной продукции. /Р.В.Жариков // Достижения науки и техники в АПК - 2006. - №8. - С. 45-46. - 0,5 п.л.
18.Жариков, Р.В. Прогнозирование потребности региона в сельскохозяйственной технике. /Р.В.Жариков// Техника в сельском хозяйстве. - 2007. -а №2. -
С. 28-29. - 0,3 п. л.
3.Другие публикации
1.Жариков, Р.В. Формирование эффективной конкуренции аграрного регионаа /Р.В.Жариков// Научный вестник академии управления и сервиса, вып.1. Изд-во Першина Р.В.. Ц2007. - С. 62-70. 0,9 п.л.
2.Жариков, Р.В. Оценка эффективности функционирования машиностроительного предприятия /В.В.Жариков, Р.В.Жариков// Ученые записки С.-Пб. Академии управления и экономики.- 2006. вып.1(13). - С. 79-83. - 0,6 п. л./0,3 п. л.
3.Жариков, Р.В. Формирование системы маркетингового управления регионом: кластерный подход. /Р.В.Жариков// Вопросы современной науки и практики. №1(3), Изд-во Тамб. гос. техн. ун-та. - 2006. - С. 198-203.-а 0,4 п. л.
4.Жариков, Р.В. Маркетинговый подход к управлению сбытом продукции. /Р.В.Жариков// Ученые записки. Т. 8, вып. 1, Тамбов, Изд-во Тамб. гос. ун-та. - 2005. -С. 92-96. - 0,3 п. л.
5.Жариков, Р.В. Формирование регионального рынка сельскохозяйственного сырья и продовольствия. /И.А.Минаков, Р.В.Жариков// Сб. науч. Труд. Формирование и использование ресурсного потенциала АПК. Мичуринск. Изд-во МичГАУ. 2006. - С. 50-54 - 0,4 п.л./ 0,2 п. л.
6.Жариков, Р.В. Сущность и содержание конкуренции как экономической рыночной категории. /Р.В.Жариков// Сб. науч. Труд. Формирование и использование ресурсного потенциала АПК. Мичуринск. Изд-во МичГАУ. 2006. - С. 54-60. - 0,3 п. л.
7.Жариков, Р.В. Концепция развития регионального рынка сельскохозяйственной продукции. /Р.В.Жариков// Сб. науч. Труд. ТГУ ЦТамбов: изд-во НЭАЦентр КФК. 2006. - С. 18-22. - 0,3 п. л.
8.Жариков, Р.В.Приоритеты развития рынка сельскохозяйственной продукции в регионе. /Р.В.Жариков// Сб. науч. Труд. ТГУ ЦТамбов: изд-во НЭАЦентр КФК. 2006. - С. 22-25. - 0,3 п. л.
9.Жариков, Р.В. Логистическая система как объект управления. /Р.В.Жариков// Сб. научных трудов ТГТУ Математические инструментальные методы экономического анализа: управление качеством, Сб. научных трудов, выпуск 14, Тамбов: Изд-во Тамб. гос. техн. ун-та. 2004. - С. 257-261. - 0,4 п. л.
10.Жариков, Р.В. Концепция качества и эффективности управленческих решений. /Р.В.Жариков// Сб. научных трудов ТГТУ. Изд-во Тамбов. гос. техн. ун-та. 2004. - С. 76-83. - 0,5п. л.
11.Жариков, Р.В. Математические модели в принятии управленческих решений при сбыте продукции. /Р.В.Жариков// Материалы международ. научно - практич. Конф. СГСЭУ. Изд-во Саратов. гос. соц.-экон. ун-та. 2004. - С. 103-106. - 0,25 п. л.
12.Жариков, Р.В. Технология принятия управленческих решений на промышленном предприятии. /Р.В.Жариков// Сб. научных трудов ТГТУ. Из-во Тамб. гос. техн. ун-та. 2004. - С. 257-266. - 0,5 п. л.
13.Жариков, Р.В. Управление маркетингом на региональном рынке. /Р.В.Жариков// Сб. научных трудов ТГТУ. Изд-во Тамбов. гос. техн. ун-та. 2006. С. 68-73. - 0,4 п. л.
14.Жариков, Р.В. Информация как база в принятии управленческих решений при сбыте продукции. /Р.В.Жариков// Сб. научных трудов ТГТУ. Изд-во Тамбов. гос. техн. ун-та. 2004. - С. 88-91. - 0,25 п. л.
15.Жариков, Р.В. Математическое моделирование управленческих решений в логистических системах. /Р.В.Жариков// Сб. научных трудов ТГТУ вып.10. Изд-во Тамбов. гос. техн. ун-та. 2004. - С. 296-309. - 1,0 п. л.
16.Жариков, Р.В. Место и роль экономического анализа в принятии управленческих решений в бизнесе. /Р.В.Жариков// Матер. Межрег. Конф. л Регион в условиях перехода к устойчивой модели развития. Ч.1 ЦБрянск: Изд. Брянск. филиала Орловск. акад. гос службы. 2004. - С. 162-166. - 0,3 п. л.
17.Экономико-математические методы в управлении инвестициями. /Р.В.Жариков// Материалы второй межвуз. научно-практ. конф. Экономика и управление предприятиями в условиях рынка. ЦТамбов: изд-во тамб. гос. техн. ун-та. 2004. - С.74-79. - 0,6 п.л./0,3 п.л.
18.Жариков, Р.В. Прогнозирование темпов и пропорций регионального развития. /Р.В.Жариков// Сб. научных трудов ТБК: Планирование и прогнозирование развития региональной экономики. 2002. - С. 23-25. 0,2 п. л.
19.Жариков, Р.В. Модернизация системы подготовки квалифицированных кадров с целью повышения конкурентоспособности региона. /Р.В.Жариков// Сб. научн. труд МОСУ.а 2007. - С. 156-160. - 0,4 п. л.
20.Жариков, Р.В. Формирование инновационного типа развития экономики региона. /Р.В.Жариков, В.В.Жариков// Сб. докладов Международ. Научно-практ. конф. Прогрессивные технологии развития. - Тамбов: изд.-во БМА, 2004. Цс. 278-279. - 0,2 п.л./0,1 п.л.
21.Жариков, Р.В. Состояние регионального рынка продовольственных товаров. /Р.В.Жариков, М.В.Жарикова//, Маркетинг в России и за рубежом, №3 (65), 2008. - С. 116-123 - 0,6 п.л./0,4 п. л.
Учебники и учебные пособия
1.Жариков, Р.В. Планирование и прогнозирование на предприятии: Учебник /В.Д.Жариков, Л.Л.Мешкова, Р.В.Жариков - Тамбов: Изд-во центра нобелевских лауреатов, 2003. - 15,5 п. л. /5,1 п. л.
2.Жариков, Р.В.Государственное регулирование экономики: Учебное пособие /Р.В.Жариков, Н.И.Пономарев - Тамбов, Изд-во Тамб. обл. ин-та повышения квалиф. работн. образования, 2002. - 8 п. л./6 п. л.
3.Жариков, Р.В. Стратегия и тактика финансового менеджмента: Учебное пособие /Р.В.Жариков, Л.Н.Чайникова - Тамбов, Изд-во Тамб. гос. техн. ун-та, 2005.
- 6,28 п. л./4 п. л.
Стратегия социально-экономического развития Тамбовской области до 2015 года. www/inwest-tambovregion.ru
Основных положениях региональной политики Российской Федерации. Утв.Указом Президента РФ от 3 тюня 1996 г. №803.
Романов Г.А. Село под обвалом. Советская Россия от 24 мая 2008, №54 (13126).
Авторефераты по всем темам >>
Авторефераты по экономике

